以下内容来源于一次部门内部的分享,主要针对AI初学者,介绍包括CNN、Deep Q Network以及TensorFlow平台等内容。由于笔者并非深度学习算法研究者,因此以下更多从应用的角度对整个系统进行介绍,而不会进行详细的公式推导。
关于Flappy Bird
Flappy Bird(非官方译名:笨鸟先飞)是一款2013年鸟飞类游戏,由越南河内独立游戏开发者阮哈东(Dong Nguyen)开发,另一个独立游戏开发商GEARS Studios发布。—— 以上内来自《维基百科》
Flappy Bird操作简单,通过点击手机屏幕使Bird上升,穿过柱状障碍物之后得分,碰到则游戏结束。由于障碍物高低不等,控制Bird上升和下降需要反应快并且灵活,要得到较高的分数并不容易,笔者目前最多得过10分。
本文主要介绍如何通过AI(人工智能)的方式玩Flappy Bird游戏,分为以下四个部分内容:
- Flappy Bird 游戏展示
- 模型:卷积神经网络
- 算法:Deep Q Network
- 代码:TensorFlow实现
一、Flappy Bird 游戏展示
在介绍模型、算法前先来直接看下效果,上图是刚开始训练的时候,画面中的小鸟就像无头苍蝇一样乱飞,下图展示的是在本机(后面会给出配置)训练超过10小时后(训练步数超过2000000)的情况,其最好成绩已经超过200分,人类玩家已基本不可能超越。


由于本机配置了CUDA以及cuDNN,采用了NVIDIA的显卡进行并行计算,所以这里提前贴一下运行时的日志输出。
关于CUDA以及cuDNN的配置,其中有一些坑包括:安装CUDA之后循环登录,屏幕分辨率无法正常调节等等,都是由于NVIDIA驱动安装的问题,这不是本文要讨论的主要内容,读者可自行Google。
- 加载CUDA运算库

- TensorFlow运行设备 /gpu:0

/gpu:0 这是TensorFlow平台默认的配置方法,表示使用系统中的第一块显卡。
本机软硬件配置:
系统:Ubuntu 16.04
显卡:NVIDIA GeForce GTX 745 4G
版本:TensorFlow 1.0
软件包:OpenCV 3.2.0、Pygame、Numpy、…细心的朋友可能发现,笔者的显卡配置并不高,GeForce GTX 745,显存3.94G,可用3.77G(桌面占用了一部分),属于入门中的入门。对于专业做深度学习算法的朋友,这个显卡必然是不够的。知乎上有帖子教大家怎么配置更专业的显卡,有兴趣的可以移步。
二、模型:卷积神经网络
神经网络算法是由众多的神经元可调的连接权值连接而成,具有大规模并行处理、分布式信息存储、良好的自组织自学习能力等特点。人工神经元与生物神经元结构类似,其结构对比如下图所示。


人工神经元的输入(x1,x2...xm)类似于生物神经元的树突,输入经过不同的权值(wk1, wk2, ....wkn),加上偏置,经过激活函数得到输出,最后将输出传输到下一层神经元进行处理。

激活函数为整个网络引入了非线性特性,这也是神经网络相比于回归等算法拟合能力更强的原因。常用的激活函数包括sigmoid、tanh等,它们的函数表达式如下:


这里可以看出,sigmoid函数的值域是(0,1),tanh函数的值域是(-1,1)。
卷积神经网络起源于动物的视觉系统,主要包含的技术是:
- 局部感知域(稀疏连接);
- 参数共享;
- 多卷积核;
- 池化。
- 1. 局部感知域(稀疏连接)
全连接网络的问题在于:
- 需要训练的参数过多,容器导致结果不收敛(梯度消失),且训练难度极大;
- 实际上对于某个局部的神经元来讲,它更加敏感的是小范围内的输入,换句话说,对于较远的输入,其相关性很低,权值也就非常小。
人类的视觉系统决定了人在观察外界的时候,总是从局部到全局。
比如,我们看到一个美女,可能最先观察到的是美女身上的某些部位(自己体会)。
因此,卷积神经网络与人类的视觉类似,采用局部感知,低层的神经元只负责感知局部的信息,在向后传输的过程中,高层的神经元将局部信息综合起来得到全局信息。

从上图中可以看出,采用局部连接之后,可以大大的降低训练参数的量级。
- 2. 参数共享
虽然通过局部感知降低了训练参数的量级,但整个网络需要训练的参数依然很多。
参数共享就是将多个具有相同统计特征的参数设置为相同,其依据是图像中一部分的统计特征与其它部分是一样的。其实现是通过对图像进行卷积(卷积神经网络命名的来源)。
可以理解为,比如从一张图像中的某个局部(卷积核大小)提取了某种特征,然后以这种特征为探测器,应用到整个图像中,对整个图像顺序进行卷积,得到不同的特征。

每个卷积都是一种特征提取方式,就像一个筛子,将图像中符合条件(激活值越大越符合条件)的部分筛选出来,通过这种卷积就进一步降低训练参数的量级。
- 3. 多卷积核
如上,每个卷积都是一种特征提取方式,那么对于整幅图像来讲,单个卷积核提取的特征肯定是不够的,那么对同一幅图像使用多种卷积核进行特征提取,就能得到多幅特征图(feature map)。

多幅特征图可以看成是同一张图像的不同通道,这个概念在后面代码实现的时候用得上。
- 4. 池化
得到特征图之后,可以使用提取到的特征去训练分类器,但依然会面临特征维度过多,难以计算,并且可能过拟合的问题。从图像识别的角度来讲,图像可能存在偏移、旋转等,但图像的主体却相同的情况。也就是不同的特征向量可能对应着相同的结果,那么池化就是解决这个问题的。

池化就是将池化核范围内(比如2*2范围)的训练参数采用平均值(平均值池化)或最大值(最大值池化)来进行替代。
终于到了展示模型的时候,下面这幅图是笔者手画的(用电脑画太费时,将就看吧),这幅图展示了本文中用于训练游戏所用的卷积神经网络模型。


- 初始输入四幅图像80×80×4(4代表输入通道,初始时四幅图像是完全一致的),经过卷积核8×8×4×32(输入通道4,输出通道32),步距为4(每步卷积走4个像素点),得到32幅特征图(feature map),大小为20×20;
- 将20×20的图像进行池化,池化核为2×2,得到图像大小为10×10;
- 再次卷积,卷积核为4×4×32×64,步距为2,得到图像5×5×64;
- 再次卷积,卷积核为3×3×64*64,步距为2,得到图像5×5×64,虽然与上一步得到的图像规模一致,但再次卷积之后的图像信息更为抽象,也更接近全局信息;
- Reshape,即将多维特征图转换为特征向量,得到1600维的特征向量;
- 经过全连接1600×512,得到512维特征向量;
- 再次全连接512×2,得到最终的2维向量[0,1]和[1,0],分别代表游戏屏幕上的是否点击事件。
可以看出,该模型实现了端到端的学习,输入的是游戏屏幕的截图信息(代码中经过opencv处理),输出的是游戏的动作,即是否点击屏幕。深度学习的强大在于其数据拟合能力,不需要传统机器学习中复杂的特征提取过程,而是依靠模型发现数据内部的关系。
不过这也带来另一方面的问题,那就是深度学习高度依赖大量的标签数据,而这些数据获取成本极高。
三、算法:Deep Q Network
有了卷积神经网络模型,那么怎样训练模型?使得模型收敛,从而能够指导游戏动作呢?机器学习分为监督学习、非监督学习和强化学习,这里要介绍的Q Network属于强化学习(Reinforcement Learning)的范畴。在正式介绍Q Network之前,先简单说下它的光荣历史。
2014年Google 4亿美金收购DeepMind的桥段,大家可能听说过。那么,DeepMind是如何被Google给盯上的呢?最终原因可以归咎为这篇论文:
DeepMind团队通过强化学习,完成了20多种游戏,实现了端到端的学习。其用到的算法就是Q Network。2015年,DeepMind团队在《Nature》上发表了一篇升级版:
自此,在这类游戏领域,人已经无法超过机器了。后来又有了AlphaGo,以及Master,当然,这都是后话了。其实本文也属于上述论文的范畴,只不过基于TensorFlow平台进行了实现,加入了一些笔者自己的理解而已。
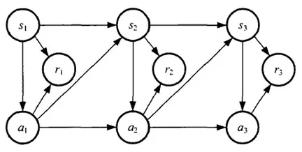
回到正题,Q Network属于强化学习,那么先介绍下强化学习。

这张图是从UCL的课程中拷出来的,课程链接地址(YouTube):
www.youtube.com/watch?v=2pW…
强化学习过程有两个组成部分:
- 智能代理(学习系统)
- 环境
如图所示,在每步迭代过程中,首先智能代理(学习系统)接收环境的状态st,然后产生动作at作用于环境,环境接收动作at,并且对其进行评价,反馈给智能代理rt。不断的循环这个过程,就会产生一个状态/动作/反馈的序列:(s1, a1, r1, s2, a2, r2.....,sn, an, rn),而这个序列让我们很自然的想起了:
- 马尔科夫决策过程

马尔科夫决策过程与著名的HMM(隐马尔科夫模型)相同的是,它们都具有马尔科夫特性。那么什么是马尔科夫特性呢?简单来说,就是未来的状态只取决于当前的状态,与过去的状态无关。
HMM(马尔科夫模型)在语音识别,行为识别等机器学习领域有较为广泛的应用。条件随机场模型(Conditional Random Field)则用于自然语言处理。两大模型是语音识别、自然语言处理领域的基石。
上图可以用一个很形象的例子来说明。比如你毕业进入了一个公司,你的初始职级是T1(对应图中的 s1),你在工作上刻苦努力,追求上进(对应图中的a1),然后领导觉得你不错,准备给你升职(对应图中的r1),于是,你升到了T2;你继续刻苦努力,追求上进......不断的努力,不断的升职,最后升到了sn。当然,你也有可能不努力上进,这也是一种动作,换句话说,该动作a也属于动作集合A,然后得到的反馈r就是没有升职加薪的机会。
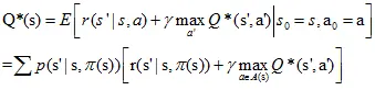
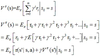
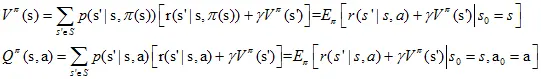
这里注意下,我们当然希望获取最多的升职,那么问题转换为:如何根据当前状态s(s属于状态集S),从A中选取动作a执行于环境,从而获取最多的r,即r1 + r2 ……+rn的和最大 ?这里必须要引入一个数学公式:状态值函数。

公式中有个折合因子γ,其取值范围为[0,1],当其为0时,表示只考虑当前动作对当前的影响,不考虑对后续步骤的影响,当其为1时,表示当前动作对后续每步都有均等的影响。当然,实际情况通常是当前动作对后续得分有一定的影响,但随着步数增加,其影响减小。
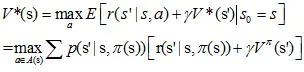
从公式中可以看出,状态值函数可以通过迭代的方式来求解。增强学习的目的就是求解马尔可夫决策过程(MDP)的最优策略。
策略就是如何根据环境选取动作来执行的依据。策略分为稳定的策略和不稳定的策略,稳定的策略在相同的环境下,总是会给出相同的动作,不稳定的策略则反之,这里我们主要讨论稳定的策略。
求解上述状态函数需要采用动态规划的方法,而具体到公式,不得不提:
- 贝尔曼方程

其中,π代表上述提到的策略,Q π (s, a)相比于V π (s),引入了动作,被称作动作值函数。对贝尔曼方程求最优解,就得到了贝尔曼最优性方程。


求解该方程有两种方法:策略迭代和值迭代。
- 策略迭代
策略迭代分为两个步骤:策略评估和策略改进,即首先评估策略,得到状态值函数,其次,改进策略,如果新的策略比之前好,就替代老的策略。

- 值迭代
从上面我们可以看到,策略迭代算法包含了一个策略估计的过程,而策略估计则需要扫描(sweep)所有的状态若干次,其中巨大的计算量直接影响了策略迭代算法的效率。而值迭代每次只扫描一次,更新过程如下:

即在值迭代的第k+1次迭代时,直接将能获得的最大的Vπ(s)值赋给Vk+1。
- Q-Learning
Q-Learning是根据值迭代的思路来进行学习的。该算法中,Q值更新的方法如下:

虽然根据值迭代计算出目标Q值,但是这里并没有直接将这个Q值(是估计值)直接赋予新的Q,而是采用渐进的方式类似梯度下降,朝目标迈近一小步,取决于α,这就能够减少估计误差造成的影响。类似随机梯度下降,最后可以收敛到最优的Q值。具体算法如下:

如果没有接触过动态规划的童鞋看上述公式可能有点头大,下面通过表格来演示下Q值更新的过程,大家就明白了。
| 状态 | a1 | a2 | a3 | a4 |
|---|---|---|---|---|
| s1 | Q(1, 1) | Q(1, 2) | Q(1, 3) | Q(1, 4) |
| s2 | Q(2, 1) | Q(2, 2) | Q(2, 3) | Q(2, 4) |
| s3 | Q(3, 1) | Q(3, 2) | Q(3, 3) | Q(3, 4) |
| s4 | Q(4, 1) | Q(4, 2) | Q(4, 3) | Q(4, 4) |
Q-Learning算法的过程就是存储Q值的过程。上表中,横列为状态s,纵列为Action a,s和a决定了表中的Q值。
- 第一步:初始化,将表中的Q值全部置0;
- 第二步:根据策略及状态s,选择a执行。假定当前状态为s1,由于初始值都为0,所以任意选取a执行,假定这里选取了a2执行,得到了reward为1,并且进入了状态s3。根据Q值更新公式:

来更新Q值,这里我们假设α是1,λ也等于1,也就是每一次都把目标Q值赋给Q。那么这里公式变成:

所以在这里,就是

那么对应的s3状态,最大值是0,所以

Q表格就变成:
| 状态 | a1 | a2 | a3 | a4 |
|---|---|---|---|---|
| s1 | 0 | 1 | 0 | 0 |
| s2 | 0 | 0 | 0 | 0 |
| s3 | 0 | 0 | 0 | 0 |
| s4 | 0 | 0 | 0 | 0 |
然后置位当前状态s为s3。
- 第三步:继续循环操作,进入下一次动作,当前状态是s3,假设选择动作a3,然后得到reward为2,状态变成s1,那么我们同样进行更新:

所以Q的表格就变成:
| 状态 | a1 | a2 | a3 | a4 |
|---|---|---|---|---|
| s1 | 0 | 1 | 0 | 0 |
| s2 | 0 | 0 | 0 | 0 |
| s3 | 0 | 0 | 3 | 0 |
| s4 | 0 | 0 | 0 | 0 |
- 第四步: 继续循环,Q值在试验的同时反复更新,直到收敛。
上述表格演示了具有4种状态/4种行为的系统,然而在实际应用中,以本文讲到的Flappy Bird游戏为例,界面为80*80个像素点,每个像素点的色值有256种可能。那么实际的状态总数为256的80*80次方,这是一个很大的数字,直接导致无法通过表格的思路进行计算。
因此,为了实现降维,这里引入了一个价值函数近似的方法,通过一个函数表近似表达价值函数:

其中,ω 与 b 分别为参数。看到这里,终于可以联系到前面提到的神经网络了,上面的表达式不就是神经元的函数吗?
- Q-network
下面这张图来自论文《Human-level Control through Deep Reinforcement Learning》,其中详细介绍了上述将Q值神经网络化的过程。(感兴趣的可以点之前的链接了解原文~)

以本文为例,输入是经过处理的4个连续的80x80图像,然后经过三个卷积层,一个池化层,两个全连接层,最后输出包含每一个动作Q值的向量。
现在已经将Q-learning神经网络化为Q-network了,接下来的问题是如何训练这个神经网络。神经网络训练的过程其实就是一个最优化方程求解的过程,定义系统的损失函数,然后让损失函数最小化的过程。
训练过程依赖于上述提到的DQN算法,以目标Q值作为标签,因此,损失函数可以定义为:

上面公式是s',a'即下一个状态和动作。确定了损失函数,确定了获取样本的方式,DQN的整个算法也就成型了!

值得注意的是这里的D—Experience Replay,也就是经验池,就是如何存储样本及采样的问题。
由于玩Flappy Bird游戏,采集的样本是一个时间序列,样本之间具有连续性,如果每次得到样本就更新Q值,受样本分布影响,效果会不好。因此,一个很直接的想法就是把样本先存起来,然后随机采样如何?这就是Experience Replay的思想。
算法实现上,先反复实验,并且将实验数据存储在D中;存储到一定程度,就从中随机抽取数据,对损失函数进行梯度下降。
四、代码:TensorFlow实现
终于到了看代码的时候。首先申明下,当笔者从Deep Mind的论文入手,试图用TensorFlow实现对Flappy Bird游戏进行实现时,发现github已有大神完成demo。思路相同,所以直接以公开代码为例进行分析说明了。
如有源码需要,请移步github:Using Deep Q-Network to Learn How To Play Flappy Bird。
代码从结构上来讲,主要分为以下几部分:
- GameState游戏类,frame_step方法控制移动
- CNN模型构建
- OpenCV-Python图像预处理方法
- 模型训练过程
1. GameState游戏类及frame_step方法
通过Python实现游戏必然要用pygame库,其包含时钟、基本的显示控制、各种游戏控件、触发事件等,对此有兴趣的,可以详细了解pygame。frame_step方法的入参为shape为 (2,) 的ndarray,值域: [1,0]:什么都不做; [0,1]:提升Bird。来看下代码实现:
if input_actions[1] == 1:
if self.playery > -2 * PLAYER_HEIGHT:
self.playerVelY = self.playerFlapAcc
self.playerFlapped = True
# SOUNDS['wing'].play()
后续操作包括检查得分、设置界面、检查是否碰撞等,这里不再详细展开。
frame_step方法的返回值是:
return image_data, reward, terminal
分别表示界面图像数据,得分以及是否结束游戏。对应前面强化学习模型,界面图像数据表示环境状态 s,得分表示环境给予学习系统的反馈 r。
2. CNN模型构建
该Demo中包含三个卷积层,一个池化层,两个全连接层,最后输出包含每一个动作Q值的向量。因此,首先定义权重、偏置、卷积和池化函数:
# 权重
def weight_variable(shape):
initial = tf.truncated_normal(shape, stddev=0.01)
return tf.Variable(initial)
# 偏置
def bias_variable(shape):
initial = tf.constant(0.01, shape=shape)
return tf.Variable(initial)
# 卷积
def conv2d(x, W, stride):
return tf.nn.conv2d(x, W, strides=[1, stride, stride, 1], padding="SAME")
# 池化
def max_pool_2x2(x):
return tf.nn.max_pool(x, ksize=[1, 2, 2, 1], strides=[1, 2, 2, 1], padding="SAME")
然后,通过上述函数构建卷积神经网络模型(对代码中参数不解的,可直接往前翻,看上面那张手画的图)。
def createNetwork():
# 第一层卷积
W_conv1 = weight_variable([8, 8, 4, 32])
b_conv1 = bias_variable([32])
# 第二层卷积
W_conv2 = weight_variable([4, 4, 32, 64])
b_conv2 = bias_variable([64])
# 第三层卷积
W_conv3 = weight_variable([3, 3, 64, 64])
b_conv3 = bias_variable([64])
# 第一层全连接
W_fc1 = weight_variable([1600, 512])
b_fc1 = bias_variable([512])
# 第二层全连接
W_fc2 = weight_variable([512, ACTIONS])
b_fc2 = bias_variable([ACTIONS])
# 输入层
s = tf.placeholder("float", [None, 80, 80, 4])
# 第一层隐藏层+池化层
h_conv1 = tf.nn.relu(conv2d(s, W_conv1, 4) + b_conv1)
h_pool1 = max_pool_2x2(h_conv1)
# 第二层隐藏层(这里只用了一层池化层)
h_conv2 = tf.nn.relu(conv2d(h_pool1, W_conv2, 2) + b_conv2)
# h_pool2 = max_pool_2x2(h_conv2)
# 第三层隐藏层
h_conv3 = tf.nn.relu(conv2d(h_conv2, W_conv3, 1) + b_conv3)
# h_pool3 = max_pool_2x2(h_conv3)
# Reshape
# h_pool3_flat = tf.reshape(h_pool3, [-1, 256])
h_conv3_flat = tf.reshape(h_conv3, [-1, 1600])
# 全连接层
h_fc1 = tf.nn.relu(tf.matmul(h_conv3_flat, W_fc1) + b_fc1)
# 输出层
# readout layer
readout = tf.matmul(h_fc1, W_fc2) + b_fc2
return s, readout, h_fc1
3. OpenCV-Python图像预处理方法
在Ubuntu中安装opencv的步骤比较麻烦,当时也踩了不少坑,各种Google解决。建议安装opencv3。
这部分主要对frame_step方法返回的数据进行了灰度化和二值化,也就是最基本的图像预处理方法。
x_t, r_0, terminal = game_state.frame_step(do_nothing)
# 首先将图像转换为80*80,然后进行灰度化
x_t = cv2.cvtColor(cv2.resize(x_t, (80, 80)), cv2.COLOR_BGR2GRAY)
# 对灰度图像二值化
ret, x_t = cv2.threshold(x_t, 1, 255, cv2.THRESH_BINARY)
# 四通道输入图像
s_t = np.stack((x_t, x_t, x_t, x_t), axis=2)
4. DQN训练过程
这是代码部分要讲的重点,也是上述Q-learning算法的代码化。
i. 在进入训练之前,首先创建一些变量:
# define the cost function
a = tf.placeholder("float", [None, ACTIONS])
y = tf.placeholder("float", [None])
readout_action = tf.reduce_sum(tf.multiply(readout, a), axis=1)
cost = tf.reduce_mean(tf.square(y - readout_action))
train_step = tf.train.AdamOptimizer(1e-6).minimize(cost)
# open up a game state to communicate with emulator
game_state = game.GameState()
# store the previous observations in replay memory
D = deque()
在TensorFlow中,通常有三种读取数据的方式:Feeding、Reading from files和Preloaded data。Feeding是最常用也最有效的方法。即在模型(Graph)构建之前,先使用placeholder进行占位,但此时并没有训练数据,训练是通过feed_dict传入数据。
这里的a表示输出的动作,即强化学习模型中的Action,y表示标签值,readout_action表示模型输出与a相乘后,在一维求和,损失函数对标签值与输出值的差进行平方,train_step表示对损失函数进行Adam优化。
赋值的过程为:
# perform gradient step
train_step.run(feed_dict={
y: y_batch,
a: a_batch,
s: s_j_batch}
)
ii. 创建游戏及经验池 D
# open up a game state to communicate with emulator
game_state = game.GameState()
# store the previous observations in replay memory
D = deque()
经验池 D采用了队列的数据结构,是TensorFlow中最基础的数据结构,可以通过dequeue()和enqueue([y])方法进行取出和压入数据。经验池 D用来存储实验过程中的数据,后面的训练过程会从中随机取出一定量的batch进行训练。
变量创建完成之后,需要调用TensorFlow系统方法tf.global_variables_initializer()添加一个操作实现变量初始化。运行时机是在模型构建完成,Session建立之初。比如:
# Create two variables.
weights = tf.Variable(tf.random_normal([784, 200], stddev=0.35),
name="weights")
biases = tf.Variable(tf.zeros([200]), name="biases")
...
# Add an op to initialize the variables.
init_op = tf.global_variables_initializer()
# Later, when launching the model
with tf.Session() as sess:
# Run the init operation.
sess.run(init_op)
...
# Use the model
...
iii. 参数保存及加载
采用TensorFlow训练模型,需要将训练得到的参数进行保存,不然一关机,就一夜回到解放前了。TensorFlow采用Saver来保存。一般在Session()建立之前,通过tf.train.Saver()获取Saver实例。
saver = tf.train.Saver()
变量的恢复使用saver的restore方法:
# Create some variables.
v1 = tf.Variable(..., name="v1")
v2 = tf.Variable(..., name="v2")
...
# Add ops to save and restore all the variables.
saver = tf.train.Saver()
# Later, launch the model, use the saver to restore variables from disk, and
# do some work with the model.
with tf.Session() as sess:
# Restore variables from disk.
saver.restore(sess, "/tmp/model.ckpt")
print("Model restored.")
# Do some work with the model
...
在该Demo训练时,也采用了Saver进行参数保存。
# saving and loading networks
saver = tf.train.Saver()
checkpoint = tf.train.get_checkpoint_state("saved_networks")
if checkpoint and checkpoint.model_checkpoint_path:
saver.restore(sess, checkpoint.model_checkpoint_path)
print("Successfully loaded:", checkpoint.model_checkpoint_path)
else:
print("Could not find old network weights")
首先加载CheckPointState文件,然后采用saver.restore对已存在参数进行恢复。
在该Demo中,每隔10000步,就对参数进行保存:
# save progress every 10000 iterations
if t % 10000 == 0:
saver.save(sess, 'saved_networks/' + GAME + '-dqn', global_step=t)
iv. 实验及样本存储
首先,根据ε 概率选择一个Action。
# choose an action epsilon greedily
readout_t = readout.eval(feed_dict={s: [s_t]})[0]
a_t = np.zeros([ACTIONS])
action_index = 0
if t % FRAME_PER_ACTION == 0:
if random.random() <= epsilon:
print("----------Random Action----------")
action_index = random.randrange(ACTIONS)
a_t[random.randrange(ACTIONS)] = 1
else:
action_index = np.argmax(readout_t)
a_t[action_index] = 1
else:
a_t[0] = 1 # do nothing
这里,readout_t是训练数据为之前提到的四通道图像的模型输出。a_t是根据ε 概率选择的Action。
其次,执行选择的动作,并保存返回的状态、得分。
# run the selected action and observe next state and reward
x_t1_colored, r_t, terminal = game_state.frame_step(a_t)
x_t1 = cv2.cvtColor(cv2.resize(x_t1_colored, (80, 80)), cv2.COLOR_BGR2GRAY)
ret, x_t1 = cv2.threshold(x_t1, 1, 255, cv2.THRESH_BINARY)
x_t1 = np.reshape(x_t1, (80, 80, 1))
# s_t1 = np.append(x_t1, s_t[:,:,1:], axis = 2)
s_t1 = np.append(x_t1, s_t[:, :, :3], axis=2)
# store the transition in D
D.append((s_t, a_t, r_t, s_t1, terminal))
经验池D保存的是一个马尔科夫序列。(s_t, a_t, r_t, s_t1, terminal)分别表示t时的状态s_t,执行的动作a_t,得到的反馈r_t,以及得到的下一步的状态s_t1和游戏是否结束的标志terminal。
在下一训练过程中,更新当前状态及步数:
# update the old values
s_t = s_t1
t += 1
重复上述过程,实现反复实验及样本存储。
v. 通过梯度下降进行模型训练
在实验一段时间后,经验池D中已经保存了一些样本数据后,就可以从这些样本数据中随机抽样,进行模型训练了。这里设置样本数为OBSERVE = 100000.。随机抽样的样本数为BATCH = 32。
if t > OBSERVE:
# sample a minibatch to train on
minibatch = random.sample(D, BATCH)
# get the batch variables
s_j_batch = [d[0] for d in minibatch]
a_batch = [d[1] for d in minibatch]
r_batch = [d[2] for d in minibatch]
s_j1_batch = [d[3] for d in minibatch]
y_batch = []
readout_j1_batch = readout.eval(feed_dict={s: s_j1_batch})
for i in range(0, len(minibatch)):
terminal = minibatch[i][4]
# if terminal, only equals reward
if terminal:
y_batch.append(r_batch[i])
else:
y_batch.append(r_batch[i] + GAMMA * np.max(readout_j1_batch[i]))
# perform gradient step
train_step.run(feed_dict={
y: y_batch,
a: a_batch,
s: s_j_batch}
)
s_j_batch、a_batch、r_batch、s_j1_batch是从经验池D中提取到的马尔科夫序列(Java童鞋羡慕Python的列表推导式啊),y_batch为标签值,若游戏结束,则不存在下一步中状态对应的Q值(回忆Q值更新过程),直接添加r_batch,若未结束,则用折合因子(0.99)和下一步中状态的最大Q值的乘积,添加至y_batch。
最后,执行梯度下降训练,train_step的入参是s_j_batch、a_batch和y_batch。差不多经过2000000步(在本机上大概10个小时)训练之后,就能达到本文开头动图中的效果啦。
以上。