前提介绍:
为什么需要统计量?
统计量:描述数据特征
1. 集中趋势衡量
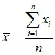
均值(平均数,平均值)(mean)
{6, 2, 9, 1, 2}
(6 + 2 + 9 + 1 + 2) / 5 = 20 / 5 = 4
中位数 (median):
将数据中的各个数值按照大小顺序排列,居于中间位置的变量
给数据排序:1, 2, 2, 6, 9
找出位置处于中间的变量:2
当n为基数的时候:直接取位置处于中间的变量
当n为偶数的时候,取中间两个量的平均值
众数 (mode):
数据中出现次数最多的数
离散程度衡量
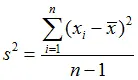
方差(variance)
{6, 2, 9, 1, 2}
(1) (6 - 4)^2 + (2 - 4) ^2 + (9 - 4)^2 + (1 - 4)^2 + (2 - 4)^2
= 4 + 4 + 25
+ 9 + 4
= 46
(2) n - 1 = 5 - 1 = 4
(3) 46 / 4 = 11.5
标准差 (standard deviation)

1. 介绍:回归(regression) Y变量为连续数值型(continuous numerical variable)
如:房价,人数,降雨量
分类(Classification): Y变量为类别型(categorical variable)
如:颜色类别,电脑品牌,有无信誉
2. 简单线性回归(Simple Linear Regression)
2.1 很多做决定过过程通常是根据两个或者多个变量之间的关系
2.3 回归分析(regression analysis)用来建立方程模拟两个或者多个变量之间如何关联
2.4 被预测的变量叫做:因变量(dependent variable), y, 输出(output)
2.5 被用来进行预测的变量叫做: 自变量(independent variable), x, 输入(input)
3. 简单线性回归介绍
3.1 简单线性回归包含一个自变量(x)和一个因变量(y)
3.2 以上两个变量的关系用一条直线来模拟
3.3 如果包含两个以上的自变量,则称作多元回归分析(multiple regression)
4. 简单线性回归模型
4.1 被用来描述因变量(y)和自变量(X)以及偏差(error)之间关系的方程叫做回归模型
4.2 简单线性回归的模型是:

5. 简单线性回归方程
E(y) = β0+β1x
这个方程对应的图像是一条直线,称作回归线
其中,β0是回归线的截距
β1是回归线的斜率
E(y)是在一个给定x值下y的期望值(均值)
6. 正向线性关系:

7. 负向线性关系:

8. 无关系

9. 估计的简单线性回归方程
ŷ=b0+b1x
这个方程叫做估计线性方程(estimated regression line)
其中,b0是估计线性方程的纵截距
b1是估计线性方程的斜率
ŷ是在自变量x等于一个给定值的时候,y的估计值
10. 线性回归分析流程:

11. 关于偏差ε的假定
11.1 是一个随机的变量,均值为0
11.2 ε的方差(variance)对于所有的自变量x是一样的
11.3 ε的值是独立的
11.4 ε满足正态分布
请参考下一章实现:
[机器学习]机器学习笔记整理12-线性回归概念理解