6 无穷小的比较

788 阅读1分钟
  • 无穷小是以0为极限的函数
  • 趋于0的速度不同
  • 两个无穷小的商
  • 比较两个无穷小

比较趋于0的速度

无穷小的比较

例题

例题

例题

例题

证明

例题

例题

无穷小的等价关系性质

定理

定理

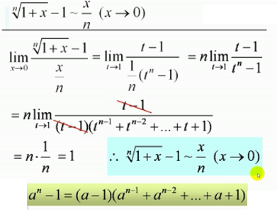
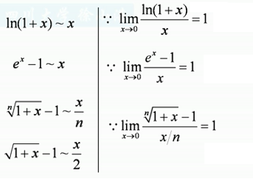
常用的等价无穷小

例题

例题

例题

例题

等价无穷小替换

例题

例题

例题

只有乘积因子才能等价替换

更高阶的等价无穷小