创新首发!基于小波包阈值去噪-BiMamba-KAN的轴承剩余寿命预测+SHAP分析

0 阅读8分钟

一、研究背景

本项目提出了一种小波包阈值去噪 + BiMamba-KAN 模型 的轴承 RUL 预测方法。

BiMamba-KAN 采用双向 Mamba 选择性状态空间模型进行时序建模,结合跨特征混合层捕获特征间依赖,并用最近超火的KAN网络(Kolmogorov-Arnold Network)作为预测头,实现高精度寿命预测。

并与6种近年来非常优秀的模型进行对比,对比代码都已经写好了。6种模型包括:

  • informer

  • gru

  • conv_lstm

  • transformer

  • patch_tst

  • mamba


二、整体框架

本项目的方法流程分为四个阶段:

原始振动信号

    │

    ▼ 特征提取:提取 33 维时频域特征

    │

    ▼ 小波包阈值去噪:对特征退化趋势曲线进行分解+BayesShrink自适应去噪

    │

    ▼ 滑动窗口:构建时序样本 (window_size=10)

    │

    ▼ 模型预测:BiMamba-KAN(双向Mamba编码+RBF-KAN预测头) → 输出 RUL

三、数据集

使用 IEEE PHM 2012 轴承全寿命退化数据集。

  • 工况条件1下 7 个轴承(Bearing1_1 ~ Bearing1_7)

  • 采样频率 25.6 kHz,每次采集 0.1 秒(2560 个数据点),每 10 秒采集一次

  • 每个轴承从健康状态运行到失效,采样数从 800 余次到 2800 余次不等


四、特征提取与小波包阈值去噪

4.1 33维特征提取

对每个振动采样(2560 个点)提取 33 维特征:

  • 时域特征(18 个):均值、方差、峰度、偏度、均方根、峰值因子、波形因子、脉冲因子、裕度因子、香农熵等

  • 频域特征(15 个):Hilbert 包络特征、频谱重心、频谱扩展、频谱熵、主频、四个频段能量占比等

这样每个轴承就得到了 33 条特征随时间变化的退化趋势曲线。

4.2 小波包阈值去噪

原始特征退化曲线中存在较多波动,并非所有变化都反映真实退化。我们采用 小波包阈值去噪(Wavelet Packet Threshold Denoising) 对每条趋势曲线进行去噪:

  1. 小波包分解:使用 db6 小波基对退化趋势曲线进行 3 层小波包分解,得到 8 个子带(1 个低频近似子带 + 7 个细节子带)

  2. BayesShrink 自适应阈值估计:利用最高频子带的中值绝对偏差(MAD)估计噪声标准差 σ,计算通用阈值 λ = σ√(2·log(n))

  3. 软阈值处理:保留低频近似子带不动,对所有细节子带进行软阈值收缩,平滑去除噪声

  4. 重构:将处理后的子带系数重构为去噪后的退化趋势

小波包阈值去噪具有以下优势:

  • 速度快:无需迭代收敛

  • 阈值自适应:BayesShrink 根据数据噪声水平自动确定阈值,无需人工调参

  • 理论完备:基于 Donoho-Johnstone 阈值理论,在最小均方意义下接近最优去噪

这里以Bearing1_1和Bearing1_7为例展示一下小波包阈值去噪对指标的降噪效果。

剩下轴承就不再一一展示,代码一键运行即可对所有轴承进行特征提取与降噪。

4.3 滑动窗口

将去噪后的 33 维特征按 window_size=10、stride=1 的滑动窗口切分,得到形如 (n_windows, 10, 33) 的时序样本。每个样本包含连续 10 个采样时刻的 33 维特征,保留了完整的时序结构。

RUL 标签归一化到 [0, 1],1.0 表示轴承生命初期,0.0 表示失效时刻。


五、模型架构

5.1 BiMamba-KAN 模型

本项目的核心模型 BiMamba-KAN 结合双向选择性状态空间模型与可学习激活函数网络:

输入 [batch, 10, 33]

         ↓

    Linear + LayerNorm + 可学习位置编码

         ↓

    ┌─────────────────────────────────────────────┐

    │         BiMambaEncoderLayer × 2              │

    │  ┌───────────────────────────────────────┐  │

    │  │  BiMambaBlock (时序建模)               │  │

    │  │  正向 MambaBlock ──┐                  │  │

    │  │                    ├→ 合并 + 残差      │  │

    │  │  反向 MambaBlock ──┘                  │  │

    │  │  (双向捕获退化趋势)                    │  │

    │  └───────────────────────────────────────┘  │

    │                    ↓                        │

    │  ┌───────────────────────────────────────┐  │

    │  │  FeatureMixing (跨特征交互)            │  │

    │  │  LayerNorm → FFN (GELU) → 残差        │  │

    │  │  (在每个时间步上做特征间信息交换)       │  │

    │  └───────────────────────────────────────┘  │

    └─────────────────────────────────────────────┘

         ↓

    LayerNorm → 三路池化 (last + mean + max)

         ↓

    KAN 预测头: KANLinear(144→48) → Dropout → Linear(48→1)

         ↓

    RUL 预测值 [batch, 1]

创新点

  • ①双向 Mamba(BiMambaBlock):正向和反向各一个 MambaBlock,正向捕获从健康到退化的因果趋势,反向从失效端回溯退化模式。每个 MambaBlock 内部包含因果卷积 + 选择性状态空间模型(SelectiveSSM),SSM 的 B、C、Δt 均由输入动态生成,实现输入依赖的选择性信息过滤。

  • ②跨特征混合(FeatureMixing):在每个时间步上对 33 个特征做跨通道交互(Channel Mixing FFN),捕获特征间的相互依赖关系,计算量小且效果好。

  • ③RBF-KAN 预测头:用径向基函数(高斯 RBF)替代传统 MLP 的固定激活函数。每条边拥有可学习的激活函数,由 RBF 中心和带宽参数化。相比 B-spline KAN,RBF 处处光滑可微,梯度流畅无死区。

  • 三路池化:last(利用 Mamba 递归终态信息)+ mean(全局平均统计)+ max(捕获峰值特征),三路拼接后送入 KAN 头。

5.2 对比模型

为验证 BiMamba-KAN 的有效性,项目还实现了 6 种对比模型:

| 模型 | 说明 | | --- | --- | | BiMamba-KAN | 双向Mamba + RBF-KAN(本文方法) | | GRU | 双向 GRU 基线 | | ConvLSTM | 1D 卷积 + 双向 LSTM | | Transformer | 标准 Transformer 编码器 | | Informer | 独立 Informer(ProbSparse 注意力) | | PatchTST | 补丁化时间序列 Transformer(ICLR 2023) | | Mamba | 选择性状态空间模型(Gu & Dao, 2024) |

所有模型统一输入 [batch, 10, 33],输出 [batch, 1],在同一框架下公平对比。


六、实验设置

项目支持灵活的实验配置:

  • 自定义训练/测试集:自由指定哪些轴承做训练、哪些做测试

  • 留一法交叉验证:每次留出 1 个轴承做测试,其余 6 个训练,共 7 轮实验

评估指标

  • MSE(均方误差)、RMSE(均方根误差)、MAE(平均绝对误差)

  • R2(决定系数,越接近 1 越好)

  • MAPE(平均绝对百分比误差)

  • SCORE(轴承寿命预测评价指标)


七、实验结果

采用交叉验证的方式,依次交替进行测试验证模型的鲁棒性和泛化能力。例如:采用轴承1,2,4,5,6,7训练,那么就采用轴承3进行测试。以此类推。轴承1_3-1_7模型预测结果如下:

基于小波包阈值去噪-BiMamba-KAN的寿命预测结果如下:

Bearing1-3预测结果:

可以看到基于小波包阈值去噪-BiMamba-KAN模型在Bearing1_3轴承的测试上,竟然达到了97.8%的R2拟合率,并且RMSE直接达到了0.04左右,要知道很多顶级SCI期刊的效果也就是RMSE也就是0.5左右。这证明了小波包阈值去噪+BiMamba-KAN这条路的可行性!

Bearing1-4预测结果:

Bearing1-5预测结果:

Bearing1-6预测结果:

Bearing1-7预测结果:

多模型进行比较

将BiMamba-KAN网络与informer、gru、conv_lstm、transformer、patch_tst、mamba进行比较,结果如下:

Bearing1-3多模型预测对比结果:

Bearing1-4多模型预测对比结果:

Bearing1-5多模型预测对比结果:

对比试验非常充分,剩下两个轴承6和轴承7就不再一一展示了。

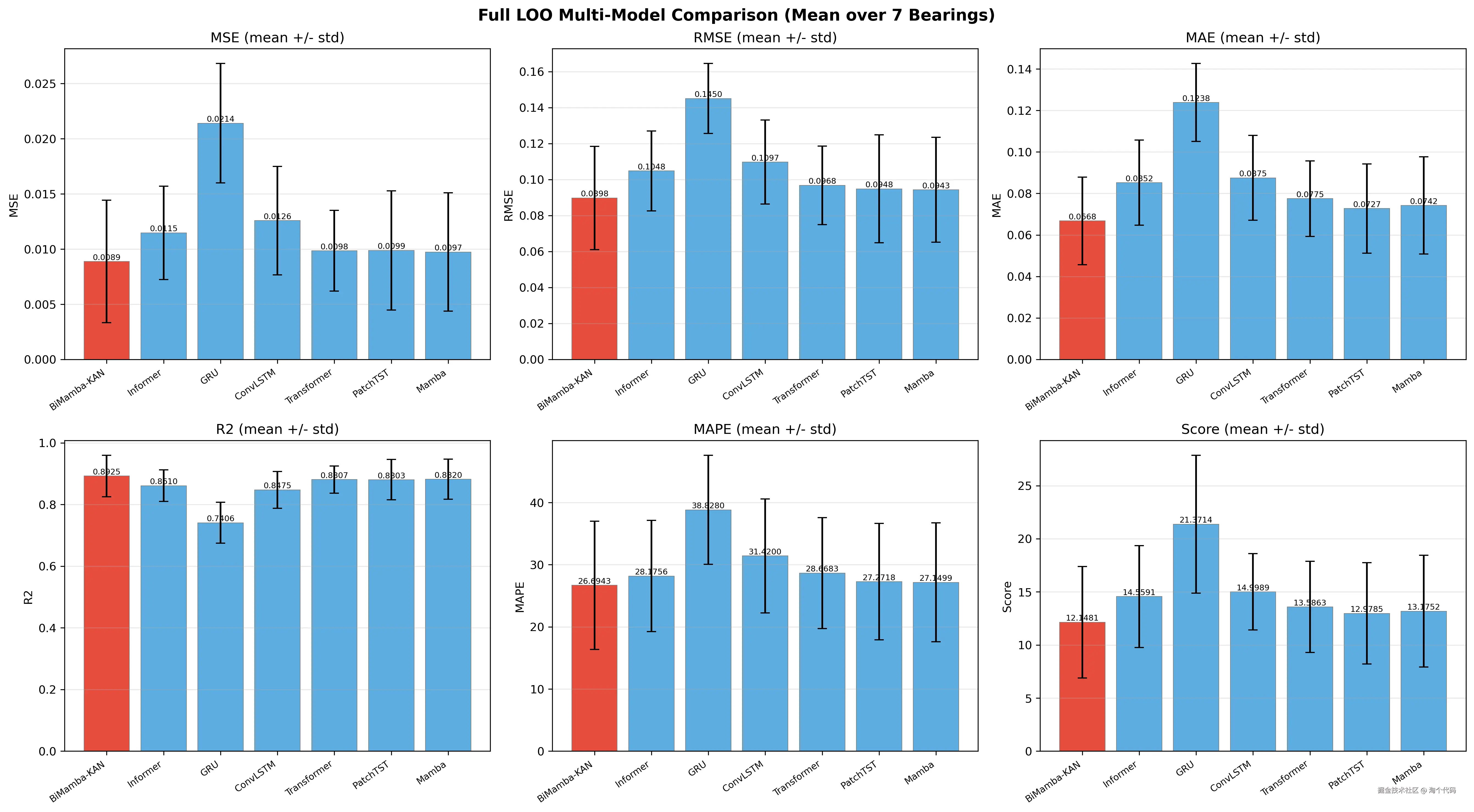
这里附上一张对轴承3~7所有测试结果的一个平均值:

总之,你可以看到,本期推出的这个项目已经做好了所有的对比实验!在 PHM 2012 数据集上,BiMamba-KAN 模型取得了非常高的预测精度,优于 GRU、Transformer、Informer、PatchTST、Mamba 等对比模型。


八、SHAP 可解释性分析

项目还集成了 SHAP(SHapley Additive exPlanations)分析模块,可以直观展示哪些特征对 RUL 预测贡献最大,为理解模型决策提供依据。


九、总结

本项目提出了一种结合信号处理与深度学习的轴承 RUL 预测方法:

  • 小波包阈值去噪:基于 db6 小波包 3 层分解 + BayesShrink 自适应阈值 + 软阈值收缩,有效去除特征退化曲线中的噪声波动,保留真实退化趋势。比 TVFEMD 快一个量级,无需迭代收敛,阈值完全自适应。

  • BiMamba-KAN 模型:双向 Mamba 编码器同时进行时序建模与跨特征交互,RBF-KAN 预测头以可学习激活函数实现高精度非线性映射,三路池化充分利用状态空间模型的递归终态信息。

  • 完整实验框架:支持 7 种模型对比、留一法交叉验证、自定义训练/测试划分、SHAP 可解释性分析

在 PHM 2012 数据集上,BiMamba-KAN 模型取得了非常高的预测精度,优于 GRU、Transformer、Informer、PatchTST、Mamba 等对比模型。

十、代码获取.

mbd.pub/o/bread/YZW…

点击下发阅读原文也可直达链接。