5 极限存在准则及两个重要极限

1,327 阅读1分钟

极限存在准则

数列的夹逼准则

函数的夹逼准则

#第一个重要极限

重要推论

图形

##利用重要极限求极限

例题

商的极限等于极限的商. 任何趋于1的函数, 极限的倒数还是趋于1

例题

例题

推论

重要极限

image.png

例题

例题

例题

例题

无穷小与有界函数的乘积等于无穷小

第二个重要极限

左边是函数形式, 右边是数列形式

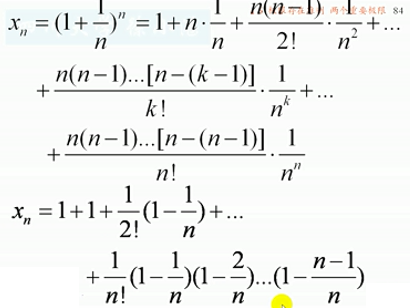
先考虑数列的极限

二项式

e的由来

欧拉

例题

证明了当x趋于正无穷大时结果趋近于e

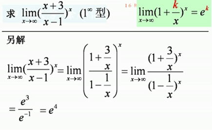
重要极限的另一种形式

例题

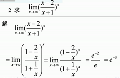
例题

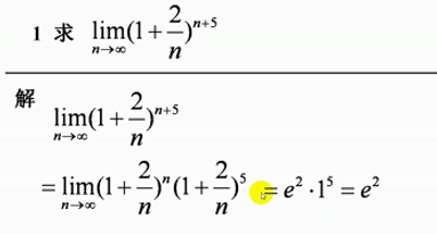
推论

例题

例题

例题

例题