稀土掘金 稀土掘金
    • 首页
    • 沸点
    • 课程
    • 数据标注 HOT
    • AI Coding
    • 更多
      • 直播
      • 活动
      • APP
      • 插件
    • 直播
    • 活动
    • APP
    • 插件
      • 搜索历史 清空
        • 写文章
        • 发沸点
        • 写笔记
        • 写代码
        • 草稿箱
        创作灵感 查看更多
青笔的头像
青笔
公号「我是一条小青蛇」原创主笔
·
6年前
  • 屏蔽作者: 青笔
  • 举报
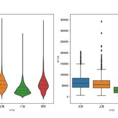
#北上广深房价#(平均值):
北京:6.6万
上海:5.9万
广州:3.4万
深圳:5.9万

想知道这些数据哪来的,关注我最新专栏 👇juejin.im
展开
青笔于2019-09-18 00:17发布的图片
收起
查看大图
向左旋转
向右旋转
青笔于2019-09-18 00:17发布的图片
avatar
赞过
分享
评论
1
相关推荐
  • 目前本人今年30了6年的javer,在一家公司干crud干了6年。由于工资太低了然后在想跳槽去深圳了,现在是花几个月时间转大模型应用开发还是继续走java的路(需要去复习高并发微服务多线程,但是公司一直没用到啊)。非常诚恳的想听听大佬们的建议或者又没有同样感觉迷茫的JY啊?目前本人学历是自考本科[流泪]
    23 赞 · 192 评论
  • 掘友们,你们知道吗 97今年竟然已经30了。 我还觉得自己是小屁孩。
    14 赞 · 158 评论
  • 上周六搬了新的住处,到了晚上,斜对面有对情侣,时间大概21:30就始下棋了,各种劈里啪啦的棋盘声,真是TM一点都回避人啊,现在的年轻人那么开放吗?周日TM晚上又开始了,我踏马。。。
    9 赞 · 137 评论