今天的学习资料是这篇文章,写的非常详细,有理论有代码,本文是补充一些小细节,可以二者结合看效果更好:
zybuluo.com/hanbingtao/…
在文末有关于 RNN 的文章汇总,之前写的大多是概览式的模型结构,公式,和一些应用,今天主要放在训练算法的推导。
本文结构:
- 模型
- 训练算法
- 基于 RNN 的语言模型例子
- 代码实现
1. 模型
- 和全连接网络的区别
- 更细致到向量级的连接图
- 为什么循环神经网络可以往前看任意多个输入值
循环神经网络种类繁多,今天只看最基本的循环神经网络,这个基础攻克下来,理解拓展形式也不是问题。
首先看它和全连接网络的区别:
下图是一个全连接网络:
它的隐藏层的值只取决于输入的 x

而 RNN 的隐藏层的值 s 不仅仅取决于当前这次的输入 x,还取决于上一次隐藏层的值 s:
这个过程画成简图是这个样子:

其中,t 是时刻, x 是输入层, s 是隐藏层, o 是输出层,矩阵 W 就是隐藏层上一次的值作为这一次的输入的权重。
上面的简图还不能够说明细节,来看一下更细致到向量级的连接图:

Elman and Jordan networks are also known as "simple recurrent networks" (SRN).
其中各变量含义:

输出层是一个全连接层,它的每个节点都和隐藏层的每个节点相连,
隐藏层是循环层。
图来自wiki:en.wikipedia.org/wiki/Recurr…
为什么循环神经网络可以往前看任意多个输入值呢?
来看下面的公式,即 RNN 的输出层 o 和 隐藏层 s 的计算方法:

如果反复把式 2 带入到式 1,将得到:

这就是原因。
2. 训练算法
RNN 的训练算法为:BPTT
BPTT 的基本原理和 BP 算法是一样的,同样是三步:
-
- 前向计算每个神经元的输出值;
-
- 反向计算每个神经元的误差项值,它是误差函数E对神经元j的加权输入的偏导数;
-
- 计算每个权重的梯度。
最后再用随机梯度下降算法更新权重。
BP 算法的详细推导可以看这篇:
手写,纯享版反向传播算法公式推导
www.jianshu.com/p/9e217cfd8…
下面详细解析各步骤:
1. 前向计算
计算隐藏层 S 以及它的矩阵形式:
注意下图中,各变量的维度,标在右下角了,
s 的上标代表时刻,下标代表这个向量的第几个元素。
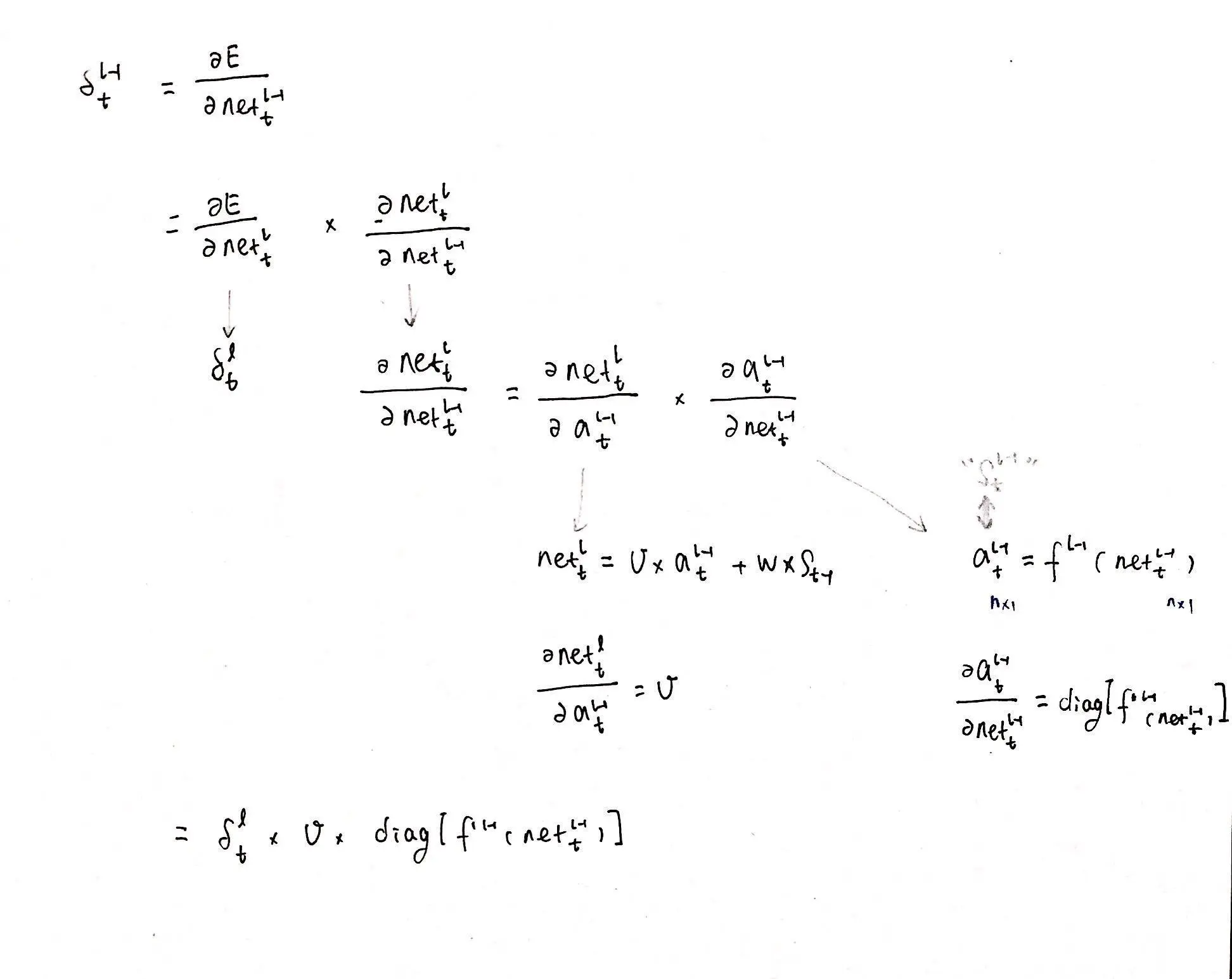
2. 误差项的计算
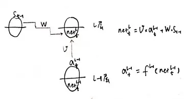
BTPP 算法就是将第 l 层 t 时刻的误差值沿两个方向传播:
- 一个方向是,传递到上一层网络,这部分只和权重矩阵 U 有关;(就相当于把全连接网络旋转90度来看)
- 另一个是方向是,沿时间线传递到初始时刻,这部分只和权重矩阵 W 有关。
如下图所示:

所以,就是要求这两个方向的误差项的公式:
学习资料中式 3 就是将误差项沿时间反向传播的算法,求到了任意时刻k的误差项

下面是具体的推导过程:
主要就是用了 链锁反应 和 Jacobian 矩阵
其中 s 和 net 的关系如下,有助于理解求导公式:

学习资料中式 4 就是将误差项传递到上一层算法:

这一步和普通的全连接层的算法是完全一样的,具体的推导过程如下:
其中 net 的 l 层 和 l-1 层的关系如下:

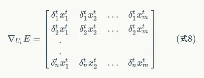
BPTT 算法的最后一步:计算每个权重的梯度
学习资料中式 6 就是计算循环层权重矩阵 W 的梯度的公式:

具体的推导过程如下:
和权重矩阵 W 的梯度计算方式一样,可以得到误差函数在 t 时刻对权重矩阵 U 的梯度:

3. 基于 RNN 的语言模型例子
我们要用 RNN 做这样一件事情,每输入一个词,循环神经网络就输出截止到目前为止,下一个最可能的词,如下图所示:

首先,要把词表达为向量的形式:
- 建立一个包含所有词的词典,每个词在词典里面有一个唯一的编号。
- 任意一个词都可以用一个N维的one-hot向量来表示。

这种向量化方法,我们就得到了一个高维、稀疏的向量,这之后需要使用一些降维方法,将高维的稀疏向量转变为低维的稠密向量。
为了输出 “最可能” 的词,所以需要计算词典中每个词是当前词的下一个词的概率,再选择概率最大的那一个。
因此,神经网络的输出向量也是一个 N 维向量,向量中的每个元素对应着词典中相应的词是下一个词的概率:

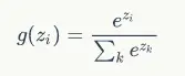
为了让神经网络输出概率,就要用到 softmax 层作为输出层。
softmax函数的定义:
因为和概率的特征是一样的,所以可以把它们看做是概率。

例:

计算过程为:

含义就是:
模型预测下一个词是词典中第一个词的概率是 0.03,是词典中第二个词的概率是 0.09。
语言模型如何训练?
把语料转换成语言模型的训练数据集,即对输入 x 和标签 y 进行向量化,y 也是一个 one-hot 向量

接下来,对概率进行建模,一般用交叉熵误差函数作为优化目标。
交叉熵误差函数,其定义如下:

用上面例子就是:

计算过程如下:

有了模型,优化目标,梯度表达式,就可以用梯度下降算法进行训练了。
4. 代码实现
RNN 的 Python 实现代码可以在学习资料中找到。
关于神经网络,写过的文章汇总:
推荐阅读 历史技术博文链接汇总
也许可以找到你想要的