二叉树算法系列文章
算法知识梳理(11) - 二叉树相关算法第一部分
算法知识梳理(12) - 二叉树相关算法第二部分
算法知识梳理(13) - 二叉树相关算法第三部分
一、概述
在 算法知识梳理(10) - 二叉查找树 中,我们简要介绍了二叉查找树的基本概念、插入及删除操作,今天这篇文章,以这个为基础,介绍一下和二叉树有关的操作,由于篇幅有限,因此分为三篇文章介绍,第一部分包括:
- 递归遍历二叉树(先序遍历、中序遍历、后序遍历)
- 分层打印二叉树
- 打印二叉树的第
n层 - 统计二叉树叶结点的个数
- 统计二叉树的高度
二、代码实现
2.1 递归遍历
解决思路
二叉树的遍历方式有以下三种:
- 先序遍历:根结点 -> 左子树 -> 右子树
- 中序遍历:左子树 -> 根结点 -> 右子树
- 后序遍历:左子树 -> 右子树 -> 根结点
递归的方式比较容易理解,只需要改变函数调用和打印元素值语句之间的顺序即可,例如先序遍历,就先打印该结点元素的值,再分别打印左子树和右子树即可。
代码实现
class Untitled {
static class Tree {
int size;
Node root;
}
static class Node {
Node parent;
Node left;
Node right;
int value;
}
static void insertNode(Tree tree, int value) {
if (tree == null) {
return;
}
Node tNode = tree.root;
//待插入结点的父结点,如果遍历完为空,说明此时是一个空树。
Node pNode = null;
//新的结点。
Node nNode = new Node();
nNode.value = value;
while (tNode != null) {
pNode = tNode;
if (tNode.value > value) {
tNode = tNode.left;
} else {
tNode = tNode.right;
}
}
nNode.parent = pNode;
if (pNode == null) {
tree.root = nNode;
} else if (pNode.value > value) {
pNode.left = nNode;
} else {
pNode.right = nNode;
}
tree.size++;
}
static Tree createBinTree(int p[], int len) {
Tree tree = new Tree();
for (int i = 0; i < len; i++) {
int value = p[i];
insertNode(tree, value);
}
return tree;
}
static void printPreOrder(Node node) {
if (node == null) {
return;
}
//先打印根结点。
System.out.println(node.value);
//先遍历左子树。
printPreOrder(node.left);
//再遍历右子树。
printPreOrder(node.right);
}
static void printInOrder(Node node) {
if (node == null) {
return;
}
printInOrder(node.left);
//遍历完左子树后,打印根结点,最后遍历右子树。
System.out.println(node.value);
printInOrder(node.right);
}
static void printPostOrder(Node node) {
if (node == null) {
return;
}
//先遍历右子树。
printPostOrder(node.right);
//再遍历左子树。
printPostOrder(node.left);
//最后打印根结点。
System.out.println(node.value);
}
public static void main(String[] args) {
int p[] = {3, 5, 6, 1, 2, 4};
Tree tree = createBinTree(p, p.length);
System.out.println("- 先序遍历 - ");
printPreOrder(tree.root);
System.out.println("- 中序遍历 - ");
printInOrder(tree.root);
System.out.println("- 后序遍历 - ");
printPostOrder(tree.root);
}
}
运行结果
- 先序遍历 -
3
1
2
5
4
6
- 中序遍历 -
1
2
3
4
5
6
- 后序遍历 -
6
4
5
2
1
3
2.2 分层打印二叉树
解决思路
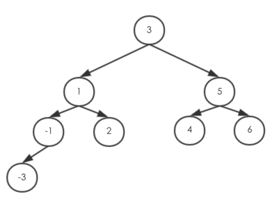
假设建立了一棵如下的二叉树,元素3为第一层,1、5为第二层,-1、2、4、6为第三层,要求按照层的顺序依次打印出每一层的所有元素。

LinkedList来进行存储下一行的元素,并用end保存每一行的最后一个元素,遍历到该元素时打印换行符来实现分层打印。
代码实现
import java.util.LinkedList;
public class Untitled {
static class Tree {
int size;
Node root;
}
static class Node {
Node parent;
Node left;
Node right;
int value;
}
static void insertNode(Tree tree, int value) {
if (tree == null) {
return;
}
Node tNode = tree.root;
//待插入结点的父结点,如果遍历完为空,说明此时是一个空树。
Node pNode = null;
//新的结点。
Node nNode = new Node();
nNode.value = value;
while (tNode != null) {
pNode = tNode;
if (tNode.value > value) {
tNode = tNode.left;
} else {
tNode = tNode.right;
}
}
nNode.parent = pNode;
if (pNode == null) {
tree.root = nNode;
} else if (pNode.value > value) {
pNode.left = nNode;
} else {
pNode.right = nNode;
}
tree.size++;
}
static Tree createBinTree(int p[], int len) {
Tree tree = new Tree();
for (int i = 0; i < len; i++) {
int value = p[i];
insertNode(tree, value);
}
return tree;
}
static void printTreeLevelOrder(Tree tree) {
if (tree == null || tree.root == null) {
return;
}
Node root = tree.root;
LinkedList<Node> queue = new LinkedList<>();
//先放入根结点。
queue.offer(root);
//对应于下一层的最后一个元素。
Node end = root;
while (!queue.isEmpty()) {
//取出当前队列中的首结点,并打印它的值。
Node node = queue.getFirst();
System.out.print(String.valueOf(node.value));
//将该结点的左右孩子放入到队列的尾部。
if (node.left != null) {
queue.offer(node.left);
}
if (node.right != null) {
queue.offer(node.right);
}
//如果当前的结点是该行的尾结点,那么打印一个换行符,并且将 end 赋值为下一行的尾结点。
if (node == end) {
System.out.print("\n");
end = queue.getLast();
} else {
System.out.print(" ");
}
//将该结点从队列头部删除。
queue.pop();
}
}
public static void main(String[] args) {
int p[] = {3, 5, 6, 1, 2, 4, -1, -3};
Tree tree = createBinTree(p, p.length);
printTreeLevelOrder(tree);
}
}
运行结果
>> 3
>> 1 5
>> -1 2 4 6
>> -3
2.3 打印二叉树的第 n 层
解决思路
打印二叉树的第n层和2.2中是相同的原理,只不过是在遍历到第n层时才打印所需的元素。
代码实现
import java.util.LinkedList;
public class Untitled {
static class Tree {
int size;
Node root;
}
static class Node {
Node parent;
Node left;
Node right;
int value;
}
static void insertNode(Tree tree, int value) {
if (tree == null) {
return;
}
Node tNode = tree.root;
//待插入结点的父结点,如果遍历完为空,说明此时是一个空树。
Node pNode = null;
//新的结点。
Node nNode = new Node();
nNode.value = value;
while (tNode != null) {
pNode = tNode;
if (tNode.value > value) {
tNode = tNode.left;
} else {
tNode = tNode.right;
}
}
nNode.parent = pNode;
if (pNode == null) {
tree.root = nNode;
} else if (pNode.value > value) {
pNode.left = nNode;
} else {
pNode.right = nNode;
}
tree.size++;
}
static Tree createBinTree(int p[], int len) {
Tree tree = new Tree();
for (int i = 0; i < len; i++) {
int value = p[i];
insertNode(tree, value);
}
return tree;
}
static void printTreeKLevel(Tree tree, int k) {
if (tree == null || tree.root == null) {
return;
}
Node root = tree.root;
LinkedList<Node> queue = new LinkedList<>();
//先放入根结点。
queue.offer(root);
//对应于下一层的最后一个元素。
Node end = root;
int curLevel = 1;
while (!queue.isEmpty()) {
//取出当前队列中的首结点,并打印它的值。
Node node = queue.getFirst();
//如果当前位于第k层,那么就打印元素。
if (curLevel == k) {
System.out.print(String.valueOf(node.value));
}
//将该结点的左右孩子放入到队列的尾部。
if (node.left != null) {
queue.offer(node.left);
}
if (node.right != null) {
queue.offer(node.right);
}
if (node == end) {
curLevel++;
//如果大于k层,那么就跳出循环。
if (curLevel > k) {
break;
}
end = queue.getLast();
} else {
System.out.print(" ");
}
//将该结点从队列头部删除。
queue.pop();
}
}
public static void main(String[] args) {
int p[] = {3, 5, 6, 1, 2, 4, -1, -3};
Tree tree = createBinTree(p, p.length);
printTreeKLevel(tree, 3);
}
}
运行结果
>> -1 2 4 6
2.4 统计二叉树的叶结点个数
解决思路
叶结点指的是没有左右子树的结点,因此二叉树的叶结点个数等于它的左右子树叶结点之和,可以通过递归的方法来实现。
代码实现
public class Untitled {
static class Tree {
int size;
Node root;
}
static class Node {
Node parent;
Node left;
Node right;
int value;
}
static void insertNode(Tree tree, int value) {
if (tree == null) {
return;
}
Node tNode = tree.root;
//待插入结点的父结点,如果遍历完为空,说明此时是一个空树。
Node pNode = null;
//新的结点。
Node nNode = new Node();
nNode.value = value;
while (tNode != null) {
pNode = tNode;
if (tNode.value > value) {
tNode = tNode.left;
} else {
tNode = tNode.right;
}
}
nNode.parent = pNode;
if (pNode == null) {
tree.root = nNode;
} else if (pNode.value > value) {
pNode.left = nNode;
} else {
pNode.right = nNode;
}
tree.size++;
}
static Tree createBinTree(int p[], int len) {
Tree tree = new Tree();
for (int i = 0; i < len; i++) {
int value = p[i];
insertNode(tree, value);
}
return tree;
}
static int getLeafNumber(Node node) {
if (node == null) {
return 0;
}
if (node.left == null && node.right == null) {
return 1;
}
return getLeafNumber(node.left) + getLeafNumber(node.right);
}
public static void main(String[] args) {
int p[] = {3, 5, 6, 1, 2, 4, -1, -3};
Tree tree = createBinTree(p, p.length);
System.out.println("叶结点个数=" + getLeafNumber(tree.root));
}
}
运行结果
>> 叶结点个数=4
2.5 统计二叉树的高度
解决思路
二叉树的高度 为其根结点到叶结点的最大距离,我们可以先求出它的左右子树的高度的最大值,再加上1就可得到以该结点为根结点的二叉树的高度,同样可以采用递归的方式来实现。
代码实现
public class Untitled {
static class Tree {
int size;
Node root;
}
static class Node {
Node parent;
Node left;
Node right;
int value;
}
static void insertNode(Tree tree, int value) {
if (tree == null) {
return;
}
Node tNode = tree.root;
//待插入结点的父结点,如果遍历完为空,说明此时是一个空树。
Node pNode = null;
//新的结点。
Node nNode = new Node();
nNode.value = value;
while (tNode != null) {
pNode = tNode;
if (tNode.value > value) {
tNode = tNode.left;
} else {
tNode = tNode.right;
}
}
nNode.parent = pNode;
if (pNode == null) {
tree.root = nNode;
} else if (pNode.value > value) {
pNode.left = nNode;
} else {
pNode.right = nNode;
}
tree.size++;
}
static Tree createBinTree(int p[], int len) {
Tree tree = new Tree();
for (int i = 0; i < len; i++) {
int value = p[i];
insertNode(tree, value);
}
return tree;
}
static int getTreeHeight(Node node) {
if (node == null) {
return 0;
}
int left = getTreeHeight(node.left) + 1;
int right = getTreeHeight(node.right) + 1;
return left > right ? left : right;
}
public static void main(String[] args) {
int p[] = {3, 5, 6, 1, 2, 4, -1, -3};
Tree tree = createBinTree(p, p.length);
System.out.println("二叉树高度=" + getTreeHeight(tree.root));
}
}
运行结果
>> 二叉树高度=4