Task08:搜索

15 阅读11分钟

@TOC

1. 视频题目

1.1 二分查找

1.1.1 描述

给定一个 n 个元素有序的(升序)整型数组 nums 和一个目标值 target ,写一个函数搜索 nums 中的 target,如果目标值存在返回下标,否则返回 -1。

示例 1:

输入: nums = [-1,0,3,5,9,12], target = 9 输出: 4 解释: 9 出现在 nums 中并且下标为 4

示例 2:

输入: nums = [-1,0,3,5,9,12], target = 2 输出: -1 解释: 2 不存在 nums 中因此返回 -1

提示:

你可以假设 nums 中的所有元素是不重复的。 n 将在 [1, 10000]之间。 nums 的每个元素都将在 [-9999, 9999]之间。

1.1.2 代码

左右两个下标,分别在不同的情况下左移或者右移

class Solution:
    def search(self, nums: List[int], target: int) -> int:
        low = 0
        high = len(nums)-1
        while low<=high:
            mid = low+(high-low)//2
            # 取中点
            if nums[mid] == target:
                return mid
            # 找到即返回
            elif nums[mid] < target:
                low = mid+1
            # 中点偏小则右移
            else:
                high = mid-1
            # 中点偏大则右移
        return -1

1.1.3 总结

中止条件是左右指针错开,相等时仍旧符合条件

而且求中点最好用low+(high-low)//2,防止溢出

1.2 搜索旋转排序数组

1.2.1 描述

整数数组 nums 按升序排列,数组中的值 互不相同 。

在传递给函数之前,nums 在预先未知的某个下标 k(0 <= k < nums.length)上进行了 旋转,使数组变为 [nums[k], nums[k+1], ..., nums[n-1], nums[0], nums[1], ..., nums[k-1]](下标 从 0 开始 计数)。例如, [0,1,2,4,5,6,7] 在下标 3 处经旋转后可能变为 [4,5,6,7,0,1,2] 。

给你 旋转后 的数组 nums 和一个整数 target ,如果 nums 中存在这个目标值 target ,则返回它的下标,否则返回 -1 。

示例 1:

输入:nums = [4,5,6,7,0,1,2], target = 0 输出:4

示例 2:

输入:nums = [4,5,6,7,0,1,2], target = 3 输出:-1

示例 3:

输入:nums = [1], target = 0 输出:-1

提示:

1 <= nums.length <= 5000 -10^4 <= nums[i] <= 10^4 nums 中的每个值都 独一无二 题目数据保证 nums 在预先未知的某个下标上进行了旋转 -10^4 <= target <= 10^4

进阶:你可以设计一个时间复杂度为 O(log n) 的解决方案吗?

1.2.2 代码

其实如果直接暴力的话,是不是可以先把数组变有序,然后再找

就是直接找到开始旋转的点,然后重新拼接,然后再二分查找

说回不改变数组,也就是在原数组上查找,无非是多判断一些情况

大框架上与之前的二分一致,都是取中点比较与目标的大小,然后调整区间

这里需要注意的是,调整区间的时候,要主要此时左右哪个区间有序

也就是,比较完大小之后,下一步是判断有序区间,然后才是调整区间

class Solution:
    def search(self, nums: List[int], target: int) -> int:
        low = 0
        high = len(nums)-1
        while low<=high:
        # 当两点存在区间,允许相等
            mid = low + (high-low)//2
            # 取中点
            if nums[mid]==target :
                return mid
            # 相等则返回
            elif target<nums[mid] :
            # 如果目标值更小
                if nums[low]<=nums[mid]:
                # 如果是左有序的,允许相等
                    if nums[low]==target:
                        return low
                    # target比中点小
                    # 左有序,左比中点小
                    # 因此比较左端点和target
                    # 相等则返回
                    elif nums[low]<target:
                    # target比左端点大
                    # target比中点小
                    # 因此在左区间内
                        high = mid-1
                    else :
                    # 否则就是
                    # target比左端点小
                    # target比中点小
                    # 因此在右区间内
                        low = mid+1
                else:
                # 否则就是右有序的
                # target比中点小
                # 中点比右端点小
                # 因此在左区间内
                    high = mid-1
            else :
            # 如果目标值更大
                if nums[mid]<=nums[high]:
                # 如果是右有序的,允许相等
                    if nums[high]==target:
                        return high
                    # target比中点大
                    # 右有序,右比中点大
                    # 因此比较右端点和target
                    # 相等则返回
                    elif target < nums[high]:
                        low = mid+1
                    # target比中点大
                    # target比右端点小
                    # 右有序
                    # 因此在右区间内
                    else :
                        high = mid-1
                    # target比中点大
                    # target比右端点大
                    # 右有序
                    # 因此在左区间内
                else :
                # 否则就是左有序的
                    low = mid+1
                # target比中点大
                # target比左区间大
        return -1

还有一个精简的写法:

class Solution:
    def search(self, nums: List[int], target: int) -> int:
        if not nums:
            return -1
		# 数组为空
        l, r = 0, len(nums) - 1
        # 左右边界
        while l <= r:
            mid = (l + r) // 2
            # 中点
            if nums[mid] == target:
                return mid
            # 相等则返回
            if nums[0] <= nums[mid]:
            # 左有序情况
                if nums[0] <= target < nums[mid]:
                    r = mid - 1
                # 在有序区间内
                else:
                # 不再有序区间内
                    l = mid + 1
            else:
            # 右有序情况
                if nums[mid] < target <= nums[len(nums) - 1]:
                    l = mid + 1
                # 在有序区间内
                else:
                    r = mid - 1
                # 不再有序区间内
        return -1

1.2.3 总结

我之前的代码,在判断有序的时候,忘记加等号了,所以就报错了

也就是说,假如左区间像是[2,2,2,2,2,2],这是有序的,也就是符合nums[left]<=nums[mid]

我刚开始没发现问题,我还以为是步骤顺序的问题,因为我是先比较中值,再判断有序区间

而视频和题解的方案一般都是,先判断区间,再比较中值,后来发现不是这个的问题

所以在比较大小的时候,一定要注意相等的这个临界条件,不能随便地归给else

2. 作业题目

2.1 对称二叉树

2.1.1 描述

给你一个二叉树的根节点 root , 检查它是否轴对称。

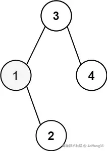
示例 1: 在这里插入图片描述

输入:root = [1,2,2,3,4,4,3] 输出:true

示例 2: 在这里插入图片描述

输入:root = [1,2,2,null,3,null,3] 输出:false

提示:

树中节点数目在范围 [1, 1000] 内 -100 <= Node.val <= 100

进阶:你可以运用递归和迭代两种方法解决这个问题吗?

2.1.2 代码

我最开始的思路,直接就是层次遍历,广度优先搜索,然后就出问题了 在这里插入图片描述 像是示例二这种的,如果遍历到第三层,层内元素的值,正序等于逆序,程序认为合格

但是实际上来说,这两个数值相等的节点,一个在左一个在右,事实上是不对称的

对于这个bad case,我想到的解决办法是补充上另一边缺失的节点,但是需要另一边有值

也就是,如果左孩子缺失,此时检查右孩子,如果存在右孩子,那就补充左孩子

当时这么做,主要是考虑到要避免死循环,否则一直补充下去,无穷无尽,但是还不行

在这里插入图片描述 有这么一个bad case,由于左边的4和右边的5都没有孩子,所以说程序是不会给他们补充子女的

这也就导致了当遍历到叶子节点的这一层,程序会判断对称,但实际上叶子节点的父节点并不对称

所以问题可能还是出在对空节点数值的补充上,我想到之所以遍历不到空节点,是因为并没有将其入队

一般的广度优先搜索,会事先判断孩子是否为空,然后再将孩子入队,所以说就跳过了空节点的遍历

那遍历到空节点似乎也没什么问题吧,改为不检查是否为空,直接将非空节点左右孩子都给入队了

所以说遍历到空节点的时候,我们不访问起.val,而是随便加一个范围外的值,标识这个空节点

然后,就给,过了!过了!过了!我当时其实还是有点担忧下,例如下面这种情况

在这里插入图片描述

我原本是在想,如果在上面的基础上,再加一层,就像67这一层下面才是89这一层,会不会出问题

然后发现并不会,遍历到67的时候直接给过了,并且不影响89null,也不影响判断89的对称

所以说,当叶子节点在89这一层的时候,影响其对称的空节点,只跟67有关,与45无关

45对判断对称的影响,只到下一层,即67。一旦对称之后,再往下到89就无关了,补齐也是对称的

# Definition for a binary tree node.
# class TreeNode:
#     def __init__(self, val=0, left=None, right=None):
#         self.val = val
#         self.left = left
#         self.right = right
class Solution:
    def isSymmetric(self, root: TreeNode) -> bool:
        if not root:
            return True
        # 为空则直接返回
        queue = []
        queue.append(root)
        while queue :
            val = []
            size = len(queue)
            for _ in range(size):
                cur = queue.pop(0)
                if cur:
                    val.append(cur.val)
                    queue.append(cur.left)
                    queue.append(cur.right)
                else :
                    val.append(-200)
            if val != val[::-1]:
                return False
        return True

这是题解思路的代码,也是层次遍历,不过是交错将孩子入队,然后两两比较

class Solution(object):
	def isSymmetric(self, root):
		"""
		:type root: TreeNode
		:rtype: bool
		"""
		if not root or not (root.left or root.right):
			return True
		# 用队列保存节点	
		queue = [root.left,root.right]
		while queue:
			# 从队列中取出两个节点,再比较这两个节点
			left = queue.pop(0)
			right = queue.pop(0)
			# 如果两个节点都为空就继续循环,两者有一个为空就返回false
			if not (left or right):
				continue
			if not (left and right):
				return False
			if left.val!=right.val:
				return False
			# 将左节点的左孩子, 右节点的右孩子放入队列
			queue.append(left.left)
			queue.append(right.right)
			# 将左节点的右孩子,右节点的左孩子放入队列
			queue.append(left.right)
			queue.append(right.left)
		return True

2.1.3 总结

深度和广度优先的适用方向还是不同的,本题从广度的方向思考起来就比较直观

然后就是做题的时候一定要仔细思考题中给出的测试用例,寻找规律,再考虑特殊情况

这里其实是有点像,比较当前子树的叶子节点层的对称,所以说即便是空节点也要入队遍历

只不过是遍历访问到空节点的时候,将标记空节点的值放入列表,而不是节点的数值

2.2 二叉树的中序遍历

2.2.1 描述

给定一个二叉树的根节点 root ,返回它的 中序 遍历。

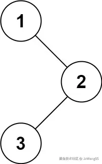
示例 1:

在这里插入图片描述

输入:root = [1,null,2,3] 输出:[1,3,2]

示例 2: 在这里插入图片描述

输入:root = [] 输出:[]

示例 3: 在这里插入图片描述

输入:root = [1] 输出:[1]

示例 4: 在这里插入图片描述

输入:root = [1,2] 输出:[2,1]

示例 5:

在这里插入图片描述

输入:root = [1,null,2] 输出:[1,2]

提示:

树中节点数目在范围 [0, 100] 内 -100 <= Node.val <= 100

进阶: 递归算法很简单,你可以通过迭代算法完成吗?

2.2.2 代码

递归就很简单了,按照顺序访问就好。不为空了继续访问,为空就返回。

class Solution:
    def inorder(self,node):
        if not node:
            return
        self.inorder(node.left)
        self.res.append(node.val)
        self.inorder(node.right)
        
    def inorderTraversal(self, root: TreeNode) -> List[int]:
        self.res = []
        self.inorder(root)
        return self.res

迭代的话,需要显式地维护一个栈,这其实有点像Task05:树的视频里面提到的,访问次数的问题

WHITE是没有到达过,GRAY是第一次到达,第二次到达就将节点的数值加入列表

在这里插入图片描述

如果第一次到达一个节点就访问,那是前序,第二次是中序,第三次是后序

访问顺序照常,但是压栈的顺序要逆反过来,因为栈是先进后出

class Solution:
    def inorderTraversal(self, root: TreeNode) -> List[int]:
        WHITE, GRAY = 0, 1
        res = []
        stack = [(WHITE, root)]
        while stack:
            color, node = stack.pop()
            if node is None: continue
            if color == WHITE:
                stack.append((WHITE, node.right))
                stack.append((GRAY, node))
                stack.append((WHITE, node.left))
            else:
                res.append(node.val)
        return res

2.2.3 总结

如果第一次到达一个节点就访问,那是前序,第二次是中序,第三次是后序

2.3 二叉搜索树中第K小的元素

2.3.1 描述

给定一个二叉搜索树的根节点 root ,和一个整数 k ,请你设计一个算法查找其中第 k 个最小元素(从 1 开始计数)。

示例 1:

在这里插入图片描述

输入:root = [3,1,4,null,2], k = 1 输出:1

示例 2: 在这里插入图片描述

输入:root = [5,3,6,2,4,null,null,1], k = 3 输出:3

提示:

树中的节点数为 n 。 1 <= k <= n <= 104 0 <= Node.val <= 104

进阶:如果二叉搜索树经常被修改(插入/删除操作)并且你需要频繁地查找第 k 小的值,你将如何优化算法?

2.3.2 代码

二叉搜索树是一个有序的结构,其有序的访问应该是中序遍历,每遍历到一个点,计数-1即可

题解当中给的这个中序遍历还挺绕的,应该是迭代的写法,还是到达次数的那个思路

在这里插入图片描述

while循环第一次压入的是红色的那一列,包含了左孩子和父节点

于是栈顶每弹出一个元素访问后,就转向其右孩子

所以当红色序列访问到节点3后,while循环压入了黄色的序列

感觉不如递归的方式更加直观简洁

class Solution:
    def kthSmallest(self, root: TreeNode, k: int) -> int:
        stack = []
        while root or stack:
            while root:
                stack.append(root)
                root = root.left
            # 一值循环到最左的节点
            root = stack.pop()
            # 弹出当前节点
            k -= 1
            # 计数-1
            if k == 0:
                return root.val
            # 计数为0就返回
            root = root.right
            # 访问右子树

2.3.3 总结

二叉搜索树是一个有序的结构,其有序的访问应该是中序遍历

题中的进阶,我原本的思路是另外维护一个最小栈,但发现不行

因为这里是第k小,并不固定,可能前进也可能后退,极富变化

看题解是维护一个平衡搜索二叉树,其中的旋转步骤略难,还没看