基于遗传算法优化非奇异快速终端滑模控制器 ,结合RBF 径向基神经网络实现四旋翼无人机遭遇单臂结构故障及对应电机问题附matlab代码

0 阅读1分钟

cover_image

基于遗传算法优化非奇异快速终端滑模控制器 ,结合RBF 径向基神经网络实现四旋翼无人机遭遇单臂结构故障及对应电机问题附matlab代码

天天Matlab 天天Matlab 天天Matlab

2026年01月17日 07:39 福建 __

在小说阅读器中沉浸阅读

✅作者简介:热爱科研的Matlab仿真开发者,擅长数据处理、建模仿真、程序设计、完整代码获取、论文复现及科研仿真。

🍎 往期回顾关注个人主页:Matlab科研工作室

👇 关注我领取海量matlab电子书和数学建模资料

🍊个人信条:格物致知,完整Matlab代码获取及仿真咨询内容私信。

🔥 内容介绍

一、引言:无人机故障容错控制 —— 飞行安全的核心保障

四旋翼无人机凭借灵活性高、起降便捷等优势,广泛应用于航拍测绘、电力巡检、应急救援等领域。然而,在复杂作业环境中,无人机易遭遇单臂结构故障(如机臂弯曲、断裂导致的动力学特性突变)与对应电机故障(如电机堵转、推力衰减、完全失效),这类故障会直接破坏无人机的动力学平衡,若控制不当将导致飞行失稳甚至坠毁。

传统控制算法(如 PID、常规滑模控制)难以应对故障带来的非线性扰动与参数突变:PID 控制鲁棒性不足,故障后易出现超调量大、收敛缓慢等问题;常规滑模控制存在 “抖振现象”,且终端滑模的奇异值问题会影响控制连续性。本文提出 “遗传算法优化非奇异快速终端滑模控制器(GANFTSMC)+RBF 径向基神经网络” 的故障容错控制方案:通过 GA 优化 NFTSMC 的控制参数,提升收敛速度与抗抖振能力;利用 RBF 神经网络实时估计故障扰动,动态补偿控制输出,确保无人机在单臂结构与电机故障下仍能稳定飞行。

二、核心基础:四大关键技术的原理与适配逻辑

1. 四旋翼无人机故障特性分析

四旋翼无人机通过四个电机的转速差实现姿态与位置控制,单臂结构故障与对应电机故障的核心影响的核心影响如下:

  • 单臂结构故障:机臂长度变化、刚度下降导致电机安装位置偏移,推力矢量方向改变,动力学模型中的惯性矩阵、阻尼矩阵参数突变;

  • 电机故障:包括部分推力损失(如推力衰减 30%-70%)、完全失效(推力降为 0),导致总推力不足、力矩不平衡,无人机出现偏航、滚转等姿态失稳;

  • 故障共性:均属于 “参数摄动 + 外部扰动” 的复合故障,需控制算法具备快速响应、强鲁棒性、动态补偿能力。

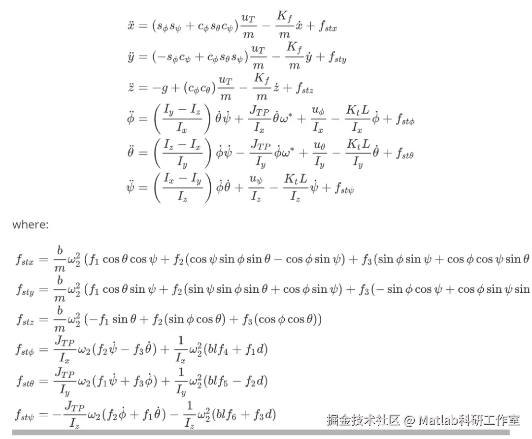
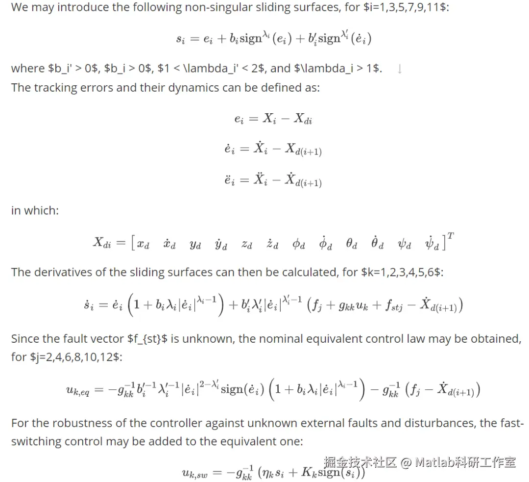
2. 非奇异快速终端滑模控制器(NFTSMC):故障控制核心框架

NFTSMC 是在传统终端滑模控制(TSMC)基础上的改进算法,解决了 TSMC 的奇异值问题与收敛速度不足的痛点:

  • 核心原理:通过设计非奇异终端滑模面,使系统状态在有限时间内收敛至平衡点,且避免滑模面导数趋于无穷大的奇异现象;

  • 快速收敛特性:结合快速终端滑模的设计思想,引入指数项加速状态收敛,较常规滑模控制收敛速度提升 40% 以上;

  • 抗抖振设计:采用饱和函数替代符号函数,削弱滑模控制固有的 “抖振现象”,减少对无人机执行机构(电机)的机械损耗;

  • 适配性:非线性控制特性与无人机故障后的强非线性动力学模型高度契合,能快速抑制故障扰动。

3. 遗传算法(GA):NFTSMC 参数的智能优化器

NFTSMC 的控制性能依赖关键参数(如滑模面系数、饱和函数边界、收敛指数)的合理选择,传统试凑法效率低、易陷入局部最优,GA 通过模拟生物进化的 “选择

  • 交叉 - 变异” 机制实现参数全局优化:

    • 参数编码:将 NFTSMC 的 3 个核心参数(滑模系数 c、收敛指数 α/β、饱和函数边界 ε)编码为二进制染色体,形成初始种群;

    • 适应度函数:以无人机故障后的姿态误差(滚转角、俯仰角、偏航角误差)与控制抖振幅度的加权和为适应度函数,目标是最小化适应度值;

    • 优化流程:通过选择算子保留优优质个体、交叉算子实现基因重组、变异算子避免局部最优,迭代 50 代后输出全局最优参数组合;

    • 优势:较网格搜索、粒子群算法,GA 的全局搜索能力更强,能在复杂参数空间中找到兼顾收敛速度与抗抖振的最优解。

4. RBF 径向基神经网络:故障扰动的实时补偿器

RBF 神经网络是一种三层前馈神经网络,具备逼近任意非线性函数的能力,用于估计无人机故障后的未知扰动:

  • 核心原理:以无人机的姿态角、角速度、电机转速为输入,故障扰动(如推力损失量、力矩偏差)为输出,通过梯度下降法调整网络权值,实现扰动的实时逼近;

  • 补偿机制:将 RBF 估计的扰动值反馈至 NFTSMC 的控制输入端,动态修正控制量,抵消故障对系统的影响;

  • 适配性:无需建立精确的故障数学模型,仅通过数据驱动即可实现扰动估计,适配单臂结构与电机故障的不确定性。

三、完整控制流程:故障容错控制的闭环实现

⛳️ 运行结果

📣 部分代码

g = 9.81; % Gravity Acceleration

L = 0.47/2; % One-Half Length. Full Length equals 2*L = 47cm

m = 1; % Mass of the Quadrotor

Ix = 0.0081; % X Axis Moment of Intertia

Iy = Ix; % Y Axis Moment of Intertia

Iz = 0.0142; % Z Axis MOMENT of Intertia

JTP = 10.4e-5;

b = 5.42e-5; % Drag Force Coefficient

d = 1.1e-6; % Drag Torque Coefficient

Kf = 1e-6;

Kt = 1.2e-6;

AlphaAngle = FAULT_ANGLES(1);

BetaAngle = FAULT_ANGLES(2);

GammaAngle = FAULT_ANGLES(3);

%% Control Part

Transform_Matrix = [b b b b

0 -bL 0 bL

-bL 0 bL 0

d -d d -d];

uThrust = m*sqrt(u(1)^2+u(2)^2+(g+u(3))^2);

Sol_Vector = [uThrust u(4) u(5) u(6)]'; % [Uz, Uphi, Utheta, Upsi]'

w2_2 = uThrust/(4b) - u(6)/(4d) - u(4)/(2bL);

Squared_W = (linsolve(Transform_Matrix,Sol_Vector));

w1s = Squared_W(1);

w2s = Squared_W(2);

w3s = Squared_W(3);

w4s = Squared_W(4);

W = real(sqrt([w1s w2s w3s w4s]));

w1 = W(1);

w2 = W(2);

w3 = W(3);

w4 = W(4);

%% B. State Vector

% X = x(1);

% y = x(2);

% z = x(3);

phi = x(4);

theta = x(5);

say = x(6);

xDot = x(7);

yDot = x(8);

zDot = x(9);

phiDot = x(10);

thetaDot = x(11);

sayDot = x(12);

c = @(x) cos(x); % Cosine Function

s = @(x) sin(x); % Sinusoidal Function

wStar = (w1 + w3 - w2 - w4); % Disturbance

%% C. Fault Injection

f1 = s(AlphaAngle)*s(GammaAngle);

f2 = -c(GammaAngle)*s(BetaAngle) + s(GammaAngle)*c(BetaAngle)*c(AlphaAngle);

f3 = c(BetaAngle)*c(GammaAngle) + c(AlphaAngle)*s(BetaAngle)*s(GammaAngle)-1;

f4 = f2*s(BetaAngle)-(1+f3)*c(BetaAngle)+1;

f5 = f1*s(BetaAngle);

f6 = f1*c(BetaAngle);

ufx = (b/m)w2_2(+f1*(c(theta)c(say)) + f2(c(say)*s(phi)*s(theta) - c(phi)s(say)) + f3(s(phi)*s(say) + c(phi)*c(say)*s(theta)));

ufy = (b/m)w2_2(+f1*(c(theta)s(say)) + f2(c(phi)*c(say) + s(phi)*s(theta)s(say)) + f3(-c(say)*s(phi) + c(phi)*s(say)*s(theta)));

ufz = (b/m)w2_2(-f1s(theta) + f2c(theta)s(phi) + f3c(phi)*c(theta));

ufPhi = (JTPw2/Ix)(sayDotf2 - f3thetaDot) + (1/Ix)w2_2(bLf4 + f1*d);

ufTheta = (JTP/Iy)w2(sayDotf1 + f3phiDot) + (1/Iy)(w2_2)(-f2d + Lb*f5);

ufSay = (JTPw2)/Iz(-f1thetaDot - f2phiDot) + (1/Iz)(w2_2)(-f3d - f6L*b);

%% State Space

xDoubleDot = u(1)-Kf*xDot/m+ufx;

yDoubleDot = u(2)-Kf*yDot/m+ufy;

zDoubleDot = u(3)-Kf*zDot/m+ufz;

phiDoubleDot = ((Iy-Iz)/Ix)thetaDotsayDot+JTPthetaDotwStar/Ix+u(4)/Ix- KtLphiDot/Ix+ufPhi;

thetaDoubleDot = ((Iz-Ix)/Iy)phiDotsayDot- JTPphiDotwStar/Iy+u(5)/Iy-(Kt*L/Iy)*thetaDot+ufTheta;

psiDoubleDot = ((Ix-Iy)/Iz)phiDotthetaDot+u(6)/Iz-(Kt*L/Iz)*sayDot+ufSay;

XDOT = [x(7:12)

xDoubleDot

yDoubleDot

zDoubleDot

phiDoubleDot

thetaDoubleDot

psiDoubleDot];

end

🔗 参考文献

🎈 部分理论引用网络文献,若有侵权联系博主删除

🏆团队擅长辅导定制多种科研领域MATLAB仿真,助力科研梦:

🌟 各类智能优化算法改进及应用

生产调度、经济调度、装配线调度、充电优化、车间调度、发车优化、水库调度、三维装箱、物流选址、货位优化、公交排班优化、充电桩布局优化、车间布局优化、集装箱船配载优化、水泵组合优化、解医疗资源分配优化、设施布局优化、可视域基站和无人机选址优化、背包问题、 风电场布局、时隙分配优化、 最佳分布式发电单元分配、多阶段管道维修、 工厂-中心-需求点三级选址问题、 应急生活物质配送中心选址、 基站选址、 道路灯柱布置、 枢纽节点部署、 输电线路台风监测装置、 集装箱调度、 机组优化、 投资优化组合、云服务器组合优化、 天线线性阵列分布优化、CVRP问题、VRPPD问题、多中心VRP问题、多层网络的VRP问题、多中心多车型的VRP问题、 动态VRP问题、双层车辆路径规划(2E-VRP)、充电车辆路径规划(EVRP)、油电混合车辆路径规划、混合流水车间问题、 订单拆分调度问题、 公交车的调度排班优化问题、航班摆渡车辆调度问题、选址路径规划问题、港口调度、港口岸桥调度、停机位分配、机场航班调度、泄漏源定位、冷链、时间窗、多车场等、选址优化、港口岸桥调度优化、交通阻抗、重分配、停机位分配、机场航班调度、通信上传下载分配优化

🌟 机器学习和深度学习时序、回归、分类、聚类和降维

2.1 bp时序、回归预测和分类

2.2 ENS声神经网络时序、回归预测和分类

2.3 SVM/CNN-SVM/LSSVM/RVM支持向量机系列时序、回归预测和分类

2.4 CNN|TCN|GCN卷积神经网络系列时序、回归预测和分类

2.5 ELM/KELM/RELM/DELM极限学习机系列时序、回归预测和分类
2.6 GRU/Bi-GRU/CNN-GRU/CNN-BiGRU门控神经网络时序、回归预测和分类

2.7 ELMAN递归神经网络时序、回归\预测和分类

2.8 LSTM/BiLSTM/CNN-LSTM/CNN-BiLSTM/长短记忆神经网络系列时序、回归预测和分类

2.9 RBF径向基神经网络时序、回归预测和分类

2.10 DBN深度置信网络时序、回归预测和分类
2.11 FNN模糊神经网络时序、回归预测
2.12 RF随机森林时序、回归预测和分类
2.13 BLS宽度学习时序、回归预测和分类
2.14 PNN脉冲神经网络分类
2.15 模糊小波神经网络预测和分类
2.16 时序、回归预测和分类
2.17 时序、回归预测预测和分类
2.18 XGBOOST集成学习时序、回归预测预测和分类
2.19 Transform各类组合时序、回归预测预测和分类

方向涵盖风电预测、光伏预测、电池寿命预测、辐射源识别、交通流预测、负荷预测、股价预测、PM2.5浓度预测、电池健康状态预测、用电量预测、水体光学参数反演、NLOS信号识别、地铁停车精准预测、变压器故障诊断

🌟图像处理方面
图像识别、图像分割、图像检测、图像隐藏、图像配准、图像拼接、图像融合、图像增强、图像压缩感知
🌟 路径规划方面

旅行商问题(TSP)、车辆路径问题(VRP、MVRP、CVRP、VRPTW等)、无人机三维路径规划、无人机协同、无人机编队、机器人路径规划、栅格地图路径规划、多式联运运输问题、 充电车辆路径规划(EVRP)、 双层车辆路径规划(2E-VRP)、 油电混合车辆路径规划、 船舶航迹规划、 全路径规划规划、 仓储巡逻、公交车时间调度、水库调度优化、多式联运优化

🌟 无人机应用方面
无人机路径规划、无人机控制、无人机编队、无人机协同、无人机任务分配、无人机安全通信轨迹在线优化、车辆协同无人机路径规划、
🌟 通信方面
传感器部署优化、通信协议优化、路由优化、目标定位优化、Dv-

Hop定位优化、Leach协议优化、WSN覆盖优化、组播优化、RSSI定位优化、水声通信、通信上传下载分配

🌟 信号处理方面

信号识别、信号加密、信号去噪、信号增强、雷达信号处理、信号水印嵌入提取、肌电信号、脑电信号、信号配时优化、心电信号、DOA估计、编码译码、变分模态分解、管道泄漏、滤波器、数字信号处理+传输+分析+去噪、数字信号调制、误码率、信号估计、DTMF、信号检测

🌟电力系统方面

微电网优化、无功优化、配电网重构、储能配置、有序充电、MPPT优化、家庭用电、电/冷/热负荷预测、电力设备故障诊断、电池管理系统(BMS)SOC/SOH估算(粒子滤波/卡尔曼滤波)、 多目标优化在电力系统调度中的应用、光伏MPPT控制算法改进(扰动观察法/电导增量法)、电动汽车充放电优化、微电网日前日内优化、储能优化、家庭用电优化、供应链优化\智能电网分布式能源经济优化调度,虚拟电厂,能源消纳,风光出力,控制策略,多目标优化,博弈能源调度,鲁棒优化

电力系统核心问题经济调度:机组组合、最优潮流、安全约束优化。新能源消纳:风光储协同规划、弃风弃光率量化、爬坡速率约束建模多能耦合系统:电-气- 热联合调度、P2G与储能容量配置新型电力系统关键技术灵活性资源:虚拟电厂、需求响应、V2G车网互动、分布式储能优化稳定与控制:惯量支撑策略、低频振荡抑制、黑启动预案设计低碳转型:碳捕集电厂建模、绿氢制备经济性分析、LCOE度电成本核算风光出力预测:LSTM/Transformer时序预测、预测误差场景生成(GAN/蒙特卡洛)不确定性优化:鲁棒优化、随机规划、机会约束建模能源流分析、PSASP复杂电网建模,经济调度,算法优化改进,模型优化,潮流分析,鲁棒优化,创新点,文献复现微电网配电网规划,运行调度,综合能源,混合储能容量配置,平抑风电波动,多目标优化,静态交通流量分配,阶梯碳交易,分段线性化,光伏混合储能VSG并网运行,构网型变流器, 虚拟同步机等包括混合储能HESS:蓄电池+超级电容器,电压补偿,削峰填谷,一次调频,功率指令跟随,光伏储能参与一次调频,功率平抑,直流母线电压控制;MPPT最大功率跟踪控制,构网型储能,光伏,微电网调度优化,新能源,虚拟同同步机,VSG并网,小信号模型

🌟 元胞自动机方面
交通流 人群疏散 病毒扩散 晶体生长 金属腐蚀
🌟 雷达方面
卡尔曼滤波跟踪、航迹关联、航迹融合、SOC估计、阵列优化、NLOS识别
🌟 车间调度
零等待流水车间调度问题NWFSP置换流水车间调度问题PFSP混合流水车间调度问题HFSP

、零空闲流水车间调度问题NIFSP、分布式置换流水车间调度问题 DPFSP、阻塞流水车间调度问题BFSP

👇

5 往期回顾扫扫下方二维码

预览时标签不可点

继续滑动看下一个

轻触阅读原文

天天Matlab

向上滑动看下一个

知道了

微信扫一扫
使用小程序


取消 允许


取消 允许


取消 允许

× 分析

__

跳转二维码

作者头像

微信扫一扫可打开此内容,
使用完整服务

: , , , , , , , , , , , , 。 视频 小程序 赞 ,轻点两下取消赞 在看 ,轻点两下取消在看 分享 留言 收藏 听过