深度学习微专业详细笔记 2.1 二分分类

846 阅读5分钟
原文链接: github.com

视频:mooc.study.163.com/learn/deepl…

本周我们会学习神经网络编程的基础知识。当你要构建一个神经网络,有些技巧是相当重要的。例如。对于m个样本的训练集,你可能会习惯性地去用一个for循环,来遍历这m个样本。但事实上,实现一个神经网络,如果你要遍历整个训练集,并不需要直接使用for循环。本周的课程中,你会学习如何做到它。

还有就是,神经网络的计算过程中,通常有一个正向过程,或者叫正向传播步骤。接着会有一个反向步骤,也叫做反向传播步骤。这周的学习材料中,我也会给你介绍,为什么神经网络的计算过程可以,分为前向传播和反向传播,两个分开的过程。

本周课程中,我会用logistic回归来阐述,以便于你能更好地理解。如果你之前学过logistic回归,我也认为这周的学习材料,也会带给你一些新的、有意思的想法。下面开始吧。

logistic回归是一个用于二分分类的算法,我们从一个问题开始。这有一个二分分类问题的例子,假如你有一张图片作为输入,是这样子的。你想输出识别此图的标签,如果是猫输出1,如果不是则输出0。我们用y来表示输出的结果标签。

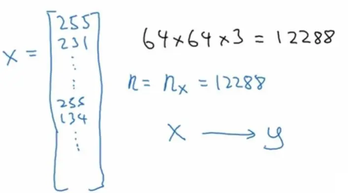
来看看一张图片,在计算机中是如何表示的。计算机保存一张图片,要保存三个独立矩阵,分别对应图片中的红、绿、蓝三个颜色通道。如果输入图片是64×64像素的,就有三个64×64的矩阵,分别对应图片中的红、绿、蓝三种像素的亮度。为了方便表示,这里我用三个小矩阵,它们是5×4的,并不是64×64的。

要把这些像素亮度值放进一个特征向量中,就要把这些像素值都提出来,放入一个特征向量x。为了把这些像素值取出放入特征向量,就要像下面这样定义一个特征向量x,以表示这张图片。我们把所有的像素值都取出来,例如255231这些,直到列完所有的红色像素,接着是255134255134等等。最后得到一个很长的特征向量,把图片中所有的红、绿、蓝像素亮度值都列出来。如果图片是64×64的那么向量x的总维度,就是64×64×3,因为这是三个矩阵的元素数量。对于这个例子,数字是12288。把它们乘起来这就是结果。我们用nx=12288,来表示输入的特征向量x的维度。有时候为了简洁,我会直接用小写的n,来表示输入的特征向量的维度。

在二分分类问题中,目标是训练出一个分类器,它以图片的特征向量x作为输入,预测输出的结果标签y1还是0。也就是,预测图片中是否有猫。现在我们看看在后面课程中,需要用到的一些符号。用一对(x,y)来表示一个单独的样本,xnx维的特征向量,标签y值为01。训练集由m个训练样本构成。(x^(1),y^(1))表示样本一的输入和输出。(x^(2),y^(2))表示样本二,(x^(m),y^(m))表示最后一个样本m。这些一起就表示整个训练集。用小写的字母m,来表示训练样本的个数。有时候为了强调,这是训练样本的个数,可以写作m=m_train

当说到测试集时,我们会用m_test,来表示测试集的样本数。所以,这是测试集的样本数。最后,用更紧凑的符号表示训练集。我们定义一个矩阵,用大写的X表示,它由训练集中的x1x2这些组成,像这样写成矩阵的列。现在我们把x^(1)放进矩阵的第一列,x^(2)是第二列 …… xm是第m列。最后得到矩阵X,这个矩阵有m列,m是训练集的样本数,这个矩阵的高度记为nx

要注意的是,有时候矩阵X的定义,训练样本作为行向量堆叠,而不是这样列向量堆叠(比如 Sklearn 中的数据集),x^(1)T …… x^(m)T。构建神经网络时,用左边这个约定形式。会让构建过程简单得多。

现在回顾一下,X是一个nx×m矩阵,当你用 Python 实现的时候,你会看到X.shape这是一条 Python(NumPy)命令,用来输出矩阵的维度即(nx,m)。表示X是一个nx×m矩阵。这就是如何将训练样本,即输入x用矩阵表示。

那输出标签y呢?同样为了方便,构建一个神经网络,将y标签也放到列中。我们定义Yy^(1)y^(2),一直到y^(m)。这里的Y是一个1×m矩阵。同样地,在 Python 里Y.shape等于(1,m),表示这是一个1×m矩阵。

在后面的课程中,要实现神经网络时,你会发现,好的惯例符号,能够将不同训练样本的数据联系起来。这里说的数据不仅有xy,还会有之后其他的量。将不同的训练样本数据取出来,放到不同的列上,就像刚刚我们处理xy那样。

这门课中,logistic回归和神经网络要用到的符号就是这些了。如果你忘了这些符号的意义,比如什么是m什么是n,或者其他,我们也会在课程网站上,放上符号说明,这样你就可以快速地查阅每个符号的意义。

就这样吧,下个课程视频中,我们以logistic回归作为开始。