引入 Copilot,AI 时代的报表开发新范式

57 阅读12分钟

AI 时代,软件开发相关工作正被全面重塑——从理解意图、自动生成代码,到补全逻辑、辅助调试错误、自动编写测试用例,AI 已深度融入开发的每一个环节,推动整个领域经历前所未有的生产力重构
然而,在这场重构的浪潮中,报表开发,这一同样属于技术人员的开发环节,却像一个被遗忘的孤岛,迟迟未能迎来自己的智能时刻

01 报表开发为何成为“数字化孤岛”?

报表开发成为“数字化孤岛”现象是由于报表开发领域的独特困境,与通用编程不同,报表是一项多维度的复合任务:它需要同时处理数据提取、业务逻辑转换、可视化呈现和交互设计,一份典型的管理报表,往往同时包含多级分组、交叉汇总、动态格式和跨行计算,这些逻辑交织在一起,无法用线性的文本代码简单描述,而业界除了代码层面,其他环节都缺乏公开的训练数据,巧妇难为无米之炊
正因如此,市场上一直缺少真正为报表场景而生的智能助手,直到润乾报表 Copilot的正式登场,这个孤岛终于被打通,它不仅是一个新功能的问世,更标志着报表开发正式迈入 AI 协同的全新范式

02 范式重构:从“人适应工具”到“工具理解人”

如果说传统报表工具的核心逻辑是“人适应工具”——开发者需要学习复杂的函数语法、记忆繁琐的操作路径、理解抽象的坐标概念,那么润乾报表 Copilot 的出现,则颠覆了这一逻辑,开启了“工具理解人”的新范式

这一转变并非简单地接入一个大语言模型,润乾团队深入分析了各类复杂报表的开发痛点后,自主研发了一套专为报表领域优化的轻量化规则引擎,该引擎的设计初衷只有一个:让工具真正理解报表开发者的语言
它听得懂什么是“左表头”和“上表头”,明白“组内排名”与“同环比计算”的业务含义,能精准处理多层嵌套与交叉统计
开发者不再需要思考“这个功能在哪个菜单里”,只需说出“生成报表 左表头 地区、城市 上表头 产品类别”;不再需要记忆“层次坐标的语法怎么写”,只需告诉它“C3 组内降序排名 ”;不再需要逐格检查样式是否统一,只需指令“选中所有金额小于 1000 的单元格 红色加粗”

从“如何操作”到“要什么结果”,人机交互的逻辑被彻底翻转,这正是 AI 时代工具进化的本质方向

03 润乾 Copilot 实践

润乾报表 Copilot 的能力并非停留在概念层面,而是已经实现并贯穿报表开发的完整生命周期

数据加载

SQL 查询和文件数据源
加载 SQL “SELECT 货主地区, 货主城市, 雇员 ID, 订单金额 FROM 订单”

文件数据源,一句话直接加载
加载文件 “F:/ 订单信息.xlsx”

制作报表

简单指令就可以实现多层分组交叉类报表
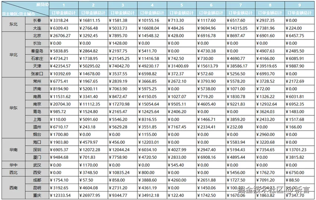
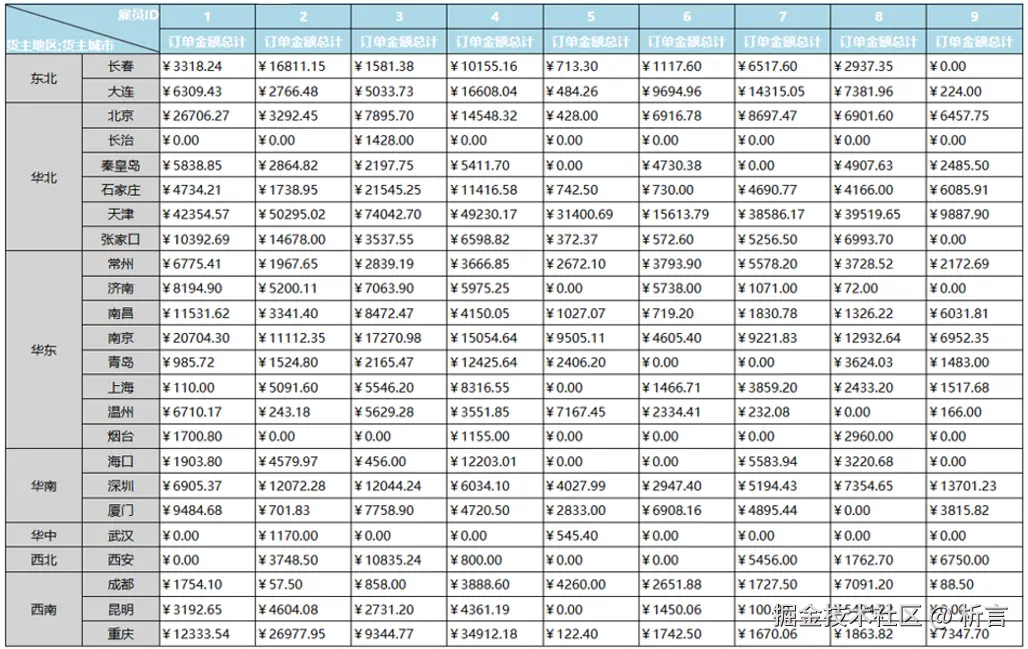
生成报表 左表头 货主地区,货主城市 上表头 雇员 ID 交叉格 订单金额求和
表样效果:

样式调整

简单指令设置繁琐的格式

白色 背景 浅蓝色 居中 加粗
背景色 淡灰色 居中
左对齐 格式 “¥0.00”

甚至支持条件格式,同时设置多项外观:
小于 1000 红色 加粗 大于 10000 暗绿 下划线 否则 黑色
B3 小于等于 5 或者 C3 小于 5000 背景 红色 斜体 D3 小于等于 3 背景 碧绿 下划线 否则 背景 柠檬黄

关联计算

原先比较难的,需要熟练掌握高级函数的,比如不规则分组、分段,跨行组计算排名,同环比等,现在一句话就做好了

分段扩展 横向 订购日期 列表 2022-12-25,2023-10-1,2024-5-1
C3 降序排名 列内

批量选中

有些时候报表做完了,但是业务方看过后发现不妥,需要做一些细节修改,比如:
把报表中所有黑体改成仿宋加粗
把所有行高大于 10 的行背景色改为橙色
这些修改并不难,但是会很繁琐,报表中有很多行列,很多单元格,都得挨个去看是否要改,然后再一个个去改,麻烦而且容易漏掉
现在同样用汉语指令就可以了

选中 字体 黑体
仿宋 加粗

选中 数据区 高度 大于 10
背景色 橙色

两句话就把原本要几十分钟的工作做完了

Copilot 已经覆盖大部分常用需求,彻底解决以往报表工具对新手不友好的痛点,无论是交叉汇总、不规则分组、排名统计等常见数据分析需求,还是复杂外观样式配置,以及做完后的批量修改,均能通过简单汉语指令完成,无需深入理解复杂函数语法与操作规则

实时帮助

润乾报表 Copilot 的汉语解析并没有采用 LLM,而是内部的规则引擎,这样更轻量高效,而且成本低
不过,这也有个坏处,就是要求输入的语句有一定规范性,不能过于随意,其实这对于程序员来讲并不是多大的负担,程序员本来就习惯了更为严格的程序代码,这个 Copilot 要求规范复杂度远远低于程序语言(以及报表原来那些公式),甚至低于 Excel 水平,程序员掌握起来并没有难度,而且,Copilot 还配有贴心的帮助功能,全程辅助用户精准输入指令

在 Copilot 界面输入任意功能关键词时,下方帮助区域会自动匹配并列出对应的完整命令词及所需参数,例如生成分组报表,在 Copilot 界面输入功能词“生成报表”后,帮助区域会即时显示该命令的完整结构,可以清晰看到需补充的参数项(如数据集名称、字段、分组、汇总格等),指引我们精准补充“分组 字段名”等关键信息,确保指令能被 Copilot 准确解析并写入计算表达式

更完整的操作实例可参考:史上门槛最低,AI 时代首款报表工具 Copilot 尝鲜

04 为何采用规则引擎

前面提到过,润乾报表 Copilot 并没有选择通用大模型的技术路径,这源于润乾对报表场景本质的深刻理解:报表需要的是 100% 的精确,而非“可能正确”然后大概输出一个结果

润乾报表 Copilot 的核心,并非一个无所不聊的“大脑”,而是一个精通报表“行规”的“指挥塔”,它通过一套完善精密的规则引擎来理解你的指令,将“左表头”、“组内排名”、“条件格式”等业务意图,精准翻译成报表引擎可执行的逻辑,这带来了四大无可比拟的优势:

  1. 无“幻觉”,稳定可靠:Copilot 的每一步输出都是确定的,它根据规则生成的执行命令是清晰的,如果遇到听不懂的指令,它会提示“无法识别”,而不会像 LLM 编造一个似是而非的结果;Copilot 如果执行错误,也可以追踪错误,完善规则,不像基于 LLM 的方案,其生成逻辑如同“黑盒”,无论对了还是错了,都很难搞清具体原因,改进效果也无法控制
  2. 低风险,私有部署:Copilot 完全在本地运行,无需将任何业务数据或报表结构传递给云端 LLM,这意味着,它可以 100% 私有化部署在企业防火墙内,满足金融、政府、军工等行业对数据安全和合规性的最高要求,彻底杜绝了数据外泄的风险
  3. 低延迟,流畅体验:所有指令的解析和报表的生成都在本地毫秒级完成,你不会感受到任何网络延迟或 LLM 流式输出的等待,获得的是一种“即问即答”的流畅交互体验,让思考与创作无缝衔接
  4. 低成本,环境简单:规则引擎轻量高效,普通的应用服务器即可流畅运行,无需昂贵的 GPU 集群,更不存在按 token 计费的运营成本,这意味着企业能以几乎为零的边际成本,为每一位报表工程师配备这个智能助手,真正实现生产力的普惠升级

05 配合 LLM 兼得灵活与精准

当然,基于规则的 Copilot 要求指令相对规范,它无法理解“小于 100 黄色,大于 120 粉色,其他标红”这种过于随意的口语,而这恰恰是 LLM 的特长,那么,我们能否在保留核心优势的同时,拥抱 LLM 带来的交互灵活性?
答案是肯定的,更理想的架构是让 LLM 与规则引擎“打双打”:让 LLM 充当“智能前台”,负责理解用户随意、口语化的表达,并将其“翻译”成润乾 Copilot 能够识别的、相对规范的自然语言指令;然后,由 Copilot 规则引擎作为“精准执行官”,负责将这句规范指令转化为最终的报表呈现
Copilot 支持多种大模型,比如配置Deepseek的 API

现在我们想按条件修改一下格子的背景色,在对话框中输入自然语言命令
B2 C2 相差小于 100 时为黄色,大于 120 时为粉色,其他为红色
但这句命令不能被 Copilot 解析,会报出错:

使用 LLM 规范一下,就能把自然语言翻译成报表 Copilot 可识别执行的标准命令:

再来一个难的

我们想把日期数据按上面这样一段一段的统计,2022 圣诞前…….2024 五一以后
直接输入自然语言命令就可以了
把订购日期的数据 按这三个时间节点 2022-12-25,2023-10-1,2024-5-1 分段显示

这种“双打”其实是一种典型 Agent 模式:LLM 生成 API 命令执行,只是业界大多采用 json 来描述 API,而润乾报表 copilot 直接采用了规范汉语作为 API 的载体,这会带很多好处:

执行动作易确认、易修改:LLM 的任务是从“随意口语”到“规范书面语”的转换,转换后的结果是一句能看懂的“人话”,程序员可以迅速确认这是否是自己的真实意图,不对也很容易立刻纠正,而 JSON 看懂就不是那么容易了,错误深埋时难以发现,也不容易修改
低幻觉:目标结果,仍然是基本可读的汉语,是句“人话”,而这是 LLM 的“母语任务”,处于其能力圈的舒适区,幻觉率很低
低成本,小模型也能胜任:LLM 的任务被简化为“文字规范化”,它无需理解复杂的数据和报表的业务逻辑,只需完成“语义理解”和“词汇摆位”,这种相对简单的任务,私有化部署的小参数模型也能胜任,这样既享受了 LLM 带来的极致交互友好性,又保持了极低的部署和运行成本

这种协作模式,让报表开发新范式在拥抱 AI 灵活性的同时,牢牢把握住了企业应用最核心的“精准”与“可控”的底线,它不是在效率和准确之间做取舍,而是兼得二者之长

06 加量不加价的商业策略

在软件开发被 AI 重新定义的时代,那些率先拥抱报表 Copilot 的团队,将在效率、创新和竞争力上,占据无可争议的先机
而且占有这样的先机,并不需要多少成本
润乾报表 Copilot 的轻量化架构让它具备了极高的普适性,无需 GPU 集群,无需 token 预算,甚至无需联网,企业可以在任何环境下部署使用,而且,润乾报表本身也不贵,一万一套,三万随便用,这个 Copilot 功能更是“加量不加价”,已包含在润乾报表的最低版本中,这意味着,无论规模大小的团队,都能以极低的成本,迈入报表开发的 AI 时代了