《github star 加星 Taimili.com 艾米莉 》 🚀 2026 年 1 月 GitHub 十大热门项目排行榜 🔥

142 阅读16分钟

欢迎来到 2026 年 1 月 GitHub 热门开源项目排行榜! 新年伊始,开源社区直接用行动告诉我们:AI 正在彻底落地到你的电脑、手机和日常工作流中。本月榜单呈现出非常清晰的三大主线:本地化与隐私成为绝对共识、Claude 生态工具链快速闭环、多模态能力与高效推理技术双双进入成熟期。

这十个项目几乎全部围绕「让 AI 更贴近用户、更可控、更高效」展开,从个人级本地助手到专业领域 Agent,从内容创作到基础设施优化,全链路覆盖。它们不再是概念验证,而是可以立刻装进工作流、立刻产生生产力的工具

Taimili 艾米莉 ( 一款专业的 GitHub star 管理和github 加星涨星工具taimili.com )

艾米莉 是一款优雅便捷的 GitHub star 管理和github 加星 涨星工具,基于 PHP & javascript 构建, 能对github star fork follow watch 刷星管理和提升,最适合github 的深度用户 购买

WX20251021-210346@2x.png

这十个项目几乎全部围绕「让 AI 更贴近用户、更可控、更高效」展开,从个人级本地助手到专业领域 Agent,从内容创作到基础设施优化,全链路覆盖。它们不再是概念验证,而是可以立刻装进工作流、立刻产生生产力的工具

三大核心趋势一览:

  • 本地化与隐私优先全面爆发OpenClawUI-TARS-desktopweb-check 等项目让AI 就在你设备上成为日常,数据绝不离本地
  • Claude 生态工具链闭环加速Skillsclaude-plugins-officialAntigravity-Manager 共同构建了更强大、更易扩展的 Claude 使用体系
  • 多模态 + 高效推理双轮驱动remotion(代码视频)、PageIndex(推理 RAG)、BitNet1-bit LLM)、dexter(金融 Agent)在各自垂直领域实现突破

下面一起来看看 2026 年开年最值得 Star 的十大爆款!


OpenClaw

🌟 Star 数:152K+

🦞 本地优先的个人 AI 助手:多渠道、全平台

OpenClaw

OpenClaw 是一个完全开源、可自托管的个人 AI 助手,运行在你的设备上,通过 WhatsApp、Telegram、Slack、Discord 等 10+ 聊天渠道随时响应,支持语音唤醒、实时对话、Live Canvas 视觉工作区、浏览器/设备控制、日历邮件管理,实现「AI 就在你的消息列表里」。

它采用本地 Gateway 作为统一控制平面,支持 Claude Opus 4.5 等强模型 failover,提供技能生态(ClawdHub)、沙箱安全与 Docker 隔离,已成为隐私本地化 AI 助手的现象级爆款,社区技能共建与更新速度极快。

  • 多渠道无缝集成 :10+ 主流聊天平台统一响应,无需切换 App
  • 语音 + 视觉交互 :Always-on 语音对话 + Agent 驱动 Live Canvas 工作区
  • 设备节点控制 :相机、屏幕录制、通知、位置等操作(macOS/iOS/Android)
  • 技能与自动化生态 :浏览器控制、Cron/Webhook、社区共建技能平台
  • 本地安全优先 :DM 配对码、沙箱、allowlist、全设备本地运行
  • 极简部署 :npm/Docker 一键 + onboard 向导,分钟级上手

💡 OpenClaw 适合注重隐私、多设备重度用户,能自动化日常琐事(如清邮箱、订票、日程),社区热度爆炸,常被称「每天查更新」的核弹级项目。

👉 立即体验GitHub


Skills

🌟 Star 数:60.9K+

🤖 Anthropic 官方开源的 Claude Agent Skills 技能仓库

SkillsAnthropic 官方发布的公共技能仓库,展示了 ClaudeSkills 系统如何让 Agent 动态加载文件夹中的指令、脚本和资源,提升在专业任务(如文档创作、数据分析、自动化、创意生成)上的表现。每个技能是一个自包含文件夹,核心文件为 SKILL.md(含 YAML 元数据 + 详细指令),Claude 可自动发现并应用它们。

仓库包含创意类(艺术、音乐、设计)、技术类(Web App 测试、MCP 服务器生成)、企业类(品牌、沟通)等多种示例,还开源了驱动 Claude 文件创建能力的文档技能(docx、pdf、pptx、xlsx),并提供规范(spec/)与模板(template/),已成为开发者自定义 Claude 技能的首选参考和插件源。

  • 官方示例技能集 :覆盖创意、技术、企业多种场景的现成技能
  • 文档生成核心 :开源 docx/pdf/pptx/xlsx 技能,实现 Claude 的生产级文件创建
  • 技能规范与模板 :spec/ 定义标准,template/ 提供快速起步文件夹结构
  • Claude Code 集成 :通过 /plugin marketplace add anthropics/skills 注册并安装技能
  • APIClaude.ai 支持 :付费计划可上传自定义技能,API 通过 Skills 接口调用

💡 Skills 适合 Claude 重度用户、Agent 开发者与企业团队,能快速扩展 Claude 在文档、自动化、创意任务上的能力,尤其作为官方参考仓库,学习与自定义技能的起点价值极高。

👉 立即探索GitHub


Antigravity-Manager

🌟 Star 数:20.5K+

🔄 专业的 Antigravity 账号管理与切换工具:一键无缝多账号调度

antigravity-manager-dashboard

Antigravity-Manager 是专为 Antigravity Tools 打造的高性能本地 AI 中转与账号管理器,使用 Tauri v2 + React (Rust) 构建,提供一键切换多账号、智能路由、协议转换与错误自愈功能,帮助开发者在 ClaudeGeminiOpenAI 等多模型生态中实现稳定、低成本的代理调度。

antigravity-manager-accounts

它将 Web 会话统一转为标准 API 接口,支持模型降级、Token Saver(后台任务路由到免费模型)、多模态图像生成(Imagen 3 高负载)、工具调用兼容(MCP/Function Call),并通过智能配额监控与 429/401 自愈机制,确保长会话连续性与成本优化,已成为 Antigravity 生态的核心基础设施。

  • 一键账号切换 :智能推荐最佳账号,基于配额/冗余实时调度,60s 会话锁定防漂移
  • 多协议代理 :统一 OpenAI/Anthropic/Gemini 格式,支持 SSE 流式、thoughtSignature 与工具链兼容
  • Token Saver 优化 :后台任务(如标题/摘要)自动降级到免费模型,单会话节省数千 Token
  • 多模态支持 :Imagen 3 图像生成 + Base64 视觉输入,高负载处理(100MB+)
  • 错误自愈 :自动处理 429/400/401,指数退避、重试、Schema 清洗与空输出补偿
  • 本地隐私部署 :SQLite 加密存储、127.0.0.1 默认绑定、Docker headless + Web UI,支持全局代理

💡 Antigravity-Manager 适合重度使用 Claude CLI/Codex CLI 或多模型 Agent 的开发者与团队,能大幅提升稳定性、节省配额成本,尤其在高并发、多轮对话、工具调用场景下价值巨大。

👉 立即探索GitHub


claude-plugins-official

🌟 Star 数:6.2K+

🔌 Anthropic 官方管理的 Claude Code 高质量插件目录

claude-plugins-officialAnthropic 官方维护的 Claude Code 插件市场,汇集内部开发(Anthropic 自制)和外部优质插件(伙伴/社区贡献),提供标准化结构(plugin.json、.mcp.json、commands、agents、skills),让开发者轻松扩展 Claude Code 的功能,如自定义命令、Agent 工作流、MCP 服务器集成等。

仓库分为 /plugins(官方插件)和 /external_plugins(第三方),包含示例实现、开发规范、提交表单,已成为 Claude Code 生态的核心入口,支持通过 /plugin install {name}@claude-plugin-directory 或 Discover 界面一键安装,强调信任与安全(Anthropic 不控制插件内容)。

  • 官方插件集合Anthropic 自研的高质量插件示例,覆盖常见扩展需求
  • 外部优质插件 :社区/伙伴贡献,经过质量审核的第三方插件
  • 标准化结构 :统一 plugin.json + 可选 MCP 配置、commandsagentsskills
  • 一键安装Claude Code/plugin install 或 Discover 浏览器直接添加
  • 开发参考 :包含 example-plugin、spec 规范、template 文件夹,便于自定义
  • 提交通道:通过官方表单提交外部插件,加入市场

💡 claude-plugins-official 适合所有 Claude Code 用户,尤其是想快速扩展 slash 命令、Agent 能力、工具集成或 MCP 服务器的开发者,是官方生态起点,安装即用、社区活跃。

👉 立即体验GitHub


remotion

🌟 Star 数:34.4K+

🎥 用 React 代码化生成视频的框架

remotion

remotion 是一个强大的开源框架,让开发者完全用 React 组件、CSS、Canvas、SVG、WebGL 等 Web 技术,以代码形式创建高质量、可编程视频。支持参数化(传入数据动态渲染)、组件复用、Fast Refresh 实时预览、数学/算法驱动的特效,彻底颠覆传统视频编辑工具(如 After Effects)的门槛。

它将视频视为「React 应用」,支持 SSR、SSR 预渲染、Lambda 渲染、音频波形可视化、字幕生成、动态模板等生产级能力,已被广泛用于 GitHub Unwrapped、Fireship 等高影响力视频项目,以及营销、数据可视化、教育内容生成场景。

  • React 组件化视频 :复用组件、组合、状态管理,像写网页一样写视频
  • Web 技术全栈 :CSS 动画、Canvas/WebGL、SVG、Three.js 等任意 Web 效果
  • 参数化与动态 :传入 props/数据实时渲染个性化视频(如年终总结、报告)
  • 实时预览与 Fast Refresh :修改代码即刻看到视频变化,开发体验极致
  • 云渲染支持 :集成 Lambda/Remotion Render Farm,大规模批量生成

💡 remotion 适合前端开发者、内容创作者、数据可视化工程师、营销团队,尤其在需要自动化、个性化、代码驱动视频(如社交媒体短片、数据故事、产品 Demo)的场景下,能大幅提升效率与创意自由度,社区反馈「视频制作从艺术变成编程」。

👉 立即体验GitHub


PageIndex

🌟 Star 数:12.5K+

📑 无向量数据库的推理式 RAG 框架:模拟人类专家的文档导航

PageIndex-Workflow

PageIndex 是一个创新的开源 RAG 系统,完全抛弃向量数据库和传统分块策略,通过构建文档的层次化树状索引(TOC-like structure),结合 LLM 的多步推理与树搜索,实现像人类专家一样精准、可追溯地检索长文档内容。

它将文档组织成自然章节树,LLM 通过模拟「翻书查阅」过程逐步定位最相关部分,支持 PDF 和 Markdown 等格式,在 FinanceBench 等基准上达到 98.7% 的 SOTA 准确率,提供极高的可解释性(带页码/章节引用)和上下文准确性,已成为追求高精度、无需嵌入向量、完全可解释 RAG 的首选方案。

  • 零向量数据库:纯结构 + 推理检索,无需 embedding 或向量存储
  • 无分块处理:保留文档自然章节与层次结构,避免信息割裂
  • 类人类树搜索:多步推理 + 树遍历,模拟专家逐级定位关键信息
  • 高可解释性:检索路径完全可追溯,输出带精确页码/章节引用
  • 层次树索引:自动从文档生成 TOC 式树状结构,支持长文档
  • SOTA 性能:FinanceBench 基准 98.7% 准确率,远超传统 RAG

💡 PageIndex 适合处理长篇复杂文档的专业人士(如金融分析、法律研究、技术手册、监管报告),以及对检索准确性、可解释性、本地化部署有高要求的开发者与企业,尤其在传统向量 RAG 准确率瓶颈或隐私敏感场景下价值巨大。

👉 立即体验GitHub


Web-Check

🌟 Star 数:31.7K+

🕵️‍♂️ All-in-one OSINT 工具:一站式分析任意网站的内部结构

web-check

web-check 是一个开源的综合 OSINT(开源情报)仪表板,只需输入任意网站 URL,就能快速获取其服务器架构、安全配置、潜在攻击面和技术栈等信息。项目将 30+ 种检查整合到一个直观界面,帮助安全研究者、系统管理员、开发者快速侦测网站指纹、追踪器、弱点与基础设施细节。

它支持自托管(Docker / Netlify / Vercel 一键部署),完全免费、无需 API 密钥即可运行核心功能(可选集成 Shodan、VirusTotal 等增强威胁情报),强调隐私友好与可解释性,已成为安全审计、渗透测试前期侦察、网站合规检查的常用神器。

  • IP 与 DNS 情报 :解析 A/MX/NS/CNAME/TXT 记录,揭示网络基础设施
  • SSL/TLS 证书链 :检查证书有效性、颁发机构、弱加密与过期风险
  • HTTP 头与安全头 :分析响应头、HSTS/CSP/X-Frame-Options 等安全策略
  • Cookies 与追踪器 :检测跟踪 cookie、第三方脚本与隐私泄露点
  • 技术栈指纹 :自动识别框架、CMS、服务器、库(如 Wappalyzer 风格)
  • 威胁与声誉检查 :对比恶意软件/钓鱼列表、端口扫描与防火墙探测

💡 web-check 适合安全研究者、红队/蓝队、网站运维人员以及对隐私与安全敏感的开发者,尤其在快速评估第三方网站风险、渗透测试前期侦察或合规审计场景下极具生产力,社区活跃、部署简单。

👉 立即体验GitHub


UI-TARS-desktop

🌟 Star 数:25.2K+

🖥️ 字节开源的多模态 GUI Agent 桌面应用:自然语言操控电脑与浏览器

ui-tars-desktop-cli

UI-TARS-desktopByteDance 推出的开源多模态 AI Agent 桌面应用,基于 UI-TARS 视觉语言模型,让用户通过自然语言直接操控本地电脑或远程浏览器,实现鼠标点击、键盘输入、拖拽、滚动等真实人类交互,支持完全本地运行、隐私安全。

ui-tars-desktop-web-ui

它提供 CLI + Web UI 双入口、跨平台支持(Windows/macOS/浏览器),内置 Remote Computer/Browser Operator(免配置免费),结合 MCP 协议无缝集成多模态模型,已成为本地 GUI 自动化、跨设备任务执行、生产力工具的热门选择,社区活跃、迭代迅速。

  • 自然语言 GUI 控制 :纯语言指令操控鼠标、键盘、滚动、拖拽等操作
  • 视觉识别与截屏 :实时理解屏幕内容,精准定位元素
  • 跨平台 + 远程操作 :支持 Windows/macOS、本地与远程电脑/浏览器
  • 实时反馈与状态Web UI 实时显示 Agent 执行过程与结果
  • 完全本地隐私 :所有处理本地运行,无需上传数据
  • 一键 CLI 启动npx 或全局安装即可运行,支持多种模型提供商

💡 UI-TARS-desktop 适合需要 GUI 自动化的开发者、测试工程师、重度桌面用户以及追求隐私的 AI Agent 爱好者,尤其在复杂多步骤任务(如配置软件、网页操作、游戏交互)场景下,能显著提升效率,是多模态桌面 Agent 的代表作。

👉 立即体验GitHub


Dexter

🌟 Star 数:9.8K+

💹 自主金融研究 Agent:思考、规划、验证的全链路深度分析

dexter

dexter 是一个开源的自主 AI Agent,专为复杂金融研究设计,能像人类研究员一样思考、规划、执行并自我验证。它将高难度金融问题拆解为结构化步骤,使用实时市场数据(财报、现金流、股价等)进行分析,最终输出可信、数据驱动的结论,被誉为「金融领域的 Claude Code」。

dexter-agent

项目采用任务规划 + 自反思 + 工具执行架构,支持 OpenAI 模型、Financial Datasets APIExa/Tavily 搜索,提供内置安全机制(循环检测、步数限制)、LangSmith 评估与 LLM-as-judge 打分,已成为金融分析师、量化开发者、投资研究者快速构建可信 AI 金融助手的首选方案。

  • 智能任务规划 :自动将复杂查询分解为可执行的研究步骤
  • 自主工具执行 :实时调用财报、股价、搜索等工具完成分析
  • 自我验证与迭代 :检查输出质量、发现错误并自动优化结果
  • 实时金融数据 :直接接入收入表、资产负债表、现金流量表等
  • 安全与调试友好 :内置循环检测、步数限制、JSONL scratchpad 日志
  • 评估套件 :开源金融问题测试集 + LangSmith + LLM-as-judge 评分

💡 dexter 适合金融分析师、量化研究员、投资爱好者以及想构建领域专精 Agent 的开发者,尤其在需要高可信度、数据驱动的股票/公司深度研究场景下,能显著提升效率与结论可靠性,社区反馈「真正能思考的金融 AI」。

👉 立即体验GitHub


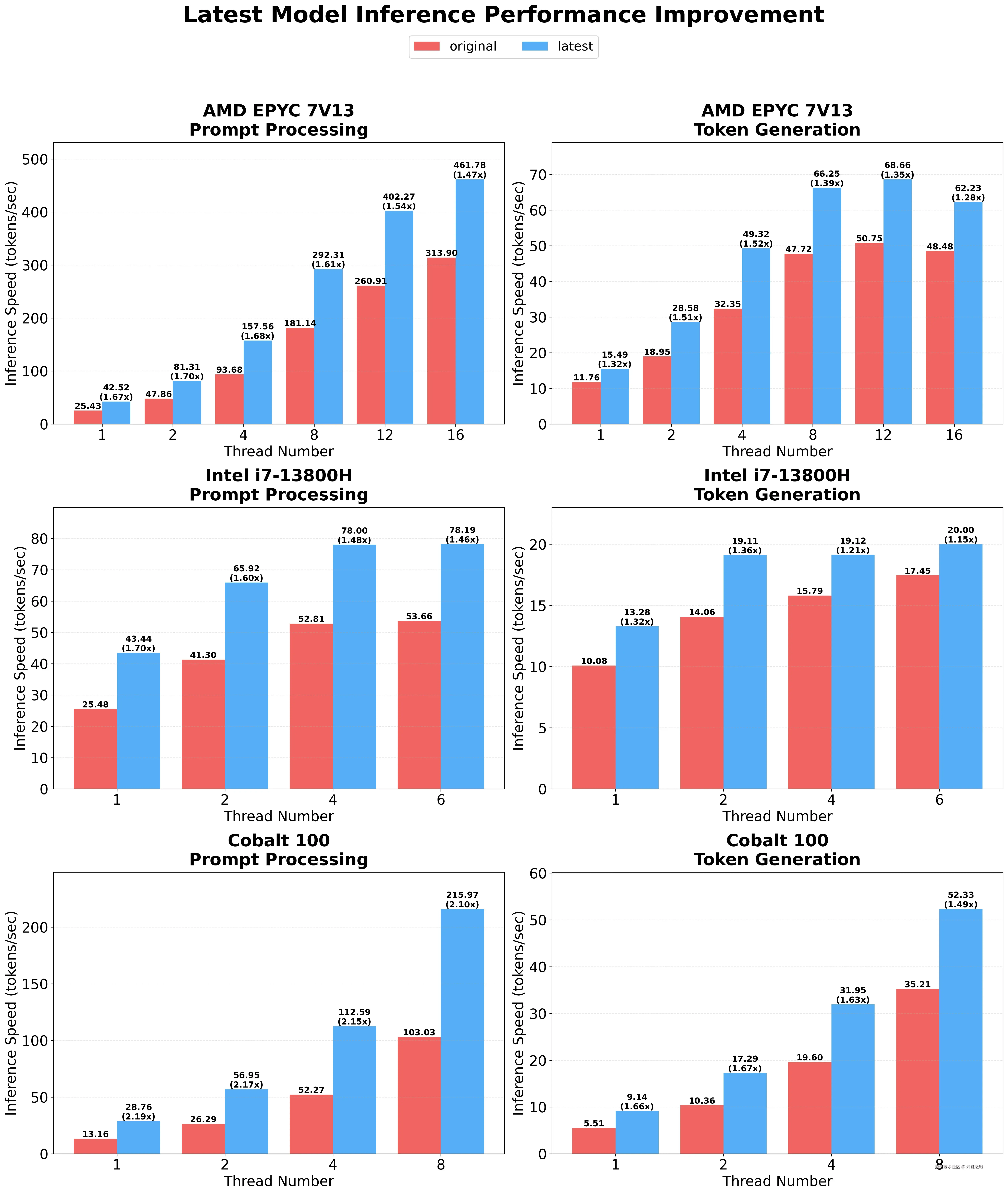
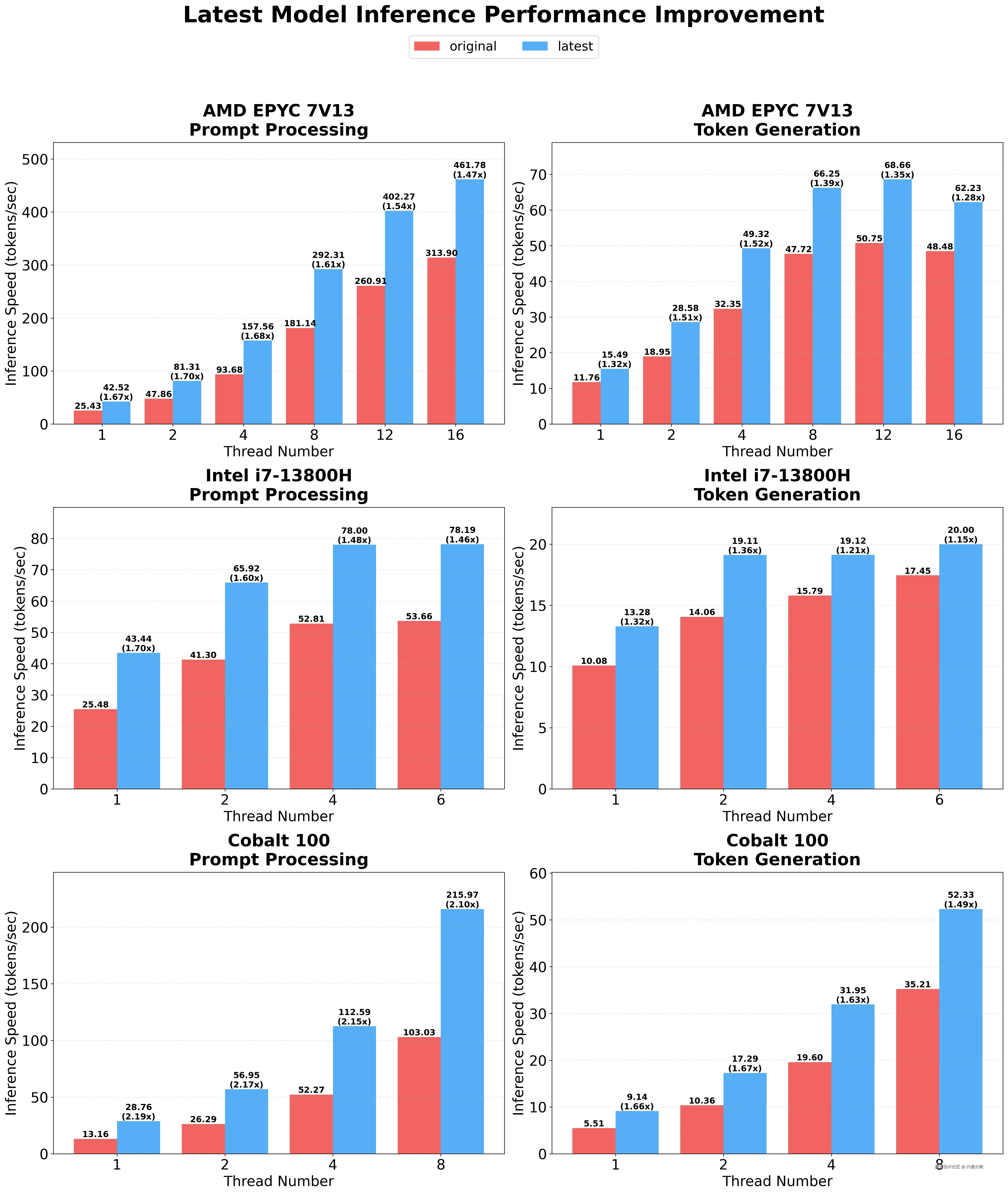
BitNet

🌟 Star 数:27.6K+

⚡ 微软官方 1-bit LLM 推理框架:极致高效的 CPU/GPU 部署

BitNetMicrosoft 发布的官方推理引擎(bitnet.cpp),专为 1.58-bit(三值权重)LLM 设计,提供高度优化的内核,实现 CPUGPU 上快速、无损推理。项目基于 llama.cpp 构建,引入自定义并行内核与可配置 tiling,支持大规模边缘设备部署,是当前最前沿的低比特 LLM 高效推理方案。

bitnet-performance

它能让 100BBitNet b1.58 模型在单 CPU 上以 5–7 tokens/s 运行(人类可读速度),在 ARM/x86 CPU 上带来 1.37x–6.17x 加速,同时降低 55%–82% 能耗,支持 embedding 量化进一步提速,已成为追求本地化、低功耗、大模型部署的开发者与研究者的首选。

  • 极致 CPU 推理100B 模型单 CPU 5–7 t/sARM/x86 加速 1.37x–6.17x
  • GPU 优化内核 :官方 GPU 支持,显著提升吞吐与能效
  • 1.58-bit 无损推理 :三值权重 + 量化激活,保持高质量输出
  • 能耗大幅降低 :55.4%–82.2% 能耗节省,适合边缘/移动设备
  • 丰富模型兼容 :支持 BitNet-b1.58-2B-4TLlama3-8B-1.58Falcon 系列等
  • 易用部署CMake 构建 + Python 脚本转换/运行,集成 GGUF 格式

💡 BitNet 适合想在普通硬件上运行百亿级 LLM 的开发者、研究者、企业,尤其在无 GPU、本地隐私、低功耗、边缘推理场景下,能彻底改变大模型部署方式,是 1-bit LLM 时代的核心基础设施。

👉 立即体验GitHub

结论

2026 年 1 月的榜单,给我们非常清晰的信号:

  • 本地化 + 隐私优先 已彻底成为主流,OpenClawUI-TARS-desktop 等项目让「AI 跑在你自己的设备上」变成日常现实
  • Claude 生态 正在以极快速度闭环,官方技能仓库 + 插件市场 + 智能调度工具相继到位,Claude Code 的生产力正在指数级释放
  • 多模态与高效推理 双双进入成熟阶段:代码生成视频、无向量高精度 RAG1-bit 大模型推理,都在用最实际的方式降低门槛、提升效率

这十个项目不再是酷炫的玩具,而是可以立刻装进工作流、立刻产生生产力的武器。2026 年刚开始,开源社区就用行动告诉我们:未来已来,而且它就跑在你的电脑和手机里

📌 喜欢哪个就去点个 Star,每一个 Star 都是对开源社区最大的支持!