Hot100-Day47-T230二叉搜索树中第K小的元素

20 阅读1分钟

Day47[26/4/16]T230二叉搜索树中第K小的元素

给定一个二叉搜索树的根节点 root ,和一个整数 k ,请你设计一个算法查找其中第 k 小的元素(k 从 1 开始计数)。

示例 1:

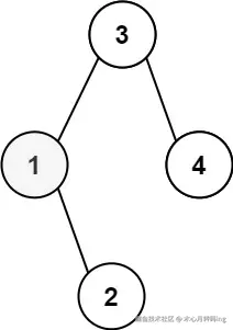
输入:root = [3,1,4,null,2], k = 1
输出:1

示例 2:

输入:root = [5,3,6,2,4,null,null,1], k = 3
输出:3

提示:

  • 树中的节点数为 n
  • 1 <= k <= n <= 104
  • 0 <= Node.val <= 104

进阶:如果二叉搜索树经常被修改(插入/删除操作)并且你需要频繁地查找第 k 小的值,你将如何优化算法?

解题思路

既然是二叉搜索树,那么中序遍历就是严格升序的,所以中序遍历的第 K 个元素就是答案。

然后你如果写了标准的中序遍历,那么必定会遍历整个树,那么你需要提前结束,也就是维护一个全局变量 count 记录你找到第几个元素了,找到了第 k 个的话,就 剪枝 也就是提前返回。(剪枝需要彻底!!!)

Code

struct TreeNode
{
    int val;
    TreeNode *left;
    TreeNode *right;
    TreeNode() : val(0), left(nullptr), right(nullptr) {}
    TreeNode(int x) : val(x), left(nullptr), right(nullptr) {}
    TreeNode(int x, TreeNode *left, TreeNode *right) : val(x), left(left), right(right) {}
};
class Solution
{
public:
    int kthSmallest(TreeNode *root, int k)
    {
        int count = k;
        int result = 0;

        return findKthSmallest(root, count, result);
    }

private:
    int findKthSmallest(TreeNode *root, int &count, int &result)
    {
        if (count == 0) // 剪枝
        {
            return result;
        }

        if (root == nullptr)
        {
            return result;
        }

        // 中序遍历
        findKthSmallest(root->left, count, result);
        if (count == 0) // 再次检查剪枝情况,因为左子树遍历的时候很可能就已经找到了
        {
            return result;
        }

        count--;
        result = root->val;

        findKthSmallest(root->right, count, result);

        return result;
    }
};