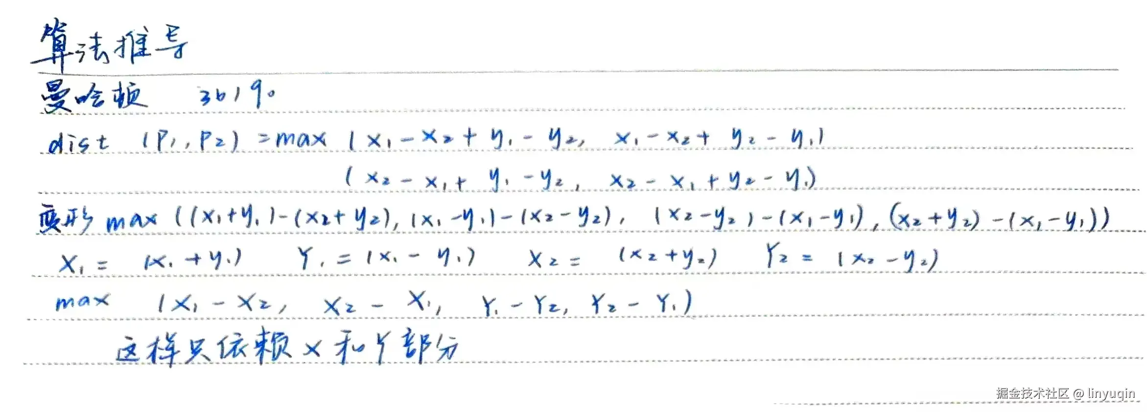
代码
#include <bits/stdc++.h>
using namespace std;
using ll=long long;
ll n,x[1<<18],y[1<<18];
ll q,t[1<<18];
ll mix=(1ll<<60),mx=-(1ll<<60);
ll miy=(1ll<<60),my=-(1ll<<60);
void so(){
}int main(){
ios::sync_with_stdio(0),cin.tie(0),cout.tie(0);
cin>>n>>q;
for(int i=1;i<=n;i++)cin>>x[i]>>y[i];
for(int i=1;i<=q;i++)cin>>t[i];
for(int i=1;i<=n;i++){
ll p1=x[i]+y[i];
ll p2=y[i]-x[i];
x[i]=p1;
y[i]=p2;
mix=min(mix,x[i]);
mx=max(mx,x[i]);
miy=min(miy,y[i]);
my=max(my,y[i]);
}for(int i=1;i<=q;i++){
ll ret1=abs(x[t[i]]-mix);
ll ret2=abs(x[t[i]]-mx);
ll ret3=abs(y[t[i]]-miy);
ll ret4=abs(y[t[i]]-my);
cout<<max({ret1,ret2,ret3,ret4})<<'\n';
}
}
思路
