数据结构思维 第十二章 `TreeMap`

310 阅读9分钟
原文链接: github.com

原文:Chapter 12 TreeMap

译者:飞龙

协议:CC BY-NC-SA 4.0

自豪地采用谷歌翻译

这一章展示了二叉搜索树,它是个Map接口的高效实现。如果我们想让元素有序,它非常实用。

12.1 哈希哪里不对?

此时,你应该熟悉 Java 提供的Map接口和HashMap实现。通过使用哈希表来制作你自己的Map,你应该了解HashMap的工作原理,以及为什么我们预计其核心方法是常数时间的。

由于这种表现,HashMap被广泛使用,但并不是唯一的Map实现。有几个原因可能需要另一个实现:

哈希可能很慢,所以即使HashMap操作是常数时间,“常数”可能很大。 如果哈希函数将键均匀分配给子映射,效果很好。但设计良好的散列函数并不容易,如果太多的键在相同的子映射上,那么HashMap的性能可能会很差。 哈希表中的键不以任何特定顺序存储;实际上,当表增长并且键被重新排列时,顺序可能会改变。对于某些应用程序,必须或至少保持键的顺序,这很有用。

很难同时解决所有这些问题,但是 Java 提供了一个称为TreeMap的实现:

  • 它不使用哈希函数,所以它避免了哈希的开销和选择哈希函数的困难。
  • TreeMap之中,键被存储在二叉搜索树中,这使我们可以以线性时间顺序遍历键。
  • 核心方法的运行时间与log(n)成正比,并不像常数时间那样好,但仍然非常好。

在下一节中,我将解释二进制搜索树如何工作,然后你将使用它来实现Map。另外,使用树实现时,我们将分析映射的核心方法的性能。

12.2 二叉搜索树

二叉搜索树(BST)是一个树,其中每个node(节点)包含一个键,并且每个都具有“BST 属性”:

  • 如果node有一个左子树,左子树中的所有键都必须小于node的键。
  • 如果node有一个右子树,右子树中的所有键都必须大于node的键。

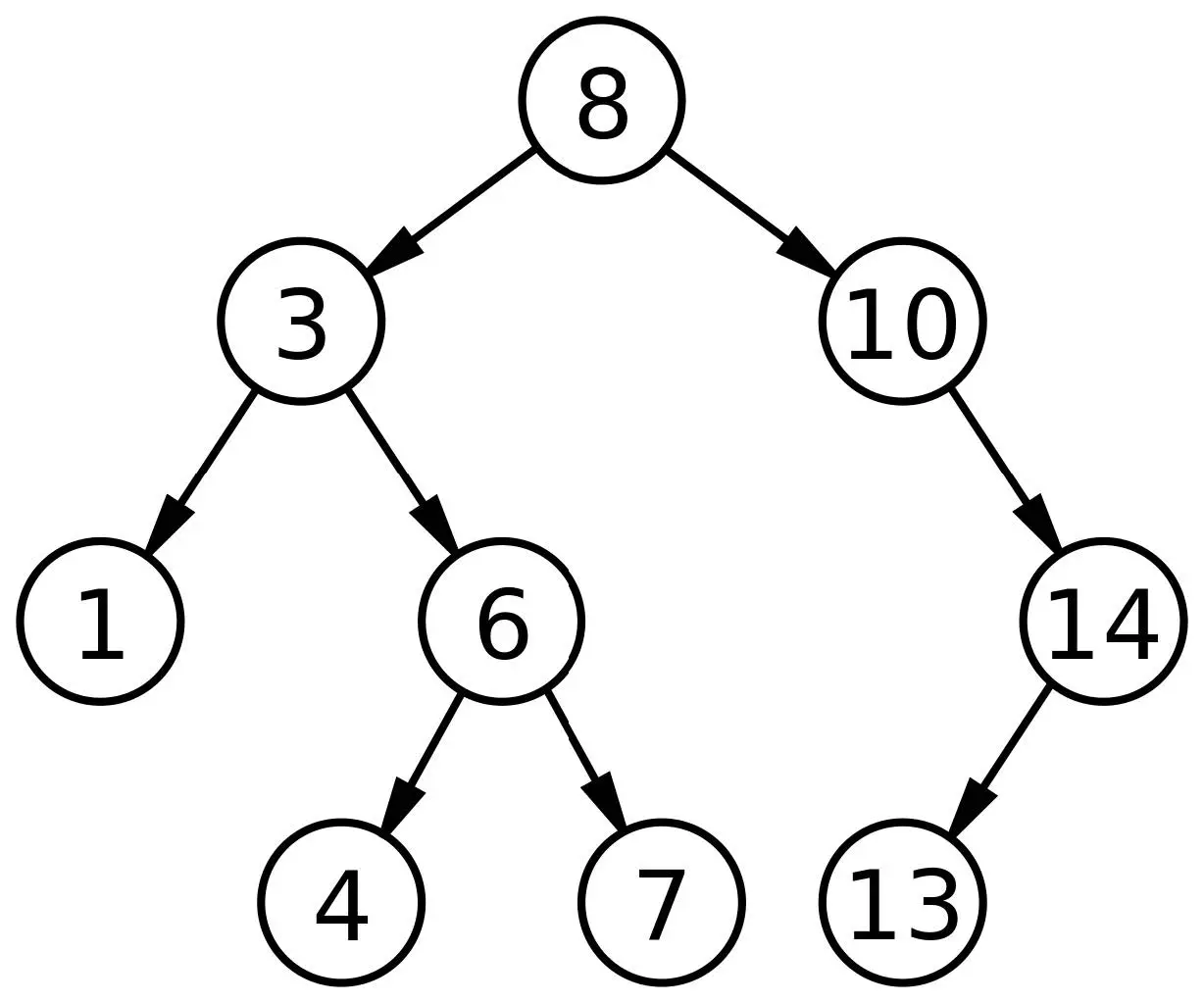
图 12.1:二叉搜索树示例

图 12.1 展示了一个具有此属性的整数的树。这个图片来自二叉搜索树的维基百科页面,位于 thinkdast.com/bst,当你做这个练习时,你会发现它很实用。

根节点中的键为8,你可以确认根节点左边的所有键小于8,右边的所有键都更大。你还可以检查其他节点是否具有此属性。

在二叉搜索树中查找一个键是很快的,因为我们不必搜索整个树。从根节点开始,我们可以使用以下算法:

  • 将你要查找的键target,与当前节点的键进行比较。如果他们相等,你就完成了。
  • 如果target小于当前键,搜索左子树。如果没有,target不在树上。
  • 如果target大于当前键,搜索右子树。如果没有,target不在树上。

在树的每一层,你只需要搜索一个子树。例如,如果你在上图中查找target = 4,则从根节点开始,它包含键8。因为target小于8,你走了左边。因为target大于3,你走了右边。因为target小于6,你走了左边。然后你找到你要找的键。

在这个例子中,即使树包含九个键,它需要四次比较来找到目标。一般来说,比较的数量与树的高度成正比,而不是树中的键的数量。

因此,我们可以计算树的高度h和节点个数n的关系。从小的数值开始,逐渐增加:

如果h=1,树只包含一个节点,那么n=1。 如果h=2,我们可以添加两个节点,总共n=3。 如果h=3,我们可以添加多达四个节点,总共n=7。 如果h=4,我们可以添加多达八个节点,总共n=15

现在你可能会看到这个规律。如果我们将树的层数从1数到n,第i层可以拥有多达2^(n-1)个节点。h层的树共有2^h-1个节点。如果我们有:

n = 2^h - 1

我们可以对两边取以2为底的对数:

log2(n) ≈ h

意思是树的高度正比于logn,如果它是满的。也就是说,如果每一层包含最大数量的节点。

所以我们预计,我们可以以正比于logn的时间,在二叉搜索树中查找节点。如果树是慢的,即使是部分满的,这是对的。但是并不总是对的,我们将会看到。

时间正比于logn的算法是对数时间的,并且属于O(logn)的增长级别。

12.3 练习 10

对于这个练习,你将要使用二叉搜索树编写Map接口的一个实现。

这里是实现的开头,叫做MyTreeMap

public class MyTreeMap<K, V> implements Map<K, V> {

    private int size = 0;
    private Node root = null;

实例变量是size,它跟踪了键的数量,以及root,它是树中根节点的引用。树为空的时候,rootnullsize0

这里是Node的定义,它在MyTreeMap之中定义。

    protected class Node {
        public K key;
        public V value;
        public Node left = null;
        public Node right = null;

        public Node(K key, V value) {
            this.key = key;
            this.value = value;
        }
    }

每个节点包含一个键值对,以及两个子节点的引用,leftright。任意子节点都可以为null

一些Map方法易于实现,比如sizeclear

    public int size() {
        return size;
    }

    public void clear() {
        size = 0;
        root = null;
    }

size显然是常数时间的。

clear也是常数时间的,但是考虑这个:当root赋为null时,垃圾收集器回收了树中的节点,这是线性时间的。这个工作是否应该由垃圾收集器的计数来完成呢?我认为是的。

下一节中,你会填充一些其它方法,包括最重要的getset

12.4 实现TreeMap

这本书的仓库中,你将找到这些源文件:

  • MyTreeMap.java包含上一节的代码,其中包含缺失方法的大纲。
  • MyTreeMapTest.java包含单元MyTreeMap的测试。

运行ant build来编译源文件。然后运行ant MyTreeMapTest。几个测试应该失败,因为你有一些工作要做!

我已经提供了getcontainsKey的大纲。他们都使用findNode,这是我定义的私有方法;它不是Map接口的一部分。以下是它的起始:

    private Node findNode(Object target) {
        if (target == null) {
            throw new IllegalArgumentException();
        }

        @SuppressWarnings("unchecked")
        Comparable<? super K> k = (Comparable<? super K>) target;

        // TODO: FILL THIS IN!
        return null;
    }

参数target是我们要查找的键。如果targetnullfindNode抛出异常。一些Map实现可以将null处理为一个键,但是在二叉搜索树中,我们需要能够比较键,所以处理null是有问题的。为了保持简单,这个实现不将null视为键。

下一行显示如何将target与树中的键进行比较。按照getcontainsKey的签名(名称和参数),编译器认为target是一个Object。但是,我们需要能够对键进行比较,所以我们将target强制转换为Comparable<? super K>,这意味着它可以与类型K(或任何超类)的示例比较。如果你不熟悉“类型通配符”的用法,可以在 thinkdast.com/gentut 上阅读更多内容。

幸运的是,Java 的类型系统的处理不是这个练习的重点。你的工作是填写剩下的findNode。如果它发现一个包含target键的节点,它应该返回该节点。否则应该返回null。当你使其工作,getcontainsKey的测试应该通过。

请注意,你的解决方案应该只搜索通过树的一条路径,因此它应该与树的高度成正比。你不应该搜索整棵树!

你的下一个任务是填充containsValue。为了让你起步,我提供了一个辅助方法equals,比较target和给定的键。请注意,树中的值(与键相反)不一定是可比较的,所以我们不能使用compareTo;我们必须在target上调用equals

不像你以前的findNode解决方案,你的containsValue解决方案应该搜索整个树,所以它的运行时间正比于键的数量n,而不是树的高度h

译者注:这里你可能想使用之前讲过的 DFS 迭代器。

你应该填充的下一个方法是put。我提供了处理简单情况的起始代码:

    public V put(K key, V value) {
        if (key == null) {
            throw new IllegalArgumentException();
        }
        if (root == null) {
            root = new Node(key, value);
            size++;
            return null;
        }
        return putHelper(root, key, value);
    }

    private V putHelper(Node node, K key, V value) {
        // TODO: Fill this in.
    }

如果你尝试将null作为关键字,put则会抛出异常。

如果树为空,则put创建一个新节点并初始化实例变量root

否则,它调用putHelper,这是我定义的私有方法;它不是Map接口的一部分。

填写putHelper,让它搜索树,以及:

  • 如果key已经在树中,它将使用新值替换旧值,并返回旧值。
  • 如果key不在树中,它将创建一个新节点,找到正确的添加位置,并返回null

你的put实现的是时间应该与树的高度h成正比,而不是元素的数量n。理想情况下,你只需搜索一次树,但如果你发现两次更容易搜索,可以这样做:它会慢一些,但不会改变增长级别。

最后,你应该填充keySet。根据 thinkdast.com/mapkeyset 的文档,该方法应该返回一个Set,可以按顺序迭代键;也就是说,按照compareTo方法,升序迭代。我们在 8.3 节中使用的HashSet实现不会维护键的顺序,但LinkedHashSet实现可以。你可以阅读 thinkdast.com/linkedhashs…

我提供了一个keySet的大纲,创建并返回LinkedHashSet

    public Set<K> keySet() {
        Set<K> set = new LinkedHashSet<K>();
        return set;
    }

你应该完成此方法,使其以升序向set添加树中的键。提示:你可能想编写一个辅助程序;你可能想让它递归;你也可能想要阅读 thinkdast.com/inorder 上的树的中序遍历。

当你完成时,所有测试都应该通过。下一章中,我会讲解我的解法,并测试核心方法的性能。