今天的内容有:
- LSTM 思路
- LSTM 的前向计算
- LSTM 的反向传播
- 关于调参
LSTM
长短时记忆网络(Long Short Term Memory Network, LSTM),是一种改进之后的循环神经网络,可以解决RNN无法处理长距离的依赖的问题,目前比较流行。
长短时记忆网络的思路:
原始 RNN 的隐藏层只有一个状态,即h,它对于短期的输入非常敏感。
再增加一个状态,即c,让它来保存长期的状态,称为单元状态(cell state)。

把上图按照时间维度展开:

在 t 时刻,LSTM 的输入有三个:当前时刻网络的输入值 x_t、上一时刻 LSTM 的输出值 h_t-1、以及上一时刻的单元状态 c_t-1;
LSTM 的输出有两个:当前时刻 LSTM 输出值 h_t、和当前时刻的单元状态 c_t.
关键问题是:怎样控制长期状态 c ?
方法是:使用三个控制开关

第一个开关,负责控制继续保存长期状态c;
第二个开关,负责控制把即时状态输入到长期状态c;
第三个开关,负责控制是否把长期状态c作为当前的LSTM的输出。
如何在算法中实现这三个开关?
方法:用 门(gate)
定义:gate 实际上就是一层全连接层,输入是一个向量,输出是一个 0到1 之间的实数向量。
公式为:

回忆一下它的样子:

gate 如何进行控制?
方法:用门的输出向量按元素乘以我们需要控制的那个向量
原理:门的输出是 0到1 之间的实数向量,
当门输出为 0 时,任何向量与之相乘都会得到 0 向量,这就相当于什么都不能通过;
输出为 1 时,任何向量与之相乘都不会有任何改变,这就相当于什么都可以通过。
LSTM 前向计算
在 LSTM-1 中提到了,模型是通过使用三个控制开关来控制长期状态 c 的:

这些开关就是用门(gate)来实现:

接下来具体看这三重门
LSTM 的前向计算:
一共有 6 个公式
遗忘门(forget gate)
它决定了上一时刻的单元状态 c_t-1 有多少保留到当前时刻 c_t
输入门(input gate)
它决定了当前时刻网络的输入 x_t 有多少保存到单元状态 c_t
输出门(output gate)
控制单元状态 c_t 有多少输出到 LSTM 的当前输出值 h_t
遗忘门的计算为:

遗忘门的计算公式中:W_f 是遗忘门的权重矩阵,[h_t-1, x_t] 表示把两个向量连接成一个更长的向量,b_f 是遗忘门的偏置项,σ 是 sigmoid 函数。
输入门的计算:

根据上一次的输出和本次输入来计算当前输入的单元状态:

当前时刻的单元状态 c_t 的计算:由上一次的单元状态 c_t-1 按元素乘以遗忘门 f_t,再用当前输入的单元状态 c_t 按元素乘以输入门 i_t,再将两个积加和:
这样,就可以把当前的记忆 c_t 和长期的记忆 c_t-1 组合在一起,形成了新的单元状态 c_t。
由于遗忘门的控制,它可以保存很久很久之前的信息,由于输入门的控制,它又可以避免当前无关紧要的内容进入记忆。

输出门的计算:

LSTM 的反向传播训练算法
主要有三步:
1. 前向计算每个神经元的输出值,一共有 5 个变量,计算方法就是前一部分:

2. 反向计算每个神经元的误差项值。与 RNN 一样,LSTM 误差项的反向传播也是包括两个方向:
一个是沿时间的反向传播,即从当前 t 时刻开始,计算每个时刻的误差项;
一个是将误差项向上一层传播。
3. 根据相应的误差项,计算每个权重的梯度。
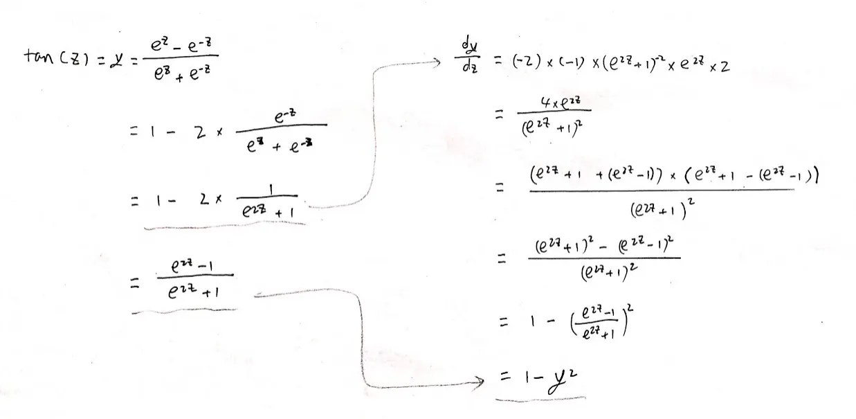
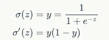
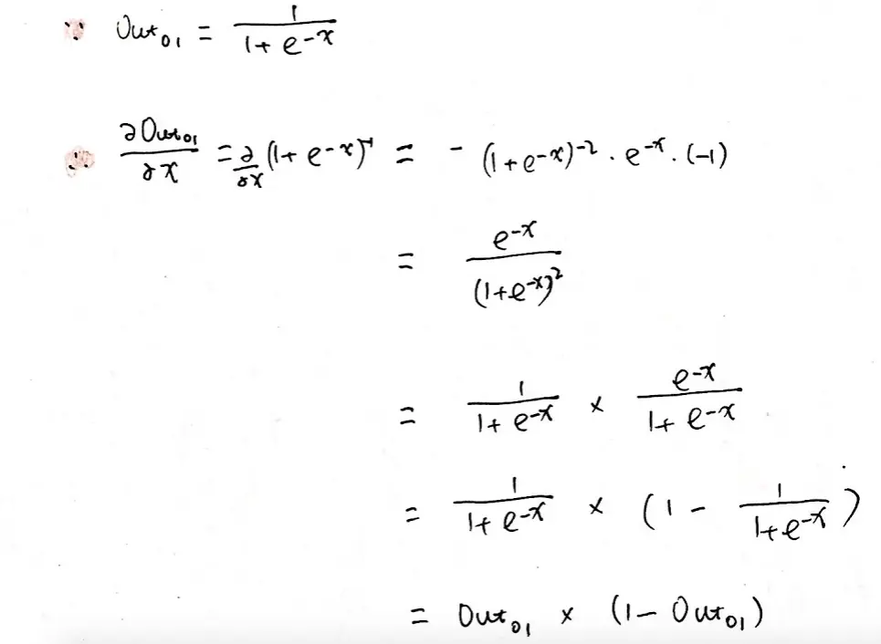
gate 的激活函数定义为 sigmoid 函数,输出的激活函数为 tanh 函数,导数分别为:

具体推导公式为:


具体推导公式为:

目标是要学习 8 组参数,如下图所示:

又权重矩阵 W 都是由两个矩阵拼接而成,这两部分在反向传播中使用不同的公式,因此在后续的推导中,权重矩阵也要被写为分开的两个矩阵。
接着就来求两个方向的误差,和一个梯度计算。
这个公式推导过程在本文的学习资料中有比较详细的介绍,大家可以去看原文:
zybuluo.com/hanbingtao/…
1. 误差项沿时间的反向传递:
定义 t 时刻的误差项:

目的是要计算出 t-1 时刻的误差项:

利用 h_t c_t 的定义,和全导数公式,可以得到 将误差项向前传递到任意k时刻的公式:

2. 将误差项传递到上一层的公式:

3. 权重梯度的计算:

以上就是 LSTM 的训练算法的全部公式。
关于它的 Tuning 有下面几个建议:

来自 LSTM Hyperparameter Tuning:
deeplearning4j.org/lstm
还有一个用 LSTM 做 text_generation 的例子
推荐阅读 历史技术博文链接汇总
www.jianshu.com/p/28f02bb59…
也许可以找到你想要的