雷锋网(公众号:雷锋网)按:本文转自刘志伟责编,在机器学习中选择一个恰当的算法十分重要,文中主要介绍了8种计算机算法及其优缺点,为大家进行算法选择时提供一点意见。
简介
机器学习算法太多了,分类、回归、聚类、推荐、图像识别领域等等,要想找到一个合适算法真的不容易,所以在实际应用中,我们一般都是采用启发式学习方式来实验。通常最开始我们都会选择大家普遍认同的算法,诸如SVM,GBDT,Adaboost,现在深度学习很火热,神经网络也是一个不错的选择。假如你在乎精度(accuracy)的话,最好的方法就是通过交叉验证(cross-validation)对各个算法一个个地进行测试,进行比较,然后调整参数确保每个算法达到最优解,最后选择最好的一个。但是如果你只是在寻找一个“足够好”的算法来解决你的问题,或者这里有些技巧可以参考,下面来分析下各个算法的优缺点,基于算法的优缺点,更易于我们去选择它。
偏差&方差
在统计学中,一个模型好坏,是根据偏差和方差来衡量的,所以我们先来普及一下偏差和方差:
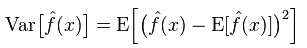
偏差:描述的是预测值(估计值)的期望E’与真实值Y之间的差距。偏差越大,越偏离真实数据。

方差:描述的是预测值P的变化范围,离散程度,是预测值的方差,也就是离其期望值E的距离。方差越大,数据的分布越分散。

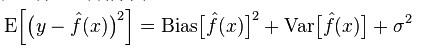
模型的真实误差是两者之和,如下图:
如果是小训练集,高偏差/低方差的分类器(例如,朴素贝叶斯NB)要比低偏差/高方差大分类的优势大(例如,KNN),因为后者会过拟合。但是,随着你训练集的增长,模型对于原数据的预测能力就越好,偏差就会降低,此时低偏差/高方差分类器就会渐渐的表现其优势(因为它们有较低的渐近误差),此时高偏差分类器此时已经不足以提供准确的模型了。
当然,你也可以认为这是生成模型(NB)与判别模型(KNN)的一个区别。
为什么说朴素贝叶斯是高偏差低方差?
以下内容引自知乎:
首先,假设你知道训练集和测试集的关系。简单来讲是我们要在训练集上学习一个模型,然后拿到测试集去用,效果好不好要根据测试集的错误率来衡量。但很多时候,我们只能假设测试集和训练集的是符合同一个数据分布的,但却拿不到真正的测试数据。这时候怎么在只看到训练错误率的情况下,去衡量测试错误率呢?
由于训练样本很少(至少不足够多),所以通过训练集得到的模型,总不是真正正确的。(就算在训练集上正确率100%,也不能说明它刻画了真实的数据分布,要知道刻画真实的数据分布才是我们的目的,而不是只刻画训练集的有限的数据点)。而且,实际中,训练样本往往还有一定的噪音误差,所以如果太追求在训练集上的完美而采用一个很复杂的模型,会使得模型把训练集里面的误差都当成了真实的数据分布特征,从而得到错误的数据分布估计。这样的话,到了真正的测试集上就错的一塌糊涂了(这种现象叫过拟合)。但是也不能用太简单的模型,否则在数据分布比较复杂的时候,模型就不足以刻画数据分布了(体现为连在训练集上的错误率都很高,这种现象较欠拟合)。过拟合表明采用的模型比真实的数据分布更复杂,而欠拟合表示采用的模型比真实的数据分布要简单。
在统计学习框架下,大家刻画模型复杂度的时候,有这么个观点,认为Error = Bias + Variance。这里的Error大概可以理解为模型的预测错误率,是有两部分组成的,一部分是由于模型太简单而带来的估计不准确的部分(Bias),另一部分是由于模型太复杂而带来的更大的变化空间和不确定性(Variance)。
所以,这样就容易分析朴素贝叶斯了。它简单的假设了各个数据之间是无关的,是一个被严重简化了的模型。所以,对于这样一个简单模型,大部分场合都会Bias部分大于Variance部分,也就是说高偏差而低方差。
在实际中,为了让Error尽量小,我们在选择模型的时候需要平衡Bias和Variance所占的比例,也就是平衡over-fitting和under-fitting。
偏差和方差与模型复杂度的关系使用下图更加明了:

当模型复杂度上升的时候,偏差会逐渐变小,而方差会逐渐变大。
常见算法优缺点
1.朴素贝叶斯
朴素贝叶斯属于生成式模型(关于生成模型和判别式模型,主要还是在于是否是要求联合分布),非常简单,你只是做了一堆计数。如果注有条件独立性假设(一个比较严格的条件),朴素贝叶斯分类器的收敛速度将快于判别模型,如逻辑回归,所以你只需要较少的训练数据即可。即使NB条件独立假设不成立,NB分类器在实践中仍然表现的很出色。它的主要缺点是它不能学习特征间的相互作用,用mRMR中R来讲,就是特征冗余。引用一个比较经典的例子,比如,虽然你喜欢Brad Pitt和Tom Cruise的电影,但是它不能学习出你不喜欢他们在一起演的电影。
优点:
-
朴素贝叶斯模型发源于古典数学理论,有着坚实的数学基础,以及稳定的分类效率。
-
对小规模的数据表现很好,能个处理多分类任务,适合增量式训练;
-
对缺失数据不太敏感,算法也比较简单,常用于文本分类。
缺点:
-
需要计算先验概率;
-
分类决策存在错误率;
-
对输入数据的表达形式很敏感。
2.Logistic Regression(逻辑回归)
属于判别式模型,有很多正则化模型的方法(L0, L1,L2,etc),而且你不必像在用朴素贝叶斯那样担心你的特征是否相关。与决策树与SVM机相比,你还会得到一个不错的概率解释,你甚至可以轻松地利用新数据来更新模型(使用在线梯度下降算法,online gradient descent)。如果你需要一个概率架构(比如,简单地调节分类阈值,指明不确定性,或者是要获得置信区间),或者你希望以后将更多的训练数据快速整合到模型中去,那么使用它吧。
Sigmoid函数:

优点:
-
实现简单,广泛的应用于工业问题上;
-
分类时计算量非常小,速度很快,存储资源低;
-
便利的观测样本概率分数;
-
对逻辑回归而言,多重共线性并不是问题,它可以结合L2正则化来解决该问题;
缺点:
-
当特征空间很大时,逻辑回归的性能不是很好;
-
容易欠拟合,一般准确度不太高
-
不能很好地处理大量多类特征或变量;
只能处理两分类问题(在此基础上衍生出来的softmax可以用于多分类),且必须线性可分;
对于非线性特征,需要进行转换;
3.线性回归
线性回归是用于回归的,而不像Logistic回归是用于分类,其基本思想是用梯度下降法对最小二乘法形式的误差函数进行优化,当然也可以用normal equation直接求得参数的解,结果为:

而在LWLR(局部加权线性回归)中,参数的计算表达式为:

由此可见LWLR与LR不同,LWLR是一个非参数模型,因为每次进行回归计算都要遍历训练样本至少一次。
优点: 实现简单,计算简单;
缺点: 不能拟合非线性数据.
4.最近领算法——KNN
KNN即最近邻算法,其主要过程为:
1. 计算训练样本和测试样本中每个样本点的距离(常见的距离度量有欧式距离,马氏距离等);2. 对上面所有的距离值进行排序;3. 选前k个最小距离的样本;4. 根据这k个样本的标签进行投票,得到最后的分类类别;
如何选择一个最佳的K值,这取决于数据。一般情况下,在分类时较大的K值能够减小噪声的影响。但会使类别之间的界限变得模糊。一个较好的K值可通过各种启发式技术来获取,比如,交叉验证。另外噪声和非相关性特征向量的存在会使K近邻算法的准确性减小。
近邻算法具有较强的一致性结果。随着数据趋于无限,算法保证错误率不会超过贝叶斯算法错误率的两倍。对于一些好的K值,K近邻保证错误率不会超过贝叶斯理论误差率。
KNN算法的优点
-
理论成熟,思想简单,既可以用来做分类也可以用来做回归;
-
可用于非线性分类;
-
训练时间复杂度为O(n);
-
对数据没有假设,准确度高,对outlier不敏感;
缺点
-
计算量大;
-
样本不平衡问题(即有些类别的样本数量很多,而其它样本的数量很少);
-
需要大量的内存;
5.决策树
易于解释。它可以毫无压力地处理特征间的交互关系并且是非参数化的,因此你不必担心异常值或者数据是否线性可分(举个例子,决策树能轻松处理好类别A在某个特征维度x的末端,类别B在中间,然后类别A又出现在特征维度x前端的情况)。它的缺点之一就是不支持在线学习,于是在新样本到来后,决策树需要全部重建。另一个缺点就是容易出现过拟合,但这也就是诸如随机森林RF(或提升树boosted tree)之类的集成方法的切入点。另外,随机森林经常是很多分类问题的赢家(通常比支持向量机好上那么一丁点),它训练快速并且可调,同时你无须担心要像支持向量机那样调一大堆参数,所以在以前都一直很受欢迎。
决策树中很重要的一点就是选择一个属性进行分枝,因此要注意一下信息增益的计算公式,并深入理解它。
信息熵的计算公式如下:

其中的n代表有n个分类类别(比如假设是2类问题,那么n=2)。分别计算这2类样本在总样本中出现的概率p1和p2,这样就可以计算出未选中属性分枝前的信息熵。
现在选中一个属性xixi用来进行分枝,此时分枝规则是:如果xi=vxi=v的话,将样本分到树的一个分支;如果不相等则进入另一个分支。很显然,分支中的样本很有可能包括2个类别,分别计算这2个分支的熵H1和H2,计算出分枝后的总信息熵H’ =p1H1+p2 H2,则此时的信息增益ΔH = H - H’。以信息增益为原则,把所有的属性都测试一边,选择一个使增益最大的属性作为本次分枝属性。
决策树自身的优点:
-
计算简单,易于理解,可解释性强;
-
比较适合处理有缺失属性的样本;
-
能够处理不相关的特征;
-
在相对短的时间内能够对大型数据源做出可行且效果良好的结果。
缺点
-
容易发生过拟合(随机森林可以很大程度上减少过拟合);
-
忽略了数据之间的相关性;
-
对于那些各类别样本数量不一致的数据,在决策树当中,信息增益的结果偏向于那些具有更多数值的特征(只要是使用了信息增益,都有这个缺点,如RF)。
5.1 Adaboosting
Adaboost是一种加和模型,每个模型都是基于上一次模型的错误率来建立的,过分关注分错的样本,而对正确分类的样本减少关注度,逐次迭代之后,可以得到一个相对较好的模型。是一种典型的boosting算法。下面是总结下它的优缺点。
优点
-
adaboost是一种有很高精度的分类器。
-
可以使用各种方法构建子分类器,Adaboost算法提供的是框架。
-
当使用简单分类器时,计算出的结果是可以理解的,并且弱分类器的构造极其简单。
-
简单,不用做特征筛选。
-
不容易发生overfitting。
-
关于随机森林和GBDT等组合算法,参考这篇文章:机器学习-组合算法总结
缺点:对outlier比较敏感
6.SVM支持向量机
高准确率,为避免过拟合提供了很好的理论保证,而且就算数据在原特征空间线性不可分,只要给个合适的核函数,它就能运行得很好。在动辄超高维的文本分类问题中特别受欢迎。可惜内存消耗大,难以解释,运行和调参也有些烦人,而随机森林却刚好避开了这些缺点,比较实用。
优点
-
可以解决高维问题,即大型特征空间;
-
能够处理非线性特征的相互作用;
-
无需依赖整个数据;
-
可以提高泛化能力;
缺点
-
当观测样本很多时,效率并不是很高;
-
对非线性问题没有通用解决方案,有时候很难找到一个合适的核函数;
-
对缺失数据敏感;
对于核的选择也是有技巧的(libsvm中自带了四种核函数:线性核、多项式核、RBF以及sigmoid核):
-
第一,如果样本数量小于特征数,那么就没必要选择非线性核,简单的使用线性核就可以了;
-
第二,如果样本数量大于特征数目,这时可以使用非线性核,将样本映射到更高维度,一般可以得到更好的结果;
-
第三,如果样本数目和特征数目相等,该情况可以使用非线性核,原理和第二种一样。
对于第一种情况,也可以先对数据进行降维,然后使用非线性核,这也是一种方法。
7. 人工神经网络的优缺点
人工神经网络的优点:
-
分类的准确度高;
-
并行分布处理能力强,分布存储及学习能力强,
-
对噪声神经有较强的鲁棒性和容错能力,能充分逼近复杂的非线性关系;
-
具备联想记忆的功能。
人工神经网络的缺点:
-
神经网络需要大量的参数,如网络拓扑结构、权值和阈值的初始值;
-
不能观察之间的学习过程,输出结果难以解释,会影响到结果的可信度和可接受程度;
-
学习时间过长,甚至可能达不到学习的目的。
8、K-Means聚类
之前写过一篇关于K-Means聚类的文章,博文链接:机器学习算法-K-means聚类。关于K-Means的推导,里面有着很强大的EM思想。
优点
-
算法简单,容易实现 ;
-
对处理大数据集,该算法是相对可伸缩的和高效率的,因为它的复杂度大约是O(nkt),其中n是所有对象的数目,k是簇的数目,t是迭代的次数。通常k<<n。这个算法通常局部收敛。
-
算法尝试找出使平方误差函数值最小的k个划分。当簇是密集的、球状或团状的,且簇与簇之间区别明显时,聚类效果较好。
缺点
-
对数据类型要求较高,适合数值型数据;
-
可能收敛到局部最小值,在大规模数据上收敛较慢
-
K值比较难以选取;
-
对初值的簇心值敏感,对于不同的初始值,可能会导致不同的聚类结果;
-
不适合于发现非凸面形状的簇,或者大小差别很大的簇。
-
对于”噪声”和孤立点数据敏感,少量的该类数据能够对平均值产生极大影响。
算法选择参考
之前翻译过一些国外的文章,有一篇文章中给出了一个简单的算法选择技巧:
1. 首当其冲应该选择的就是逻辑回归,如果它的效果不怎么样,那么可以将它的结果作为基准来参考,在基础上与其他算法进行比较;
2. 然后试试决策树(随机森林)看看是否可以大幅度提升你的模型性能。即便最后你并没有把它当做为最终模型,你也可以使用随机森林来移除噪声变量,做特征选择;
3. 如果特征的数量和观测样本特别多,那么当资源和时间充足时(这个前提很重要),使用SVM不失为一种选择。
通常情况下:【GBDT>=SVM>=RF>=Adaboost>=Other…】,现在深度学习很热门,很多领域都用到,它是以神经网络为基础的,目前我自己也在学习,只是理论知识不是很厚实,理解的不够深,这里就不做介绍了。
算法固然重要,但好的数据却要优于好的算法,设计优良特征是大有裨益的。假如你有一个超大数据集,那么无论你使用哪种算法可能对分类性能都没太大影响(此时就可以根据速度和易用性来进行抉择)。
雷锋网版权文章,未经授权禁止转载。详情见转载须知。