2 数列的极限

347 阅读1分钟

数列

image.png

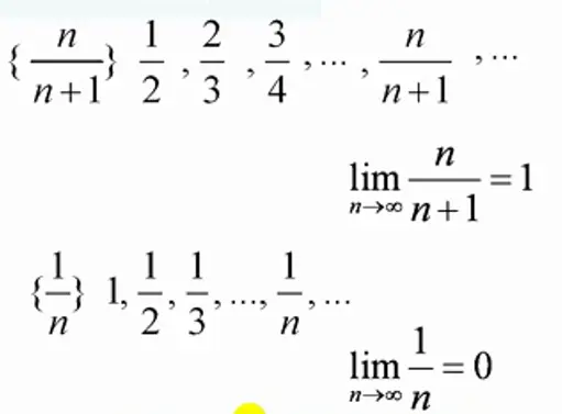
数列的例子

image.png

image.png

整标函数

image.png

单调数列

下标越大值越大

image.png

数列的单调性

有单调性

image.png

无单调性

image.png

数列的有界性

image.png

image.png

image.png

image.png

数列的极限

image.png

image.png

数列极限的定义

image.png

image.png

数列极限的几何定义

image.png