Pixelle-Video 部署与操作全流程指南:从容器构建到视频生成的优雅实践

426 阅读9分钟

在数字创作的世界里,最折磨人的往往不是缺乏灵感,而是从“想做一个视频”到“看到第一个画面”之间那道漫长的环境鸿沟。依赖冲突、系统版本不对齐、缺失的底层浏览器内核……报错的红字足以在一瞬间浇灭刚燃起的创作欲。

我们之所以选择容器,并不是为了追赶某种技术时髦,而是为了寻得一份安静。Docker 就像是给这套复杂的 AI 程序打包了一个独立的小宇宙——里面空气清新,气候恒定,不沾染你宿主机上的一丝杂乱。

当你准备好 Docker 与 Docker Compose 后,通往 Pixelle-Video 的路其实只有短短的三步:拉取代码,启动容器,然后在浏览器里配置你的生成逻辑。至于中间那些泥泞的坑洼,这份指南会陪你一一跨过。

1 沙盒筑基:Docker 一键部署

1.1 拉取与构建

一切的开端,始于将代码拉取至本地:

git clone https://github.com/AIDC-AI/Pixelle-Video.git
cd Pixelle-Video

随后,我们将启动构建流程。由于国内网络环境的特殊性,建议在构建时开启镜像加速。

💡 终端语法差异提示: 如果你使用的是 PowerShell,环境变量的声明方式较为优雅,需用 $env: 起头,并用分号 ; 衔接后续命令:

$env:USE_CN_MIRROR="true"; docker compose build --no-cache

等构建完成后,再运行启动命令(同样带上环境变量):

$env:USE_CN_MIRROR="true"; docker compose up -d

若你更偏爱传统的 CMD 命令行,则使用 set&& 的组合:

set USE_CN_MIRROR=true && docker compose build --no-cache
set USE_CN_MIRROR=true && docker compose up -d

1.2 破局:Playwright 安装问题排查

在理想的情境下,构建会一气呵成。但现实中,你可能会在 Playwright(用于无头浏览器渲染的底层库)这一步遭遇阻碍。

解决之道在于“化整为零”: 用任意编辑器打开项目根目录下的 Dockerfile,找到那段包含 playwright install --with-deps chromium 的代码块,将其临时删去,只保留 Python 依赖的安装:

RUN export UV_HTTP_TIMEOUT=300 && \
    uv venv && \
    if [ "$USE_CN_MIRROR" = "true" ]; then \
        uv pip install -e . -i https://pypi.tuna.tsinghua.edu.cn/simple; \
    else \
        uv pip install -e .; \
    fi && \
    playwright install --with-deps chromium

改成:

RUN export UV_HTTP_TIMEOUT=300 && \
    uv venv && \
    if [ "$USE_CN_MIRROR" = "true" ]; then \
        uv pip install -e . -i https://pypi.tuna.tsinghua.edu.cn/simple; \
    else \
        uv pip install -e .; \
    fi

保存后,重新执行上述的 build 与 up 命令。此时容器能顺利跑起来,但我们还需要把缺失的浏览器内核补上。

潜入容器内部:

在终端输入:

docker exec -it pixelle-video-api bash

如何判断是否进入到了容器内容,别着急,继续往下看

如果成功,你会发现最左边的提示符变了。

  • 之前是:PS G:\222\Pixelle-Video>

  • 现在会变成类似这样:root@1a2b3c4d5e6f:/app#

只要看到类似 root@xxx:/app#,就说明你已经进入 Docker 容器内部(Linux 环境)了!

然后在当前内部环境下,输入下面的命令进行安装

export UV_HTTP_TIMEOUT=300
uv pip install playwright -i https://pypi.tuna.tsinghua.edu.cn/simple
playwright install --with-deps chromium

🕵️ 为什么不能直接输入 playwright? 项目使用了 uv venv/app/.venv 下创建了隔离的虚拟环境。可执行文件被安放在 .venv/bin/ 的深处,而非系统的公共路径 /usr/local/bin/。理解了这个层级关系,就不会感到迷惑。

跑完后直接退出就行

装好之后在容器里执行:

exit

回到 PowerShell,然后重启让环境生效:

docker compose restart

如果你是在 pixelle-video-api 里装的,但 Web 页面打开报浏览器/Chromium 相关错,那就再对 pixelle-video-web 也执行一遍同样的命令:

docker exec -it pixelle-video-web bash
# 进入后再执行:
export UV_HTTP_TIMEOUT=300
uv pip install playwright -i https://pypi.tuna.tsinghua.edu.cn/simple
.venv/bin/playwright install --with-deps chromium
exit

然后 docker compose restart

1.3 验证服务

当一切尘埃落定,Docker 会在你的本机打通三个窗口:

  • 操作台http://localhost:8501(Web 界面)

  • 调度中枢http://localhost:8000(API 接口)

  • 说明书http://localhost:8000/docs(API 文档)

在浏览器打开 http://localhost:8501,你将看到 Pixelle-Video 的全貌。

2 注入灵魂:核心系统配置

Pixelle-Video 本质上是一个调度中心,它自身并不生产算力,而是优雅地指挥外部的 AI 模型为你效劳。因此,首次进入 Web 界面,展开左侧的「⚙️ 系统配置」是必做的功课。

【局部流程图:系统配置与外部依赖关系】

2.1 赋予文采:配置 LLM

在预设下拉框中,你可以选择各类大模型厂商。若追求极致的稳定或零成本,甚至可以指向本地部署的 Ollama 地址。

获取对应平台的 API Key 并填入,这是赋予视频“思想”的钥匙。

这里我选择Custom自定义厂商。这里我选择的依旧是**蓝耘MaaS平台****。嘎嘎好用**

  • 获取密钥:点击「🔑 获取 API Key」前往对应平台申请,填入输入框。

2.2 赋予视觉:配置图像生成服务

这里有两种路径供你选择:

  • **本地造物:**填入本地 ComfyUI 的地址。

    ⚠️ Docker 网络的破壁法则: 切记,Pixelle 运行在 Docker 的沙盒内,它眼中的 127.0.0.1 是容器自己,而非你的电脑。因此,地址必须写为 host.docker.internal:8188(Win/Mac 适用)或宿主机的实际内网 IP(Linux 适用),这样才能穿透容器壁垒,握手宿主机上的 ComfyUI。

  • **云端捷径:**填入云端服务(如 RunningHub)的 API Key,开箱即用。

配置妥当后,点击「测试连接」,看到绿灯亮起,即可保存配置。

3 挥棒指挥:视频生成操作指南

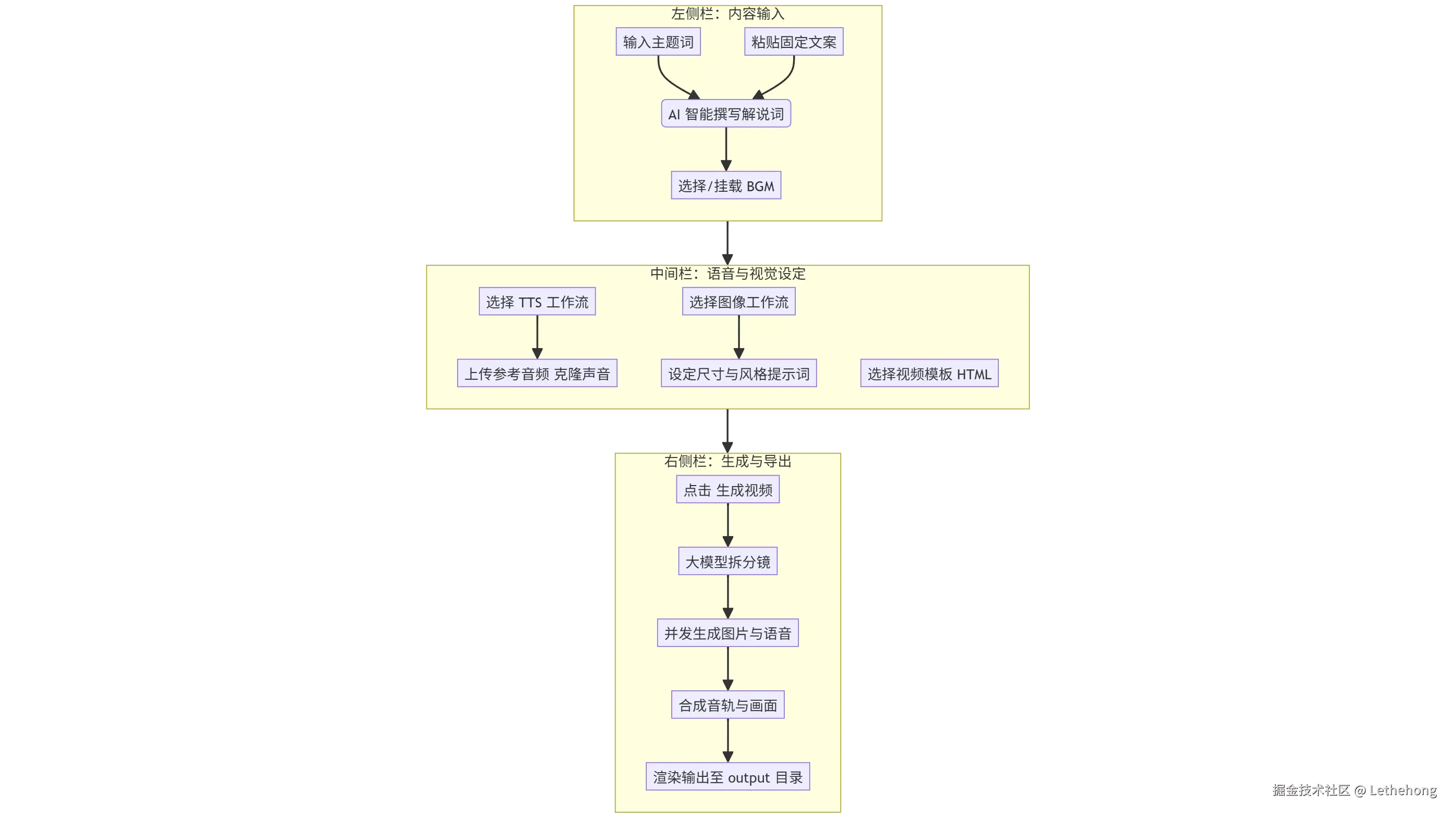
配置就绪后,便进入了最令人期待的流水线作业环节。整个界面的布局宛如一张调音台:左输入、中调音、右输出。

【全局流程图:一条视频的诞生始末】

3.1 意念落笔(左侧栏)

你可以输入诸如“为什么养成阅读习惯”的主题,让 LLM 为你铺陈文案;也可以直接抛入精心打磨的脚本。

关于背景音乐(BGM),除了内置音源,Docker 的 Volume 挂载技术允许你将本地 MP3 文件丢进宿主机的 data/bgm/ 文件夹,容器会自动感知并映射。

3.2 勾勒轮廓(中间栏)

  • **声音的形状:**选择 TTS 工作流(如 Edge-TTS)。若需定制音色,上传一段几秒钟的参考音频,点击「预览语音」试听,确保叙述者的灵魂附体。

  • **画面的皮囊:**指定图像生成工作流(默认 image_flux.json)。在提示词前缀中填入如

    “Minimalist black-and-white matchstick figure style illustration”

    (极简黑白火柴人风格插画)这样的描述,点击「预览风格」进行微调。

  • **承载的容器:**选择对应的 HTML 视频模板。同样,你可以通过替换宿主机 data/templates/ 目录下的文件,来实现自定义模板的永久挂载。

3.3 见证奇迹(右侧栏)

一切设定停当,点击右上角的「🎬 生成视频」。 此时,你只需静静看着进度条推进。系统会在后台如同精密的钟表般运转:拆分镜头、并发生成图像与语音、混入 BGM、按照模板排版…… 最终的视频将被持久化保存在宿主机的 output/ 目录下。无论你日后如何删除或重建容器,这份作品都不会遗失。

4 运筹帷幄:运维与自动化

4.1 日常运维心法

Docker 赋予了我们随时重来、却又不必担心的底气。掌握几条简单的命令,足以应对日常所需:

  • 听诊排错:docker compose logs -f (实时追踪日志,是排查报错的第一利器)

  • 休眠服务:docker compose down (优雅停止并移除容器,但不删数据)

  • 版本更迭:docker compose up -d --build (拉取最新代码后,一键重新构建并启动)

4.2 配置的永恒

首次启动时,系统会以 config.example.yaml 为蓝本,在项目根目录生成 config.yaml。你在 Web 界面点下的每一次“保存”,都会被刻录进这个文件。得益于 Docker Volume 的映射机制,这份配置拥有了超越容器生命的永恒性。

4.3 跨越界面的自动化

当你不再满足于点击界面,渴望将 Pixelle-Video 嵌入到自己的内容生产流水线中时,API 便是对你敞开的后门。 访问 http://localhost:8000/docs 这里有基于 Swagger UI 生成的详尽接口说明书。按照其中的参数格式,发送一个简单的 POST 请求,你就可以在另一台服务器、一个定时脚本、甚至是一篇博客的发布钩子中,悄无声息地批量生成视频。

尾声

折腾环境的过程,本质上是在和工具较劲;而创作的过程,应该是人和灵感的共舞。

Pixelle-Video 通过 Docker 这种形式,把那些繁琐的依赖、冲突、环境变量统统锁进了一个黑盒里。它退到了幕布后面,安安静静地做一个不知疲倦的齿轮。

无论你是喜欢坐在屏幕前,在 Web 界面里一点点调整提示词、试听音色,享受亲手打磨一件作品的掌控感;还是倾向于写一段脚本,通过 API 让服务器在深夜里自动渲染出上百条视频,去迎合流量的规则——这套工具都能接得住。

代码库会陈旧,框架会迭代,但把复杂留给自己、把简单交给用户的做事哲学不会变。现在,环境已经跑通了,浏览器里的页面正空空荡荡地等着你。

去填满它吧。去输入你的第一个主题,去生成属于你的第一帧画面。至于剩下的事,交给容器就好。