在机器学习和数据挖掘的应用中,scikit-learn是一个功能强大的python包。在数据量不是过大的情况下,可以解决大部分问题。学习使用scikit-learn的过程中,我自己也在补充着机器学习和数据挖掘的知识。这里根据自己学习sklearn的经验,我做一个总结的笔记。另外,我也想把这篇笔记一直更新下去。
1 scikit-learn基础介绍
1.1 估计器(Estimator)
估计器,很多时候可以直接理解成分类器,主要包含两个函数:
- fit():训练算法,设置内部参数。接收训练集和类别两个参数。
- predict():预测测试集类别,参数为测试集。
大多数scikit-learn估计器接收和输出的数据格式均为numpy数组或类似格式。
1.2 转换器(Transformer)
转换器用于数据预处理和数据转换,主要是三个方法:
- fit():训练算法,设置内部参数。
- transform():数据转换。
- fit_transform():合并fit和transform两个方法。
1.3 流水线(Pipeline)
sklearn.pipeline包
流水线的功能:
- 跟踪记录各步骤的操作(以方便地重现实验结果)
- 对各步骤进行一个封装
- 确保代码的复杂程度不至于超出掌控范围
基本使用方法
流水线的输入为一连串的数据挖掘步骤,其中最后一步必须是估计器,前几步是转换器。输入的数据集经过转换器的处理后,输出的结果作为下一步的输入。最后,用位于流水线最后一步的估计器对数据进行分类。
每一步都用元组( ‘名称’,步骤)来表示。现在来创建流水线。
scaling_pipeline = Pipeline([
('scale', MinMaxScaler()),
('predict', KNeighborsClassifier())
])
1.4 预处理
主要在sklearn.preprcessing包下。
规范化:
- MinMaxScaler :最大最小值规范化
- Normalizer :使每条数据各特征值的和为1
- StandardScaler :为使各特征的均值为0,方差为1
编码:
- LabelEncoder :把字符串类型的数据转化为整型
- OneHotEncoder :特征用一个二进制数字来表示
- Binarizer :为将数值型特征的二值化
- MultiLabelBinarizer:多标签二值化
1.5 特征
1.5.1 特征抽取
包:sklearn.feature_extraction
特征抽取是数据挖掘任务最为重要的一个环节,一般而言,它对最终结果的影响要高过数据挖掘算法本身。只有先把现实用特征表示出来,才能借助数据挖掘的力量找到问题的答案。特征选择的另一个优点在于:降低真实世界的复杂度,模型比现实更容易操纵。
一般最常使用的特征抽取技术都是高度针对具体领域的,对于特定的领域,如图像处理,在过去一段时间已经开发了各种特征抽取的技术,但这些技术在其他领域的应用却非常有限。
- DictVectorizer: 将dict类型的list数据,转换成numpy array
- FeatureHasher : 特征哈希,相当于一种降维技巧
- image:图像相关的特征抽取
- text: 文本相关的特征抽取
- text.CountVectorizer:将文本转换为每个词出现的个数的向量
- text.TfidfVectorizer:将文本转换为tfidf值的向量
- text.HashingVectorizer:文本的特征哈希
示例

CountVectorize只数出现个数


TfidfVectorizer:个数+归一化(不包括idf)

1.5.2 特征选择
包:sklearn.feature_selection
特征选择的原因如下:
(1)降低复杂度
(2)降低噪音
(3)增加模型可读性
- VarianceThreshold: 删除特征值的方差达不到最低标准的特征
- SelectKBest: 返回k个最佳特征
- SelectPercentile: 返回表现最佳的前r%个特征
单个特征和某一类别之间相关性的计算方法有很多。最常用的有卡方检验(χ2)。其他方法还有互信息和信息熵。
- chi2: 卡方检验(χ2)
1.6 降维
包:sklearn.decomposition
- 主成分分析算法(Principal Component Analysis, PCA)的目的是找到能用较少信息描述数据集的特征组合。它意在发现彼此之间没有相关性、能够描述数据集的特征,确切说这些特征的方差跟整体方差没有多大差距,这样的特征也被称为主成分。这也就意味着,借助这种方法,就能通过更少的特征捕获到数据集的大部分信息。
1.7 组合
包:sklearn.ensemble
组合技术即通过聚集多个分类器的预测来提高分类准确率。
常用的组合分类器方法:
(1)通过处理训练数据集。即通过某种抽样分布,对原始数据进行再抽样,得到多个训练集。常用的方法有装袋(bagging)和提升(boosting)。
(2)通过处理输入特征。即通过选择输入特征的子集形成每个训练集。适用于有大量冗余特征的数据集。随机森林(Random forest)就是一种处理输入特征的组合方法。
(3)通过处理类标号。适用于多分类的情况,将类标号随机划分成两个不相交的子集,再把问题变为二分类问题,重复构建多次模型,进行分类投票。
- BaggingClassifier: Bagging分类器组合
- BaggingRegressor: Bagging回归器组合
- AdaBoostClassifier: AdaBoost分类器组合
- AdaBoostRegressor: AdaBoost回归器组合
- GradientBoostingClassifier:GradientBoosting分类器组合
- GradientBoostingRegressor: GradientBoosting回归器组合
- ExtraTreeClassifier:ExtraTree分类器组合
- ExtraTreeRegressor: ExtraTree回归器组合
- RandomTreeClassifier:随机森林分类器组合
- RandomTreeRegressor: 随机森林回归器组合
使用举例
AdaBoostClassifier(DecisionTreeClassifier(max_depth=1),
algorithm="SAMME",
n_estimators=200)
解释
装袋(bagging):根据均匀概率分布从数据集中重复抽样(有放回),每个自助样本集和原数据集一样大,每个自助样本集含有原数据集大约63%的数据。训练k个分类器,测试样本被指派到得票最高的类。
提升(boosting):通过给样本设置不同的权值,每轮迭代调整权值。不同的提升算法之间的差别,一般是(1)如何更新样本的权值,(2)如何组合每个分类器的预测。其中Adaboost中,样本权值是增加那些被错误分类的样本的权值,分类器C_i的重要性依赖于它的错误率。
Boosting主要关注降低偏差,因此Boosting能基于泛化性能相当弱的学习器构建出很强的集成;Bagging主要关注降低方差,因此它在不剪枝的决策树、神经网络等学习器上效用更为明显。偏差指的是算法的期望预测与真实预测之间的偏差程度,反应了模型本身的拟合能力;方差度量了同等大小的训练集的变动导致学习性能的变化,刻画了数据扰动所导致的影响。
1.8 模型评估(度量)
包:sklearn.metrics
sklearn.metrics包含评分方法、性能度量、成对度量和距离计算。
分类结果度量
参数大多是y_true和y_pred。
- accuracy_score:分类准确度
- condusion_matrix :分类混淆矩阵
- classification_report:分类报告
- precision_recall_fscore_support:计算精确度、召回率、f、支持率
- jaccard_similarity_score:计算jcaard相似度
- hamming_loss:计算汉明损失
- zero_one_loss:0-1损失
- hinge_loss:计算hinge损失
- log_loss:计算log损失
其中,F1是以每个类别为基础进行定义的,包括两个概念:准确率(precision)和召回率(recall)。准确率是指预测结果属于某一类的个体,实际属于该类的比例。召回率是被正确预测为某类的个体,与数据集中该类个体总数的比例。F1是准确率和召回率的调和平均数。
回归结果度量
- explained_varicance_score:可解释方差的回归评分函数
- mean_absolute_error:平均绝对误差
- mean_squared_error:平均平方误差
多标签的度量
- coverage_error:涵盖误差
- label_ranking_average_precision_score:计算基于排名的平均误差Label ranking average precision (LRAP)
聚类的度量
- adjusted_mutual_info_score:调整的互信息评分
- silhouette_score:所有样本的轮廓系数的平均值
- silhouette_sample:所有样本的轮廓系数
1.9 交叉验证
包:sklearn.cross_validation
- KFold:K-Fold交叉验证迭代器。接收元素个数、fold数、是否清洗
- LeaveOneOut:LeaveOneOut交叉验证迭代器
- LeavePOut:LeavePOut交叉验证迭代器
- LeaveOneLableOut:LeaveOneLableOut交叉验证迭代器
- LeavePLabelOut:LeavePLabelOut交叉验证迭代器
LeaveOneOut(n) 相当于 KFold(n, n_folds=n) 相当于LeavePOut(n, p=1)。
LeaveP和LeaveOne差别在于leave的个数,也就是测试集的尺寸。LeavePLabel和LeaveOneLabel差别在于leave的Label的种类的个数。
LeavePLabel这种设计是针对可能存在第三方的Label,比如我们的数据是一些季度的数据。那么很自然的一个想法就是把1,2,3个季度的数据当做训练集,第4个季度的数据当做测试集。这个时候只要输入每个样本对应的季度Label,就可以实现这样的功能。
以下是实验代码,尽量自己多实验去理解。
#coding=utf-8
import numpy as np
import sklearnfrom sklearn
import cross_validation
X = np.array([[1, 2], [3, 4], [5, 6], [7, 8],[9, 10]])
y = np.array([1, 2, 1, 2, 3])
def show_cross_val(method):
if method == "lolo":
labels = np.array(["summer", "winter", "summer", "winter", "spring"])
cv = cross_validation.LeaveOneLabelOut(labels)
elif method == 'lplo':
labels = np.array(["summer", "winter", "summer", "winter", "spring"])
cv = cross_validation.LeavePLabelOut(labels,p=2)
elif method == 'loo':
cv = cross_validation.LeaveOneOut(n=len(y))
elif method == 'lpo':
cv = cross_validation.LeavePOut(n=len(y),p=3)
for train_index, test_index in cv:
print("TRAIN:", train_index, "TEST:", test_index)
X_train, X_test = X[train_index], X[test_index]
y_train, y_test = y[train_index], y[test_index]
print "X_train: ",X_train
print "y_train: ", y_train
print "X_test: ",X_test
print "y_test: ",y_test
if __name__ == '__main__':
show_cross_val("lpo")
常用方法
- train_test_split:分离训练集和测试集(不是K-Fold)
- cross_val_score:交叉验证评分,可以指认cv为上面的类的实例
- cross_val_predict:交叉验证的预测。
1.10 网格搜索
包:sklearn.grid_search
网格搜索最佳参数
- GridSearchCV:搜索指定参数网格中的最佳参数
- ParameterGrid:参数网格
- ParameterSampler:用给定分布生成参数的生成器
- RandomizedSearchCV:超参的随机搜索
通过best_estimator_.get_params()方法,获取最佳参数。
1.11 多分类、多标签分类
包:sklearn.multiclass
- OneVsRestClassifier:1-rest多分类(多标签)策略
- OneVsOneClassifier:1-1多分类策略
- OutputCodeClassifier:1个类用一个二进制码表示
示例代码
上面的代码测试了svm在OneVsRestClassifier的包装下,分别处理多分类和多标签的情况。特别注意,在多标签的情况下,输入必须是二值化的。所以需要MultiLabelBinarizer()先处理。#coding=utf-8 from sklearn import metrics from sklearn import cross_validation from sklearn.svm import SVC from sklearn.multiclass import OneVsRestClassifier from sklearn.preprocessing import MultiLabelBinarizer import numpy as np from numpy import random X=np.arange(15).reshape(5,3) y=np.arange(5) Y_1 = np.arange(5) random.shuffle(Y_1) Y_2 = np.arange(5) random.shuffle(Y_2) Y = np.c_[Y_1,Y_2] def multiclassSVM(): X_train, X_test, y_train, y_test = cross_validation.train_test_split(X, y, test_size=0.2,random_state=0) model = OneVsRestClassifier(SVC()) model.fit(X_train, y_train) predicted = model.predict(X_test) print predicted def multilabelSVM(): Y_enc = MultiLabelBinarizer().fit_transform(Y) X_train, X_test, Y_train, Y_test = cross_validation.train_test_split(X, Y_enc, test_size=0.2, random_state=0) model = OneVsRestClassifier(SVC()) model.fit(X_train, Y_train) predicted = model.predict(X_test) print predicted if __name__ == '__main__': multiclassSVM() # multilabelSVM()
2 具体模型
2.1 朴素贝叶斯(Naive Bayes)
包:sklearn.cross_validation

朴素贝叶斯的特点是分类速度快,分类效果不一定是最好的。
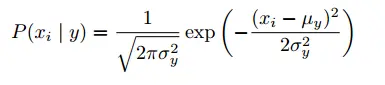
- GasussianNB:高斯分布的朴素贝叶斯
- MultinomialNB:多项式分布的朴素贝叶斯
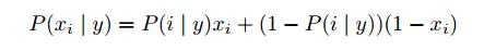
- BernoulliNB:伯努利分布的朴素贝叶斯
所谓使用什么分布的朴素贝叶斯,就是假设P(x_i|y)是符合哪一种分布,比如可以假设其服从高斯分布,然后用最大似然法估计高斯分布的参数。



3 scikit-learn扩展
3.0 概览
具体的扩展,通常要继承sklearn.base包下的类。
- BaseEstimator: 估计器的基类
- ClassifierMixin :分类器的混合类
- ClusterMixin:聚类器的混合类
- RegressorMixin :回归器的混合类
- TransformerMixin :转换器的混合类
关于什么是Mixin(混合类),具体可以看这个知乎链接。简单地理解,就是带有实现方法的接口,可以将其看做是组合模式的一种实现。举个例子,比如说常用的TfidfTransformer,继承了BaseEstimator, TransformerMixin,因此它的基本功能就是单一职责的估计器和转换器的组合。
3.1 创建自己的转换器
在特征抽取的时候,经常会发现自己的一些数据预处理的方法,sklearn里可能没有实现,但若直接在数据上改,又容易将代码弄得混乱,难以重现实验。这个时候最好自己创建一个转换器,在后面将这个转换器放到pipeline里,统一管理。
例如《Python数据挖掘入门与实战》书中的例子,我们想接收一个numpy数组,根据其均值将其离散化,任何高于均值的特征值替换为1,小于或等于均值的替换为0。
代码实现:
from sklearn.base import TransformerMixin
from sklearn.utils import as_float_array
class MeanDiscrete(TransformerMixin):
#计算出数据集的均值,用内部变量保存该值。
def fit(self, X, y=None):
X = as_float_array(X)
self.mean = np.mean(X, axis=0)
#返回self,确保在转换器中能够进行链式调用(例如调用transformer.fit(X).transform(X))
return self
def transform(self, X):
X = as_float_array(X)
assert X.shape[1] == self.mean.shape[0]
return X > self.mean
想每天第一时间收到 AI 相关高质量技术内容?
扫描二维码关注公众号:AI训练场
