超高创新来了!基于TVFEMD-并行GRU-Informer的轴承剩余寿命预测+SHAP分析,效果超好!

24 阅读7分钟

一、研究背景

本项目提出了一种 TVFEMD 退化趋势去噪 + GRU-Informer 双分支混合模型 的轴承 RUL 预测方法。

并与6种近年来非常优秀的模型进行对比,对比代码都已经写好了。6种模型包括:

  • gru_informer

  • informer

  • gru

  • conv_lstm

  • transformer

  • patch_tst

  • mamba


二、整体框架

本项目的方法流程分为四个阶段:

原始振动信号

    │

    ▼ 特征提取:提取 33 维时频域特征

    │

    ▼ TVFEMD 去噪:对特征退化趋势曲线进行分解,按能量占比筛选 IMF,去除噪声

    │

    ▼ 滑动窗口:构建时序样本 (window_size=10)

    │

    ▼ 模型预测:GRU-Informer 双分支融合 → 输出 RUL

三、数据集

使用 IEEE PHM 2012 轴承全寿命退化数据集。

  • 工况条件1下 7 个轴承(Bearing1_1 ~ Bearing1_7)

  • 采样频率 25.6 kHz,每次采集 0.1 秒(2560 个数据点),每 10 秒采集一次

  • 每个轴承从健康状态运行到失效,采样数从 800 余次到 2800 余次不等


四、特征提取与 TVFEMD 去噪

4.1 33 维特征提取

对每个振动采样(2560 个点)提取 33 维特征:

  • 时域特征(18 个):均值、方差、峰度、偏度、均方根、峰值因子、波形因子、脉冲因子、裕度因子、香农熵等

  • 频域特征(15 个):Hilbert 包络特征、频谱重心、频谱扩展、频谱熵、主频、四个频段能量占比等

这样每个轴承就得到了 33 条特征随时间变化的退化趋势曲线。

4.2 TVFEMD 退化趋势去噪

原始特征退化曲线中存在较多波动,并非所有变化都反映真实退化。我们采用 TVFEMD(时变滤波经验模态分解) 对每条趋势曲线进行去噪:

  1. 分解:将退化曲线分解为多个 IMF(本征模态函数)分量,从高频到低频排列

  2. 能量占比筛选:计算每个 IMF 的能量占全部 IMF 总能量的比例,保留能量占比 ≥ 3% 的分量

  3. 去噪重构:将保留的 IMF 分量求和,得到去噪后的退化趋势

相比于传统的基于相关系数的 IMF 筛选方法,能量占比筛选更具物理意义——高频噪声分量天然能量较低,能够被有效滤除。

这里以Bearing1_1为例展示一下Tvfemd对指标的的降噪效果。

剩下轴承就不再一一展示,代码一件运行即可对所有轴承进行特征提取与降噪。

4.3 滑动窗口

将去噪后的 33 维特征按 window_size=10、stride=1 的滑动窗口切分,得到形如 (n_windows, 10, 33) 的时序样本。每个样本包含连续 10 个采样时刻的 33 维特征,保留了完整的时序结构。

RUL 标签归一化到 [0, 1],1.0 表示轴承生命初期,0.0 表示失效时刻。


五、模型架构

5.1 GRU-Informer 双分支混合模型

本项目的核心模型 GRU-Informer 采用双分支结构:

输入 [batch, 10, 33]

    ┌──────────────────────┬──────────────────────┐

    │   Informer 分支       │   GRU 分支            │

    │                      │                      │

    │ 转置为变量级视角       │ 直接输入时序数据       │

    │ [B, 33, 10]          │ [B, 10, 33]          │

    │       ↓              │       ↓              │

    │ 变量嵌入 + 位置编码    │ 双向 GRU (2层)        │

    │       ↓              │       ↓              │

    │ ProbSparse 注意力 ×2  │ 取最后隐状态          │

    │ (捕获特征间依赖)      │ (捕获时序退化趋势)    │

    │       ↓              │       ↓              │

    │ 投影 → 64 维          │ 投影 → 64 维          │

    └──────────┬───────────┴──────────┬───────────┘

               │       拼接 128 维     │

               │           ↓          │

               │  注意力权重 (softmax)  │

               │     加权融合 → 64 维   │

               │           ↓          │

               │   MLP: 64→32→16→1    │

               ▼                      │

          RUL 预测值 [batch, 1]

核心设计思想

  • Informer 分支:将输入转置为变量级视角,通过 ProbSparse 自注意力机制建模 33 个特征之间的相互依赖关系。ProbSparse 注意力仅对最活跃的 query 计算完整注意力,降低了计算复杂度。

  • GRU 分支:双向 GRU 直接建模窗口内 10 个时间步的退化趋势。

  • 注意力融合:两个分支的输出拼接后,通过一个学习的 softmax 注意力权重动态决定每个分支的贡献度,实现自适应融合。

5.2 对比模型

为验证 GRU-Informer 的有效性,项目还实现了 6 种对比模型:

| 模型 | 说明 | | --- | --- | | GRU-Informer | 双分支混合模型(本文方法) | | GRU | 双向 GRU 基线 | | ConvLSTM | 1D 卷积 + 双向 LSTM | | Transformer | 标准 Transformer 编码器 | | Informer | 独立 Informer(ProbSparse 注意力) | | PatchTST | 补丁化时间序列 Transformer(ICLR 2023) | | Mamba | 选择性状态空间模型(Gu & Dao, 2024) |

所有模型统一输入 [batch, 10, 33],输出 [batch, 1],在同一框架下公平对比。


六、实验设置

项目支持灵活的实验配置:

  • 自定义训练/测试集:自由指定哪些轴承做训练、哪些做测试

  • 留一法交叉验证:每次留出 1 个轴承做测试,其余 6 个训练,共 7 轮实验

评估指标

  • MSE(均方误差)、RMSE(均方根误差)、MAE(平均绝对误差)

  • R2(决定系数,越接近 1 越好)

  • MAPE(平均绝对百分比误差)

  • SCORE(轴承寿命预测评价指标)


七、实验结果

采用交叉验证的方式,依次交替进行测试验证模型的鲁棒性和泛化能力。例如:采用轴承1,2,4,5,6,7训练,那么就采用轴承3进行测试。以此类推。轴承1_3-1_7模型预测结果如下:

基于TVFEMD-并行GRU-Informer的的寿命预测结果如下:

Bearing1-3预测结果:

可以看到基于TVFEMD-并行GRU-Informer模型在Bearing1_3轴承的测试上,竟然达到了98%的R2拟合率,并且RMSE直接达到了0.03左右,要知道很多顶级SCI期刊的效果也就是RMSE也就是0.5左右。这证明了TVFEMD降噪这条路的可行性!

这里贴一张来自于一篇文献(Adaptive Res-LSTM Attention-based Remaining Useful Lifetime Prognosis of Rolling Bearings)的结果(这里仅做对比,并无拉踩的意思!)

Bearing1-4预测结果:

Bearing1-5预测结果:

Bearing1-6预测结果:

Bearing1-7预测结果:

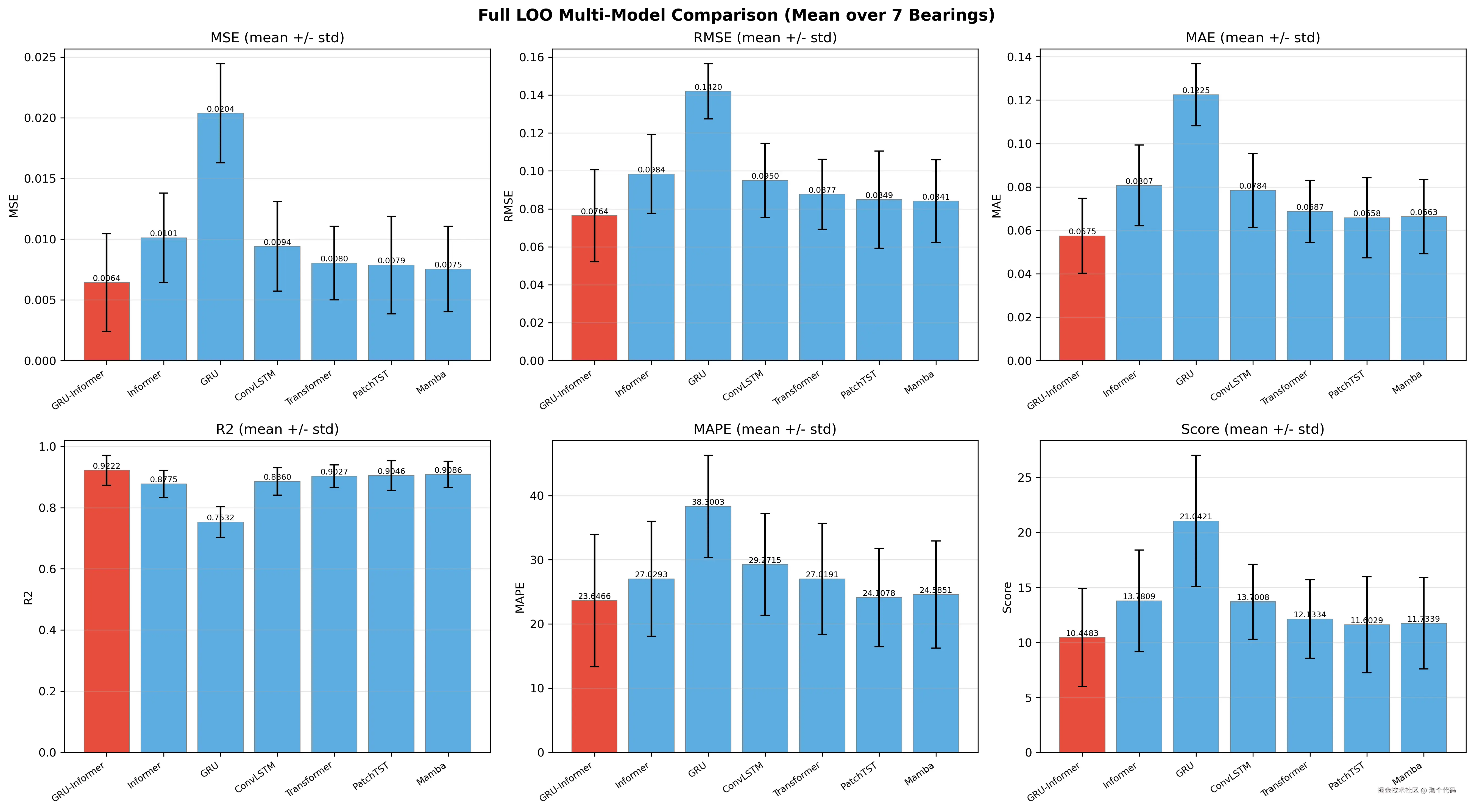
多模型进行比较

将并行GRU-Informer网络与informer、gru、conv_lstm、transformer、patch_tst、mamba进行比较,结果如下:

Bearing1-3多模型预测对比结果:

Bearing1-4多模型预测对比结果:

Bearing1-5多模型预测对比结果:

对比试验非常充分,剩下两个轴承6和轴承7就不再一一展示了。

这里附上一张对轴承3-7所有测试结果的一个平均值:

总之,你可以看到,本期推出的这个项目已经做好了所有的对比实验!在 PHM 2012 数据集上,GRU-Informer 模型取得了非常高的预测精度,优于纯 GRU、Transformer、Informer、PatchTST、Mamba 等对比模型。


八、SHAP 可解释性分析

项目还集成了 SHAP(SHapley Additive exPlanations)分析模块,可以直观展示哪些特征对 RUL 预测贡献最大,为理解模型决策提供依据。


九、总结

本项目提出了一种结合信号处理与深度学习的轴承 RUL 预测方法:

  • TVFEMD 去噪:基于能量占比筛选 IMF 分量,有效去除特征退化曲线中的噪声波动,保留真实退化趋势

  • GRU-Informer 混合模型:Informer 分支捕获特征间依赖,GRU 分支捕获时序退化趋势,通过注意力加权自适应融合

  • 完整实验框架:支持 7 种模型对比、留一法交叉验证、自定义训练/测试划分、SHAP 可解释性分析

在 PHM 2012 数据集上,GRU-Informer 模型取得了非常高的预测精度,优于纯 GRU、Transformer、Informer、PatchTST、Mamba 等对比模型。

十、代码获取

mbd.pub/o/bread/YZW…

点击下发阅读原文也可直达链接。