译者:飞龙
自豪地采用谷歌翻译
在本章中,我们将处理来自在线社交网络的数据,并使用 WS 图对其进行建模。WS 模型像数据一样,具有小世界网络的特点,但是与数据不同,它的节点到节点的邻居数目变化很小。
这种差异是 Barabási 和 Albert 开发的网络模型的动机。BA 模型捕捉到邻居数量的观察到的变化,它具有小的世界属性之一,短路径长度,但它没有一个小世界网络的高聚类。
本章最后讨论了 WS 和 BA 图,作为小世界网络的解释模型。
本章的代码位于本书的仓库中的chap04.ipynb中。使用代码的更多信息,请参见第(?)章。
4.1 社交网络数据
WS 图的目的是,模拟自然科学和社会科学中的网络。Watts 和 Strogatz 在他们最初的论文中,查看了电影演员的网络(如果他们出现在同一部电影中,就是连接的)。美国西部的电网;和 C. elegans 线虫脑中的神经元网络 。他们发现,所有这些网络都具有小世界图的高群聚性和短路径长度特征。
在本节中,我们将使用不同的数据集,Facebook 用户及其朋友的数据集,来进行相同的分析。如果你对 Facebook 不熟悉,那么彼此连接的用户被称为“朋友”,而不管他们在现实世界中的关系的性质如何。
我将使用来自斯坦福网络分析项目(SNAP)的数据,该项目分享了来自在线社交网络和其他来源的大型数据集。具体来说,我将使用他们的 Facebook 数据集 [1],其中包括 4039 个用户和 88,234 个朋友关系。该数据集位于本书的仓库中,但也可以从 SNAP 网站上获取。
[1] J. McAuley and J. Leskovec. Learning to Discover Social Circles in Ego Networks. NIPS, 2012.
数据文件为每条边包含一行,用户由 0 到 4038 之间的整数标识。下面是读取文件的代码:
def read_graph(filename):
G = nx.Graph()
array = np.loadtxt(filename, dtype=int)
G.add_edges_from(array)
return G
NumPy 提供了函数loadtext,它读取给定的文件,并以 NumPy 数组的形式返回内容。参数dtype指定数组元素的类型。
然后我们可以使用add_edges_from迭代数组的行,并创建边。结果如下:
>>> fb = read_graph('facebook_combined.txt.gz')
>>> n = len(fb)
>>> m = len(fb.edges())
>>> n, m
(4039, 88234)
节点和边的数量与数据集的文档一致。
现在我们可以检查这个数据集是否具有小世界图的特征:高群聚性和短路径长度。
第(?)节中,我们编写了一个函数,来计算网络平均群聚系数。NetworkX 提供了一个叫做的函数average_clustering,它可以更快地完成相同的工作。
但是对于更大的图,它们都太慢,需要与nk^2成正比的时间,其中n是节点数,k是每个节点的邻居数。
幸运的是,NetworkX提供了一个通过随机抽样来估计群聚系数的函数。你可以像这样调用它:
from networkx.algorithms.approximation import average_clustering
average_clustering(G, trials=1000)
下面函数对路径长度做了类似的事情:
def random_path_lengths(G, nodes=None, trials=1000):
if nodes is None:
nodes = G.nodes()
else:
nodes = list(nodes)
pairs = np.random.choice(nodes, (trials, 2))
lengths = [nx.shortest_path_length(G, *pair)
for pair in pairs]
return lengths
G是一个图,nodes是节点列表,我们应该从中抽样,trials是要抽样的随机路径的数量。如果nodes是None,我们从整个图表中进行抽样。
pairs是随机选择的节点的 NumPy 数组,对于每个采样有一行两列。
列表推导式枚举数组中的行,并计算每对节点之间的最短距离。结果是路径长度的列表。
estimate_path_length生成一个随机路径长度列表,并返回它们的平均值:
def estimate_path_length(G, nodes=None, trials=1000):
return np.mean(random_path_lengths(G, nodes, trials))
我会使用average_clustering来计算C:
C = average_clustering(fb)
并使用estimate_path_lengths来计算L:
L = estimate_path_lengths(fb)
群聚系数约为0.61,这是较高的,正如我们所期望的那样,如果这个网络具有小世界特性。
平均路径为3.7,在 4000 多个用户的网络中相当短。毕竟这是一个小世界。
现在让我们看看是否可以构建一个 WS 图,与此网络具有相同特征。
4.2 WS 模型
在 Facebook 数据集中,每个节点的平均边数约为 22。由于每条边都连接到两个节点,度的均值是每个节点边数的两倍:
>>> k = int(round(2*m/n))
>>> k
44
我们可以用n=4039和k=44创建一个 WS 图。p=0时,我们会得到一个环格。
lattice = nx.watts_strogatz_graph(n, k, 0)
在这个图中,群聚较高:C是 0.73,而在数据集中是 0.61。但是L为 46,远远高于数据集!
使用p=1我们得到一个随机图:
random_graph = nx.watts_strogatz_graph(n, k, 1)
在随机图中,L是 2.6,甚至比数据集(3.7)短,但C只有 0.011,所以这是不好的。
通过反复试验,我们发现,当p=0.05时,我们得到一个高群聚和短路径长度的 WS 图:
ws = nx.watts_strogatz_graph(n, k, 0.05, seed=15)
在这个图中C是0.63,比数据集高一点,L是 3.2,比数据集低一点。所以这个图很好地模拟了数据集的小世界特征。
到现在为止还不错。
4.3 度
图 4.1:Facebook 数据集和 WS 模型中的度的 PMF。
回想一下,节点的度是它连接到的邻居的数量。如果 WS 图是 Facebook 网络的一个很好的模型,它应该具有相同的总(或平均)度,理想情况下不同节点的度数相同。
这个函数返回图中的度的列表,每个节点对应一项:
def degrees(G):
return [G.degree(u) for u in G]
数据集中的度的均值是 43.7;WS 模型中的度的均值是 44。到目前为止还不错。
但是,WS 模型中的度的标准差为 1.5;数据中的标准差是 52.4。有点糟。
这里发生了什么?为了更好地查看,我们必须看看度的 分布,而不仅仅是均值和标准差。
我将用一个 Pmf 对象来表示度的分布,它在thinkstats2模块中定义。Pmf 代表“概率质量函数”;如果你不熟悉这个概念,你可以阅读 Think Stats 第二版的第三章,网址是 greenteapress.com/thinkstats2…。
简而言之,Pmf 是值到概率的映射。Pmf 是每个可能的度d,到度为d的节点比例的映射。
作为一个例子,我将构建一个图,拥有节点1, 2, 3,连接到中心节点0:
G = nx.Graph()
G.add_edge(1, 0)
G.add_edge(2, 0)
G.add_edge(3, 0)
nx.draw(G)
这里是图中的度的列表:
>>> degrees(G)
[3, 1, 1, 1]
节点0度为 3,其它度为 1。现在我可以生成一个 Pmf,它表示这个度的分布:
>>> from thinkstats2 import Pmf
>>> Pmf(degrees(G))
Pmf({1: 0.75, 3: 0.25})
产生的Pmf是一个对象,将每个度映射到一个比例或概率。在这个例子中,75%的节点度为 1,25%度为 3。
现在我们生成一个Pmf,包含来自数据集的节点的度,并计算均值和标准差:
>>> pmf_ws = Pmf(degrees(ws))
>>> pmf_ws.mean(), pmf_ws.std()
(44.000, 1.465)
我们可以使用thinkplot模块来绘制结果:
thinkplot.Pdf(pmf_fb, label='Facebook')
thinkplot.Pdf(pmf_ws, label='WS graph')
图(?)显示了这两个分布。他们是非常不同的。
在 WS 模型中,大多数用户有大约 44 个朋友;最小值是 38,最大值是 50。这个变化不大。在数据集中,有很多用户只有 1 或 2 个朋友,但有一个人有 1000 多个!
像这样的分布,有许多小的值和一些非常大的值,被称为重尾。
4.4 重尾分布
图 4.2:Facebook 数据集和 WS 模型中的度的 PMF,在双对数刻度下。
在复杂性科学的许多领域中,重尾分布是一个常见特征,它们将成为本书的一个反复出现的主题。
我们可以在双对数轴绘制它,来获得重尾分布的更清晰的图像,就像上面那副图那样。这种转换突显了分布的尾巴;也就是较大值的概率。
在这种转换下,数据大致在一条直线上,这表明分布的最大值与概率之间存在“幂律”关系。在数学上,
PMF(k) ~ k^(−α)
其中PMF(k)是度为k的节点的比例,α是一个参数,符号~表示当k增加时,PMF 渐近于k^(−α)。
如果我们把对两边取对数,我们得到:
logPMF(k) ~ −α logk
因此,如果一个分布遵循幂律,并且我们在双对数刻度上绘制PMF(k)与k的关系,那么我们预计至少对于k的较大值,将有一条斜率为-α的直线。
所有的幂律分布都是重尾的,但是还有其他重尾分布不符合幂律。我们将很快看到更多的例子。
但首先,我们有一个问题:WS 模型拥有高群聚性和短路径长度,我们在数据中也看到了,但度的分布根本不像数据。这种差异就启发了我们下一个主题,Barabási-Albert 模型。
4.5 Barabási-Albert 模型
1999 年,Barabási 和 Albert 发表了一篇论文“随机网络中的标度的出现”(Emergence of Scaling in Random Networks),描述了几个现实世界的网络的结构特征,包含一些图,它们展示了电影演员,万维网(WWW)页面和美国西部电网设施的互联性。你可以从 www.sciencemag.org/content/286… 下载该论文。
他们测量每个节点的度并计算PMF(k),即节点度为k的比例。然后他们在双对数标度上绘制PMF(k)与k的关系。这些曲线可用一条直线拟合,至少对于k的较大数值;所以他们得出结论,这些分布是重尾的。
他们还提出了一个模型,生成了属性相同的图。模型的基本特征与 WS 模型不同,它们是:
增长:
BA 模型不是从固定数量的顶点开始,而是从一个较小图开始,每次添加一个顶点。
优先连接:
当创建一个新的边时,它更可能连接到一个已经有很多边的节点。这种“富者更富”的效应是一些现实世界网络增长模式的特征。
最后,他们表明,由 Barabási-Albert(BA)模型模型生成的图,度的分布遵循幂律。
具有这个属性的图有时被称为无标度网络,原因我不会解释;如果你好奇,可以在 en.wikipedia.org/wiki/Scale-… 上阅读更多内容。
NetworkX 提供了一个生成 BA 图的函数。我们将首先使用它;然后我会告诉你它的工作原理。
ba = nx.barabasi_albert_graph(n=4039, k=22)
参数是n要生成的节点数量,k是每个节点添加到图形时的起始边数。我选择k=22,是因为这是数据集中每个节点的平均边数。
图 4.3:Facebook 数据集和 BA 模型中的节点的 PMF,在双对数刻度上。
所得图形拥有 4039 个节点,每个节点有 21.9 个边。由于每条边连接两个节点,度的均值为 43.8,非常接近数据集中的度的均值 43.7。
度的标准差为 40.9,略低于数据集 52.4,但比我们从 WS 图得到的数值好 1.5 倍。
图(?)以双对数刻度展示了 Facebook 网络和 BA 模型的度的分布。模型并不完美;特别k是在小于 10 时偏离了数据。但尾巴看起来像是一条直线,这表明这个过程产生了遵循幂律的度的分布。
所以在重现度的分布时,BA 模型比 WS 模型更好。但它有小世界的属性?
在这个例子中,平均路径长度L是 2.5,这比实际的网络的L = 3.69更小。所以这很好,虽然可能太好了。
另一方面,群聚系数C为 0.037,并不接近数据集中的值 0.61。所以这是一个问题。
下表总结了这些结果。WS 模型捕获了小世界的特点,但没有度的分布。BA 模型捕获了度的分布,和平均路径长度,至少是近似的,但没有群聚系数。
在本章最后的练习中,你可以探索其他可以捕获所有这些特征的模型。
| WS 模型 | BA 模型 | ||
|---|---|---|---|
C |
0.61 | 0.63 | 0.037 |
L |
3.69 | 3.23 | 2.51 |
| 度的均值 | 43.7 | 44 | 43.7 |
| 度的标准差 | 52.4 | 1.5 | 40.1 |
| 幂律? | 可能 | 不是 | 是 |
表 4.1:与两个模型相比,Facebook 网络的特征。
4.6 生成 BA 图
在前面的章节中,我们使用了 NetworkX 函数来生成BA图。现在让我们看看它的工作原理。这是一个barabasi_albert_graph的版本,我做了一些更改,使其更易于阅读:
def barabasi_albert_graph(n, k):
G = nx.empty_graph(k)
targets = list(range(k))
repeated_nodes = []
for source in range(k, n):
G.add_edges_from(zip([source]*k, targets))
repeated_nodes.extend(targets)
repeated_nodes.extend([source] * k)
targets = _random_subset(repeated_nodes, k)
return G
n是我们想要的节点的数量,k是每个新节点边的数量(近似为每个节点的边的数量)。
我们从一个k个节点和没有边的图开始。然后我们初始化两个变量:
targets:
k个节点的列表,它们将被连接到下一个节点。最初targets包含原来的k个节点;之后它将包含节点的随机子集。
repeated_nodes:
一个现有节点的列表,如果一个节点有k条边,那么它出现k次。当我们从repeated_nodes选择时,选择任何节点的概率与它所具有的边数成正比。
每次循环中,我们添加源节点到targets中的节点的边。然后我们更新repeated_nodes,通过添加每个目标一次,以及新的节点k次。
最后,我们选择节点的子集作为下一次迭代的目标。以下是_random_subset的定义:
def _random_subset(repeated_nodes, k):
targets = set()
while len(targets) < k:
x = random.choice(repeated_nodes)
targets.add(x)
return targets
每次循环中,_random_subset从repeated_nodes选择,并将所选节点添加到targets。因为targets是一个集合,它会自动丢弃重复项,所以只有当我们选择了k不同的节点时,循环才会退出。
4.7 累积分布函数(CDF)
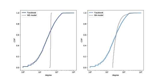
图 4.4:Facebook 数据集中的度的 CDF,以及 WS 模型(左边)和 BA 模型(右边),在双对数刻度上。
图 4.3 通过在双对数刻度上绘制概率质量函数(PMF)来表示度的分布。这就是 Barabási 和 Albert 呈现他们的结果的方式,这是幂律分布的文章中最常使用的表示。但是,这不是观察这样的数据的最好方法。
更好的选择是累积分布函数 (CDF),它将x值映射为小于或等于x的值的比例。
给定一个 Pmf,计算累积概率的最简单方法是将x的概率加起来,包括x:
def cumulative_prob(pmf, x):
ps = [pmf[value] for value in pmf if value<=x]
return sum(ps)
例如,给定数据集中的度的分布,pmf_pf,我们可以计算好友数小于等于 25 的比例:
>>> cumulative_prob(pmf_fb, 25)
0.506
结果接近 0.5,这意味着好友数的中位数约为 25。
因为 CDF 的噪音比 PMF 少,所以 CDF 更适合可视化。一旦你习惯了 CDF 的解释,它们可以提供比 PMF 更清晰的分布图像。
thinkstats模块提供了一个称为Cdf的类,代表累积分布函数。我们可以用它来计算数据集中的度的 CDF。
from thinkstats2 import Cdf
cdf_fb = Cdf(degrees(fb), label='Facebook')
thinkplot提供了一个函数,叫做Cdf,绘制累积分布函数。
thinkplot.Cdf(cdf_fb)
图 4.4 显示了 Facebook 数据集的度的 CDF ,以及 WS 模型(左边)和 BA 模型(右边)。x轴是对数刻度。
显然,WS 模型和数据集的 CDF 很大不同。BA 模式更好,但还不是很好,特别是对于较小数值。
在分布的尾部(值大于 100),BA 模型看起来与数据集匹配得很好,但是很难看出来。我们可以使用另一个数据视图,更清楚地观察数据:在对数坐标上绘制互补 CDF。
互补 CDF(CCDF)定义为:
CCDF(x) = 1 − CDF(x)
它很有用,因为如果 PMF 服从幂律,CCDF 也服从:
CCDF(x) =(x/x_m)^(-α)
其中x_m是最小可能值,α是确定分布形状的参数。
对两边取对数:
logCCDF(x) = −α (logx − logx_m)
因此,如果分布服从幂定律,在双对数刻度上,我们预计 CCDF 是斜率为-α的直线。
图 4.5 以双对数刻度显示 Facebook 数据的度的 CCDF,以及 WS 模型(左边)和 BA 模型(右边)。
通过这种查看数据的方式,我们可以看到 BA 模型与分布的尾部(值大于 20)匹配得相当好。WS 模型没有。
4.8 解释性模型
图 4.6:解释性模型的逻辑结构
我们以 Milgram 的小世界实验开始讨论网络,这表明社交网络中的路径长度是惊人的小;因此,有了“六度分离”。
当我们看到令人惊讶的事情时,自然会问“为什么”,但有时候我们不清楚我们正在寻找什么样的答案。一种答案是解释性模型(见图 4.6)。解释性模型的逻辑结构是:
-
在一个系统
S中,我们看到一些可观察的东西O,值得解释。 -
我们构建一个与系统类似的模型
M,也就是说,模型与系统之间的元素/组件/原理是对应的。 -
通过模拟或数学推导,我们表明,该模型展现出类似于
O的行为B。 -
我们得出这样的结论:
S表现O,因为S类似于M,M表示B,而B类似于O。
其核心是类比论证,即如果两个事物在某些方面相似,那么它们在其他方面可能是相似的。
类比论证是有用的,解释模型可以令人满意,但是它们并不构成数学意义上的证明。
请记住,所有的模型都有所忽略,或者“抽象掉”我们认为不重要的细节。对于任何系统都有很多可能的模型,它们包括或忽略不同的特性。而且可能会出现不同的行为模式,B,B'和B'',这些模式与O不同。在这种情况下,哪个模型解释了O?
小世界现象就是一个例子:Watts-Strogatz(WS)模型和 Barabási-Albert(BA)模型都展现出小世界行为的元素,但是它们提供了不同的解释:
- WS 模型表明,社交网络是“小”的,因为它们包括强连通的集群,和连接群集的“弱关系”(参见 en.wikipedia.org/wiki/Mark_G…)。
- BA 模型表明,社交网络很小,因为它们包括度较高的节点,作为中心,并且随着时间的推移,由于优先添加,中心会增长。
在科学的新兴领域,往往是这样,问题不是我们没有解释,而是它们太多。
4.9:练习
练习 1:
上一节中,我们讨论了小世界现象的两种解释,“弱关系”和“中心”。这些解释是否兼容?也就是说,他们能都对吗?你觉得哪一个解释更令人满意?为什么?
是否有可以收集的数据或可以执行的实验,它们可以提供有利于一种模型的证据?
竞争模型中的选择,是托马斯·库恩(Thomas Kuhn)的论文“客观性,价值判断和理论选择”(Objectivity, Value Judgment, and Theory Choice)的主题,你可以在 github.com/AllenDowney… 上阅读。
对于竞争模型中的选择,库恩提出了什么标准?这些标准是否会影响你对 WS 和 BA 模型的看法?你认为还有其他标准应该考虑吗?
练习 2:
NetworkX 提供了一个叫做powerlaw_cluster_graph的函数,实现了 Holme 和 Kim 算法,用于使用度的幂律分布和近似平均聚类,使图增长。阅读该函数的文档,看看是否可以使用它来生成一个图,节点数、度的均值和群聚系数与 Facebook 数据集相同。与实际分布相比较,模型中的度的分布如何?
练习 3:
来自 Barabási 和 Albert 论文的数据文件可从 www3.nd.edu/~networks/r… 获得。他们的演员协作数据包含在名为actor.dat.gz的文件中。以下函数读取文件并构建图。
import gzip
def read_actor_network(filename, n=None):
G = nx.Graph()
with gzip.open(filename) as f:
for i, line in enumerate(f):
nodes = [int(x) for x in line.split()]
G.add_edges_from(thinkcomplexity.all_pairs(nodes))
if n and i >= n:
break
return G
计算图中的演员数量和度的均值。以双对数刻度绘制度的 PMF。同时在对数-线性刻度上绘制度的 CDF,来观察分布的一般形状,并在双对数刻度上观察,尾部是否服从幂律。
注意:演员的网络不是连通的,因此你可能想要使用nx.connected_component_subgraphs查找节点的连通子集。




