链表:1.移除链表元素[LeetCode.203]

0 阅读1分钟

题目描述

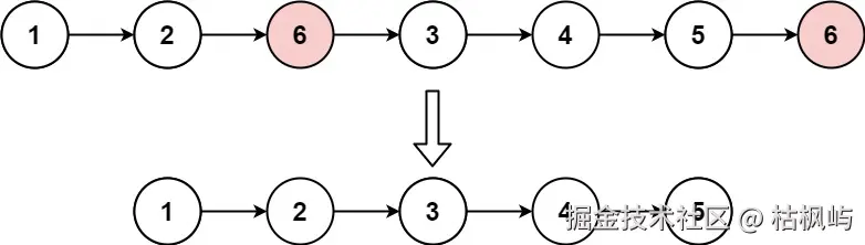
给你一个链表的头节点 head 和一个整数 val ,请你删除链表中所有满足 Node.val == val 的节点,并返回 新的头节点 。

示例 1:

输入: head = [1,2,6,3,4,5,6], val = 6
输出: [1,2,3,4,5]

示例 2:

输入: head = [], val = 1
输出: []

示例 3:

输入: head = [7,7,7,7], val = 7
输出: []

代码实现:

/**
 * Definition for singly-linked list.
 * struct ListNode {
 *     int val;
 *     ListNode *next;
 *     ListNode() : val(0), next(nullptr) {}
 *     ListNode(int x) : val(x), next(nullptr) {}
 *     ListNode(int x, ListNode *next) : val(x), next(next) {}
 * };
 */
class Solution {
public:
    ListNode* removeElements(ListNode* head, int val) {
        ListNode* dummy = new ListNode(0);//虚拟头节点
        dummy->next = head;

        ListNode* cur = head;
        ListNode* prev = dummy;
        while(cur!=nullptr ){
            ListNode* next = cur->next;
            if(cur->val == val){
                prev->next = next;
                delete cur;
            }else{
                prev = cur;
            }
            cur = next;
        }
        ListNode* newHead = dummy->next;
        delete dummy;
        return newHead;
    }
};