OTSM 链路级仿真(ZP / CP / Anchor-Aided)
高速时变信道 OTSM 链路级仿真平台
延迟-序列域建模 + WHT 统一框架 + 可复现实验评估
OTSM 延迟-序列域 WHT 高速多普勒
📌 为什么选择
高速多普勒与长时延使传统时频调制出现 ICI/ISI 与误码地板。平台以延迟-序列域与矩阵化信道统一建模,提供 ZP/CP/AA 的可对比链路评估。
| 痛点 | 方案 |
|---|---|
| 高速多普勒引发 ICI/ISI | 延迟-序列域建模 + LMMSE 均衡 |
| 长时延扩展导致跨块干扰 | ZP/CP 保护机制统一评估 |
| 保护与锚点开销难量化 | 原始/有效吞吐量分离统计 |
| 指标复现与对比困难 | 固定种子与统一统计流程 |
| 参数敏感性难解释 | 时延/速度扫描与对比曲线 |
🎯 核心价值
🔬 学术研究价值
聚焦 OTSM 变换与时变信道建模的可解释推导。
- 延迟-序列域建模
- WHT 正交性证明
- 时变信道矩阵化
- 指标统一定义
💼 工程应用价值
面向 MATLAB 链路级仿真的可复现评估流程。
- 模块化链路流程
- 可复现实验配置
- 绘图与敏感性分析
- 轻量依赖集成
⚡ 技术亮点
🌊 OTSM vs 传统时频调制
| 特性 | 传统方案 | 本方案 |
|---|---|---|
| 变换域 | FFT/SFFT 时频域 | WHT 延迟-序列域 |
| 多普勒鲁棒性 | 高速下性能下降 | 矩阵化均衡抑制 |
| 保护机制 | 单一 CP 或固定结构 | ZP/CP/锚点统一比较 |
| 均衡方法 | 依赖时频估计 | LMMSE 统一求解 |
| 可视化解释 | 时频能量图 | 延迟-序列域热力图 |
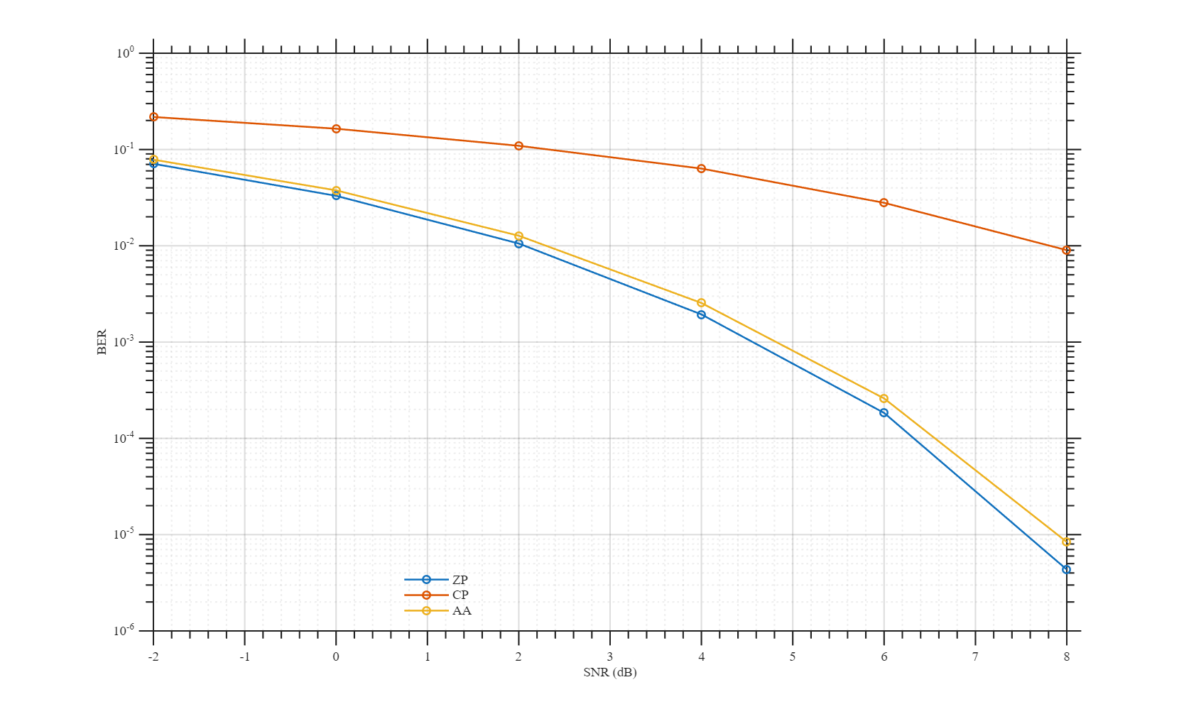
📊 性能指标(实测数据)
数据来源:
sim/plot/out/link_sweep.mat,CDL-D,fc=4 GHz,v=300 km/h,SNR=-2:2:8,帧数=200。
| 场景 | 基线 | 本方案 | 结论 |
|---|---|---|---|
| SNR=-2 dB | CP-OTSM BER=2.177e-1 | ZP-OTSM BER=7.112e-2 | ZP 明显更低 |
| SNR=0 dB | CP-OTSM BER=1.645e-1 | ZP-OTSM BER=3.305e-2 | ZP 显著更优 |
| SNR=4 dB | CP-OTSM BER=6.341e-2 | ZP-OTSM BER=1.938e-3 | ZP 数量级优势 |
| SNR=8 dB | CP-OTSM BER=9.012e-3 | ZP-OTSM BER=4.340e-6 | 高 SNR 优势稳定 |
🎯 时延/多普勒敏感性
该专项用于解释参数变化对 BER 的趋势影响,便于教学与对比分析。
| 参数 | 配置 | 性能 |
|---|---|---|
| 时延扩展 | 30/100/300/800 ns | BER 随扩展上升 |
| 速度 | 60/120/240/360/480 km/h | BER 随速度上升 |
| 保护长度 | 固定 L_g=4 | 吞吐与鲁棒折中 |
🖥️ 运行环境
环境面向 MATLAB 链路级仿真,兼容 5G 信道工具箱。
- 语言:MATLAB(建议 R2023b 或以上)
- 依赖:5G Toolbox,Communications Toolbox(可选)
- 硬件:常规 CPU,建议 ≥16GB 内存
📁 项目结构
OTSM/
├── sim/ # 仿真与可视化
│ ├── plot/ # 演示图生成脚本
│ ├── plot/utils/ # 绘图样式与保存
│ └── plot/out/ # 曲线与中间数据输出
├── src/otsm/ # 核心算法模块
│ ├── otsm_run_snr_sweep.m # SNR 扫描主流程
│ └── otsm_simulate_frame.m # 单帧链路仿真
└── docs/ # 文档体系
├── 算法文档.md # 原理与公式推导
└── images/ # 文档图示目录
📄 文档体系
文档覆盖算法原理、代码结构与实验输出说明。
📘 算法文档
给出 OTSM 变换、信道矩阵与均衡公式的系统推导。
📒 代码文档
描述核心模块职责、数据流与输入输出结构。
💻 核心代码展示
🔥 SNR 扫描主流程
说明:该模块负责批量统计 BER 与吞吐量,形成主曲线数据。
# 读取并校验配置参数
# 遍历 SNR 与帧数并累计统计量
# 输出 BER 与吞吐量序列
🌟 单帧链路仿真
说明:该模块完成调制、信道、均衡与判决的闭环流程。
# 生成比特并映射到延迟-序列域
# 调制并通过 CDL 信道与加噪
# 均衡解调并统计误码
🚀 信道矩阵与均衡
说明:该模块构建时变信道矩阵并执行 LMMSE 求解。
# 由路径增益与滤波器构造时变矩阵
# 形成线性方程并求解均衡结果
# 输出估计符号序列
🎬 一键运行
# 启动 MATLAB 并初始化工程路径
# 配置参数并执行 SNR 扫描
# 运行演示图脚本输出图表
📸 演示图片预览
图片覆盖链路指标与可解释性视图,便于教学与对比分析。








🛒 获取方式
本文代码仅为核心片段,完整版工程已整理好。 关注公众号 【3GPP 仿真实验室】进行获取。
📚 参考文献
- R. Hadani et al., “Orthogonal time frequency space modulation,” IEEE WCNC, 2017.
- P. Raviteja et al., “Interference cancellation and iterative detection for OTFS,” IEEE Transactions on Wireless Communications, 2018.
- 3GPP TR 38.901, “Study on channel model for frequencies from 0.5 to 100 GHz,” 2020.
- S. K. Mohammed, “OTFS: A mathematical foundation,” arXiv:2302.08696, 2023.
- F. J. MacWilliams and N. J. A. Sloane, “The Theory of Error-Correcting Codes,” North-Holland, 1977.