刚刚开始接触推荐方面模型时,在建模中总能看到“正则化项”、“正则化系数”这样的名词,一开始以为这是建模中的惯用的手法,但是随着看着文献增加,慢慢发现正则化开始变得多样而神秘,模型中到底要不要加正则化呢?到底该选哪种正则化项呢?
(“正则化项(regularizer)”又叫做“惩罚项(penalty term)”)
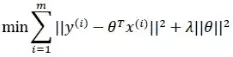
监督机器学习问题实际上就是在规则化参数的同时实现最小化误差,而最小化误差是为了让模型拟合训练数据,而规则化参数就是为了防止我们的模型过分拟合我们的训练数据。下面,我们来看一下拟合数据时的三种情况:

从左到右分别是欠拟合(underfitting,也称High-bias)、合适的拟合和过拟合(overfitting,也称High variance)三种情况。
以推荐问题中的贝叶斯评估问题为例,规则化项相当于贝叶斯模型的先验概率,可以是模型参数向量的范数。
上面的λ||θ||2便是正则化项,只不过这里用的是L2范数。正则化项可以是零范数、一范数、二范数、迹范数、Frobenius范数和核范数等。下面来具体看一下L0、L1、L2三种:
L0范数是指向量中非0的元素的个数。
L1范数是指向量中各个元素绝对值之和。
L2范数是指向量各元素的平方和然后求平方根。
L0和L1都是参数是稀疏的。L0范数来规则化一个参数矩阵的话,就是希望W的大部分元素都是0。但是,L0范数很难优化求解(NP难问题)。而L1范数是L0范数的最优凸近似,比L0范数要容易优化求解。所有,如果在研究建模时,如果隐特征中大多数与最终结果没多大关系的话,在训练模型时希望这些特征的权重尽可能为0的话,也就是想要使得整个矩阵变得稀疏的话,一般采取L1范数来正则化(不会采用L0范数使得每个特征权重都是非0的),这样就可以直观的判别出所有的特征中的重要特征。
L2范数在研究建模中是为了防止过拟合的,让L2范数的规则项||θ||2尽可能小,不断地进行权值衰减,也就是使参数矩阵的每个元素都很小,趋近于0,但不会像L1范数那样等于0。L1是让绝对值最小,L2是让平方最小,由此可知,L1的下降速度很快,L2范数在优化迭代时的下降是平缓稳定的,逐渐收敛到0附近。所以,在矩阵分解模型中,L0范数会产生较少的隐特征,很多特征的权值为0,而L2会产生更多一点,因为有一些特征是趋近0却不等于0的。
所以,综合这三种范数的特点来看的话:如果在建模时,特征数较多,而很多特征又与结果没有直接关系的话,想要参数矩阵变得稀疏的的话,就选择L1范数;如果在进行矩阵分解时,设定特征数量后,希望每个特征都能有一定的权重的话,那么就选择L2范数。
(在我遇到的BPR相关的推荐问题中,大部分选择L2范数来正则化。)