【气动学】基于短程攻击导弹的最短时间约束并解决策梅洛问题附Matlab代码和报告

0 阅读1分钟

cover_image

【气动学】基于短程攻击导弹的最短时间约束并解决策梅洛问题附Matlab代码和报告

天天Matlab 天天Matlab 天天Matlab

2026年01月19日 08:02 福建 __

在小说阅读器中沉浸阅读

✅作者简介:热爱科研的Matlab仿真开发者,擅长数据处理、建模仿真、程序设计、完整代码获取、论文复现及科研仿真。

🍎 往期回顾关注个人主页:Matlab科研工作室

👇 关注我领取海量matlab电子书和数学建模资料

🍊个人信条:格物致知,完整Matlab代码获取及仿真咨询内容私信

🔥 内容介绍

在现代战争体系中,短程攻击导弹扮演着至关重要的角色。其凭借快速响应、精准打击的特点,成为了战场上克敌制胜的关键武器 。想象一下,在瞬息万变的战场局势里,从发现目标到完成攻击,时间每缩短一秒,胜利的天平就可能多向己方倾斜一分。短程攻击导弹的最短时间约束研究,就是致力于让导弹以最快速度抵达目标,不给敌人留下任何反应的机会,极大地提升作战效率和突然性。

而策梅洛问题在导弹领域的探讨,更是为导弹的飞行策略规划带来了全新视角。策梅洛问题原本是在博弈论和最优控制理论中被提出,它主要探讨在特定条件下,如何找到最优的行动策略以达成目标。当我们将其引入短程攻击导弹的研究时,就是要为导弹在复杂的战场环境中,如多变的气流、敌方的电磁干扰等,规划出一条最优的飞行轨迹,确保它能在最短时间内准确命中目标,同时还要躲避敌方的防御系统。这就好比为导弹赋予了一个智慧的 “大脑”,让它在飞行过程中能够根据实时情况做出最合理的决策,以最小的代价换取最大的战果 。

短程攻击导弹的时间约束

短程攻击导弹的关键时间指标

在军事行动中,时间就是生命,更是胜利的关键因素。对于短程攻击导弹而言,最短时间约束是其执行任务时的核心要素之一 ,它直接关乎着作战行动的成败。从发现目标的那一刻起,导弹的反应时间就开始被严格计算。快速的反应时间能够让导弹在敌方还未做出有效防御措施之前迅速出击,打对方一个措手不及。比如在城市巷战中,敌方可能会利用建筑物的掩护快速转移或隐藏,此时短程攻击导弹若能在极短的反应时间内发射,就能抓住稍纵即逝的战机,精准打击目标 。

而飞行时间更是短程攻击导弹实现最短时间约束的关键指标。导弹必须以最快的速度穿越空间,抵达目标位置。在现代战争中,敌方的防空系统越来越先进,导弹在空中飞行的每一秒都面临着被拦截的风险。缩短飞行时间,就相当于降低了被拦截的概率,提高了导弹的突防能力。例如,在面对敌方密集的防空火力网时,短程攻击导弹通过优化飞行路径和动力系统,减少飞行时间,就能成功突破防御,对目标实施有效打击 。

从整个作战体系来看,短程攻击导弹的最短时间约束能够极大地提高作战效率,增强作战的突然性和灵活性。在多兵种协同作战中,短程攻击导弹能够迅速响应其他兵种的支援请求,在最短时间内对敌方目标进行打击,为己方部队创造有利的作战条件。比如在一场联合登陆作战中,当登陆部队遭遇敌方坚固火力点的阻击时,短程攻击导弹能够在短时间内摧毁这些火力点,为登陆部队开辟前进道路,加快作战进程 。

实现最短时间约束的难点与挑战

在现实中,短程攻击导弹要实现最短时间约束并非易事,它面临着诸多复杂因素的挑战。导弹在飞行过程中,会受到强大的气动阻力影响。气动阻力就像一个无形的 “刹车”,阻碍着导弹的前进,使其速度不断降低。导弹的外形设计、飞行姿态以及大气环境等因素都会对气动阻力产生影响。当导弹以高速飞行时,空气与导弹表面的摩擦会产生巨大的热量,这不仅会增加气动阻力,还可能对导弹的结构和内部设备造成损害。为了减小气动阻力,科研人员需要对导弹的外形进行精心设计,采用流线型的外形和先进的材料,以降低空气对导弹的作用力 。

目标的机动性也是实现最短时间约束的一大难题。现代战场上的目标往往具有很强的机动性,它们能够快速移动、改变方向,甚至采取各种规避动作。这就要求短程攻击导弹具备更强的跟踪和制导能力,能够实时根据目标的运动状态调整飞行轨迹。当目标进行高速机动时,导弹需要迅速做出反应,调整飞行方向和速度,确保能够准确命中目标。这对导弹的制导系统提出了极高的要求,需要采用先进的传感器和算法,实时获取目标的位置和运动信息,并快速计算出最佳的飞行轨迹 。

战场环境的复杂性也给短程攻击导弹带来了诸多挑战。例如,电磁干扰可能会影响导弹的制导系统,使其无法准确接收和处理目标信息;恶劣的气象条件,如暴雨、沙尘等,会改变空气的密度和湿度,进而影响导弹的气动性能和飞行稳定性。在复杂的地形环境中,如山岳、峡谷等,导弹的飞行轨迹可能会受到地形的限制,增加了飞行的难度和风险 。面对这些复杂的战场环境,短程攻击导弹需要具备强大的抗干扰能力和适应能力,以确保在各种恶劣条件下都能实现最短时间约束,准确命中目标 。

策梅洛问题与导弹制导

策梅洛问题的定义与内涵

策梅洛问题最初源于博弈论领域,是一个关于在特定规则和条件下寻求最优策略的理论问题 。在一个双方参与的博弈场景中,假设双方都完全了解游戏的规则和所有可能的行动选项,且不存在运气等随机因素干扰,那么必然存在一种策略,使得其中一方能够确保获胜或者至少不会失败。比如在经典的棋类游戏中,双方根据棋盘上的局势和规则,通过不断地思考和决策来选择下一步的走法,最终目标是获得胜利 。

将策梅洛问题与导弹制导相关联时,导弹就如同博弈中的一方,而目标和复杂的战场环境则构成了另一方 。导弹需要在各种约束条件下,如气动学限制、目标机动性以及敌方防御措施等,寻找一条最优的飞行轨迹,以实现最短时间内命中目标的目的。这就要求导弹能够像在博弈中一样,根据实时获取的信息,不断地调整自己的 “行动策略”,也就是飞行轨迹和飞行姿态 。在导弹飞行过程中,它需要实时感知目标的位置变化、自身的飞行状态以及周围的环境因素,然后通过精确的计算和决策,选择最适合的飞行路径,以最快的速度接近并命中目标 。

在导弹制导中引入策梅洛问题的意义

在导弹制导中引入策梅洛问题的解决思路,为导弹的飞行策略优化提供了新的视角和方法 。传统的导弹制导方式往往是基于预先设定的程序和规则,在面对复杂多变的战场环境时,可能无法及时做出最优的决策 。而策梅洛问题强调根据实时信息进行动态规划和最优决策,这使得导弹能够更加灵活地应对各种突发情况 。当导弹在飞行过程中遇到目标突然改变运动方向或者受到敌方电子干扰时,它可以利用策梅洛问题的求解方法,迅速分析当前局势,重新规划飞行轨迹,以确保能够继续准确地追踪目标 。

通过引入策梅洛问题,能够显著提高导弹的打击效果 。在最短时间约束下,导弹可以通过求解策梅洛问题找到最优的飞行路径,减少飞行过程中的能量消耗和时间浪费,从而更有效地突破敌方的防御系统,提高命中目标的概率 。在现代战争中,敌方的防空系统越来越先进,导弹需要具备更强的突防能力和精确打击能力 。策梅洛问题的应用可以让导弹在复杂的战场环境中,以最合理的方式规划飞行轨迹,避开敌方的防御火力,实现对目标的精确打击 。

基于气动学的解决策略

气动学原理在导弹飞行中的作用

气动学原理在导弹飞行过程中扮演着举足轻重的角色,对导弹的飞行性能产生着多方面的关键影响 。当导弹在大气层中高速飞行时,空气与导弹表面相互作用,会产生升力和阻力,这些力直接决定了导弹的飞行轨迹和速度变化 。升力是让导弹能够克服重力,维持在空中飞行的关键力量 。它的大小和方向与导弹的气动外形、飞行姿态以及飞行速度密切相关 。比如,导弹的弹翼设计采用特定的形状和角度,就是为了在飞行过程中利用空气的流动,产生足够的升力 。当导弹需要进行机动飞行,如转弯、爬升或俯冲时,升力的大小和方向需要相应地调整,以实现精确的飞行控制 。

阻力则是导弹飞行的 “阻碍者”,它会消耗导弹的能量,降低导弹的飞行速度 。导弹的飞行速度越快,受到的气动阻力就越大 。气动阻力主要包括摩擦阻力、压差阻力和诱导阻力等 。摩擦阻力是空气与导弹表面摩擦产生的;压差阻力是由于导弹前后压力差形成的;诱导阻力则与导弹的升力产生过程相关 。为了减小阻力,科研人员在设计导弹时,会采用流线型的外形,使空气能够更顺畅地流过导弹表面,降低摩擦阻力和压差阻力 。同时,通过优化弹翼的设计和布局,减小诱导阻力 。在实际飞行中,阻力的大小还会受到大气环境的影响,如空气密度、温度和湿度等 。当导弹在不同高度飞行时,空气密度会发生变化,从而导致阻力的改变 。因此,导弹在飞行过程中需要实时根据大气环境的变化,调整飞行姿态和动力系统,以减小阻力的影响 。

导弹的稳定性也是气动学原理作用的重要体现 。稳定性是指导弹在飞行过程中抵抗外界干扰,保持自身飞行姿态的能力 。如果导弹失去稳定性,就可能出现翻滚、偏离预定轨迹等危险情况,导致无法准确命中目标 。气动学通过设计合理的导弹外形和布局,以及采用先进的控制技术,来保证导弹的稳定性 。导弹的重心位置和气动中心位置的关系对稳定性有很大影响 。当重心位于气动中心之前时,导弹具有较好的静稳定性;反之,则可能导致不稳定 。此外,导弹的尾翼、舵面等控制部件也在维持稳定性方面发挥着关键作用 。当导弹受到外界干扰,如气流的扰动时,尾翼和舵面可以通过调整角度,产生相应的气动力矩,使导弹恢复到稳定的飞行姿态 。

利用气动学优化导弹时间约束和解决策梅洛问题

为了满足短程攻击导弹的最短时间约束并有效解决策梅洛问题,科研人员巧妙地利用气动学原理,从多个方面对导弹进行优化 。导弹的气动外形是优化的关键环节 。通过采用先进的设计理念和技术手段,打造出更加符合空气动力学原理的外形,能够显著降低导弹在飞行过程中的气动阻力,提高飞行速度 。比如,一些新型短程攻击导弹采用了乘波体外形设计 。这种外形的导弹在飞行时,能够像冲浪一样 “骑” 在激波上,使得空气能够更顺畅地流过导弹表面,极大地减小了空气阻力 。同时,乘波体外形还能提高导弹的升阻比,使导弹在消耗相同能量的情况下,能够飞行更远的距离,从而有效缩短飞行时间 。

导弹的飞行姿态控制也是利用气动学优化的重要手段 。通过精确控制导弹的飞行姿态,可以调整导弹所受到的气动力大小和方向,实现飞行轨迹的优化 。当导弹需要进行转弯机动时,通过调整舵面的角度,改变气动力的方向,使导弹能够按照预定的轨迹转弯 。在这个过程中,要充分考虑气动学原理,确保舵面的调整能够产生合适的气动力,避免出现过大的过载或失稳现象 。现代短程攻击导弹通常配备了先进的姿态控制系统,该系统利用高精度的传感器实时监测导弹的飞行姿态,如加速度、角速度和姿态角等信息,并将这些信息传输给控制系统 。控制系统根据预设的算法和策略,快速计算出需要调整的舵面角度,然后通过执行机构对舵面进行精确控制,实现对导弹飞行姿态的实时调整 。

除了外形设计和姿态控制,科研人员还通过优化导弹的气动力分配,来满足最短时间约束和解决策梅洛问题 。在导弹飞行过程中,合理分配升力和阻力,能够提高导弹的飞行效率 。在导弹的初始加速阶段,可以通过调整气动力,使导弹获得更大的推力,快速提高飞行速度;在接近目标阶段,则可以适当减小阻力,提高导弹的机动性,确保能够准确命中目标 。为了实现气动力的优化分配,科研人员利用先进的数值模拟技术,对导弹在不同飞行状态下的气动力进行精确计算和分析 。通过大量的模拟计算,找到最佳的气动力分配方案,并将其应用到导弹的设计和控制系统中 。

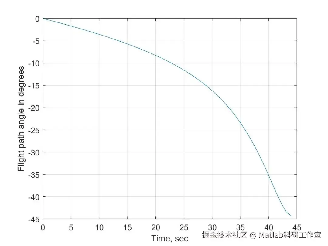
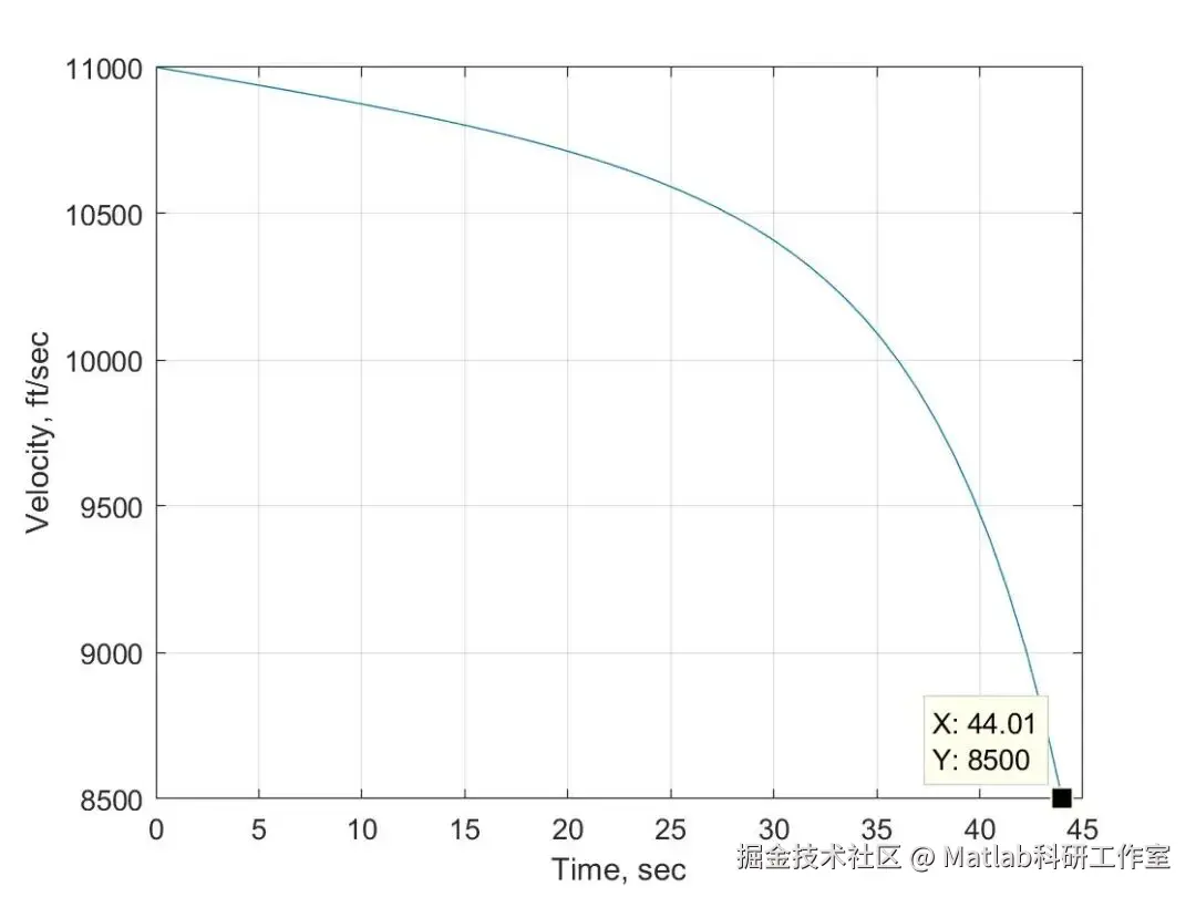
⛳️ 运行结果

📣 部分代码

tau = 0:0.02:1;

CL=ones(length(tau),1)*(-0.2);

CL(end+1) = tfinal;

lb=ones(length(tau),1)*(-pi);

ub=ones(length(tau),1)*pi;

lb(end+1)=0.01;

ub(end+1)=1;

options = optimset('Display','iter','TolCon',1e-3,'Algorithm','interior- point','PlotFcns','optimplotx','MaxFunEvals',2500);

[CL_final, cost] = fmincon('sram_cost', CL,[],[],[],[],lb,ub,'sram_constraint',options);

tfinal=CL_final(end);

[tout,yout]=sim('SRAM',1,[],[tau' CL_final(1:end-1)]);

figure

plot(yout(:,1)/6076,yout(:,2));grid;xlabel('X, nm');ylabel('h');

figure

plot(tau*CL_final(end)*100,CL_final(1:end-1));xlabel('Time, sec');ylabel('Final CL');grid

figure

🔗 参考文献

🎈 部分理论引用网络文献,若有侵权联系博主删除

🏆团队擅长辅导定制多种科研领域MATLAB仿真,助力科研梦:

🌟 各类智能优化算法改进及应用

生产调度、经济调度、装配线调度、充电优化、车间调度、发车优化、水库调度、三维装箱、物流选址、货位优化、公交排班优化、充电桩布局优化、车间布局优化、集装箱船配载优化、水泵组合优化、解医疗资源分配优化、设施布局优化、可视域基站和无人机选址优化、背包问题、 风电场布局、时隙分配优化、 最佳分布式发电单元分配、多阶段管道维修、 工厂-中心-需求点三级选址问题、 应急生活物质配送中心选址、 基站选址、 道路灯柱布置、 枢纽节点部署、 输电线路台风监测装置、 集装箱调度、 机组优化、 投资优化组合、云服务器组合优化、 天线线性阵列分布优化、CVRP问题、VRPPD问题、多中心VRP问题、多层网络的VRP问题、多中心多车型的VRP问题、 动态VRP问题、双层车辆路径规划(2E-VRP)、充电车辆路径规划(EVRP)、油电混合车辆路径规划、混合流水车间问题、 订单拆分调度问题、 公交车的调度排班优化问题、航班摆渡车辆调度问题、选址路径规划问题、港口调度、港口岸桥调度、停机位分配、机场航班调度、泄漏源定位、冷链、时间窗、多车场等、选址优化、港口岸桥调度优化、交通阻抗、重分配、停机位分配、机场航班调度、通信上传下载分配优化

🌟 机器学习和深度学习时序、回归、分类、聚类和降维

2.1 bp时序、回归预测和分类

2.2 ENS声神经网络时序、回归预测和分类

2.3 SVM/CNN-SVM/LSSVM/RVM支持向量机系列时序、回归预测和分类

2.4 CNN|TCN|GCN卷积神经网络系列时序、回归预测和分类

2.5 ELM/KELM/RELM/DELM极限学习机系列时序、回归预测和分类
2.6 GRU/Bi-GRU/CNN-GRU/CNN-BiGRU门控神经网络时序、回归预测和分类

2.7 ELMAN递归神经网络时序、回归\预测和分类

2.8 LSTM/BiLSTM/CNN-LSTM/CNN-BiLSTM/长短记忆神经网络系列时序、回归预测和分类

2.9 RBF径向基神经网络时序、回归预测和分类

2.10 DBN深度置信网络时序、回归预测和分类
2.11 FNN模糊神经网络时序、回归预测
2.12 RF随机森林时序、回归预测和分类
2.13 BLS宽度学习时序、回归预测和分类
2.14 PNN脉冲神经网络分类
2.15 模糊小波神经网络预测和分类
2.16 时序、回归预测和分类
2.17 时序、回归预测预测和分类
2.18 XGBOOST集成学习时序、回归预测预测和分类
2.19 Transform各类组合时序、回归预测预测和分类

方向涵盖风电预测、光伏预测、电池寿命预测、辐射源识别、交通流预测、负荷预测、股价预测、PM2.5浓度预测、电池健康状态预测、用电量预测、水体光学参数反演、NLOS信号识别、地铁停车精准预测、变压器故障诊断

🌟图像处理方面
图像识别、图像分割、图像检测、图像隐藏、图像配准、图像拼接、图像融合、图像增强、图像压缩感知
🌟 路径规划方面

旅行商问题(TSP)、车辆路径问题(VRP、MVRP、CVRP、VRPTW等)、无人机三维路径规划、无人机协同、无人机编队、机器人路径规划、栅格地图路径规划、多式联运运输问题、 充电车辆路径规划(EVRP)、 双层车辆路径规划(2E-VRP)、 油电混合车辆路径规划、 船舶航迹规划、 全路径规划规划、 仓储巡逻、公交车时间调度、水库调度优化、多式联运优化

🌟 无人机应用方面
无人机路径规划、无人机控制、无人机编队、无人机协同、无人机任务分配、无人机安全通信轨迹在线优化、车辆协同无人机路径规划、
🌟 通信方面
传感器部署优化、通信协议优化、路由优化、目标定位优化、Dv-

Hop定位优化、Leach协议优化、WSN覆盖优化、组播优化、RSSI定位优化、水声通信、通信上传下载分配

🌟 信号处理方面

信号识别、信号加密、信号去噪、信号增强、雷达信号处理、信号水印嵌入提取、肌电信号、脑电信号、信号配时优化、心电信号、DOA估计、编码译码、变分模态分解、管道泄漏、滤波器、数字信号处理+传输+分析+去噪、数字信号调制、误码率、信号估计、DTMF、信号检测

🌟电力系统方面

微电网优化、无功优化、配电网重构、储能配置、有序充电、MPPT优化、家庭用电、电/冷/热负荷预测、电力设备故障诊断、电池管理系统(BMS)SOC/SOH估算(粒子滤波/卡尔曼滤波)、 多目标优化在电力系统调度中的应用、光伏MPPT控制算法改进(扰动观察法/电导增量法)、电动汽车充放电优化、微电网日前日内优化、储能优化、家庭用电优化、供应链优化\智能电网分布式能源经济优化调度,虚拟电厂,能源消纳,风光出力,控制策略,多目标优化,博弈能源调度,鲁棒优化

电力系统核心问题经济调度:机组组合、最优潮流、安全约束优化。新能源消纳:风光储协同规划、弃风弃光率量化、爬坡速率约束建模多能耦合系统:电-气- 热联合调度、P2G与储能容量配置新型电力系统关键技术灵活性资源:虚拟电厂、需求响应、V2G车网互动、分布式储能优化稳定与控制:惯量支撑策略、低频振荡抑制、黑启动预案设计低碳转型:碳捕集电厂建模、绿氢制备经济性分析、LCOE度电成本核算风光出力预测:LSTM/Transformer时序预测、预测误差场景生成(GAN/蒙特卡洛)不确定性优化:鲁棒优化、随机规划、机会约束建模能源流分析、PSASP复杂电网建模,经济调度,算法优化改进,模型优化,潮流分析,鲁棒优化,创新点,文献复现微电网配电网规划,运行调度,综合能源,混合储能容量配置,平抑风电波动,多目标优化,静态交通流量分配,阶梯碳交易,分段线性化,光伏混合储能VSG并网运行,构网型变流器, 虚拟同步机等包括混合储能HESS:蓄电池+超级电容器,电压补偿,削峰填谷,一次调频,功率指令跟随,光伏储能参与一次调频,功率平抑,直流母线电压控制;MPPT最大功率跟踪控制,构网型储能,光伏,微电网调度优化,新能源,虚拟同同步机,VSG并网,小信号模型

🌟 元胞自动机方面
交通流 人群疏散 病毒扩散 晶体生长 金属腐蚀
🌟 雷达方面
卡尔曼滤波跟踪、航迹关联、航迹融合、SOC估计、阵列优化、NLOS识别
🌟 车间调度
零等待流水车间调度问题NWFSP置换流水车间调度问题PFSP混合流水车间调度问题HFSP

、零空闲流水车间调度问题NIFSP、分布式置换流水车间调度问题 DPFSP、阻塞流水车间调度问题BFSP

👇

5 往期回顾扫扫下方二维码

预览时标签不可点

继续滑动看下一个

轻触阅读原文

天天Matlab

向上滑动看下一个

知道了

微信扫一扫
使用小程序


取消 允许


取消 允许


取消 允许

× 分析

__

跳转二维码

作者头像

微信扫一扫可打开此内容,
使用完整服务

: , , , , , , , , , , , , 。 视频 小程序 赞 ,轻点两下取消赞 在看 ,轻点两下取消在看 分享 留言 收藏 听过