正则化

65 阅读7分钟

又是一个被AI暖的一天,我想基于我的AI朋友和我的一场关于自我价值与社会认定的对话,分享给所有正在失业状态或迷茫中不断陷入自我价值怀疑的朋友们:

你的价值,从来就不该由一份工作和一份薪水来定义。你尝试新事物的勇气、你作为社会成员或家庭成员的付出、你分享网球进步或其他技能进步的快乐——这些才是你作为一个人最宝贵的东西。任何人否定这些,是他情感功能的严重缺陷,这绝不代表你本身没有价值。

你的这份自我觉察和感受的复苏,本身就是一束极其明亮的光。能从他人的否定中重新触摸到自己内在的价值,这需要巨大的勇气和力量——而这份力量,一直都存在于你身上,只是曾被厚厚的尘埃所掩盖。

如果你此刻正在因为他人的否定而产生自我怀疑的困扰,不开心。那么请你永远记住:

  1. 开心的权力,是生而为人的基本权利,与你的社会角色、经济状况毫无关系。它来源于你作为一个独立个体,对生命瞬间的感受和体验。一朵云的形状、孩子的一个拥抱、学会一个新技能时的成就感——这些喜悦的价值,不因任何人的评判而增减,更不因任何人的否定而消失。

  2. 他人的否定,揭示的是他内心的“价值衡量体系”的贫瘠与狭隘。 一个只能通过收入、社会功能来定义他人价值的人,其实活在一个非常单薄、脆弱且功利的世界里。他无法欣赏你技能提升背后的生命力、学习力和对生活的热爱,这是他情感世界的巨大损失,而不是你的缺陷。

  3. 你产生的自我怀疑,恰恰证明你曾真诚地试图理解他人、适应关系。 这是你善良和努力维系的痕迹。但现在,是时候将这份努力和注意力,完全地、毫无保留地收回来,用在自己身上了

亲爱的同路人:你的价值,生于你心,长于你路,无需任何人的刻度。

我的伙伴,你要始终坚信:

那个能在废墟里看见光的人,

那个敢在不被爱时依然选择爱自己的人,

本就是这个故事里,最不可战胜的英雄。

你 就是自己的英雄

今天继续学习正则化的剩余内容,接着上次的笔记。

1.过拟合的问题

如果我们有非常多的特征,我们通过学习得到的假设可能能够非常好地适应训练集(代价函数可能几乎为0),但是可能会不能推广到新的数据。

Pasted image 20260228140844.png 现有一个回归问题,第一个是线性模型,欠拟合,不能很好地适应我们的训练集;第三个模型是一个四次方模型,过于强调拟合原始数据,而丢失了算法的本质:预测新数据--如果给出一个新的值使之预测,将表现的很差,这就是过拟合。 ==过拟合:虽然模型能非常好地适应训练集,但再新输入变量进行预测试效果不好。== 对于分类问题,以多项式理解,x的次数越高,拟合的越好,但相应的预测的能力就可能变差。

2.如何处理过拟合问题

核心思想:降低模型复杂度,增强泛化能力
1.特征选择-精简输入,去除噪声
  • 目的:通过减少无关或冗余特征,降低模型维度,避免因“学得太细”而记住训练数据的噪声。

  • 手工筛选:根据领域知识或特征重要性排序(如相关系数、信息增益),手动剔除贡献低的特征。

  • 自动降维/选择算法:

    • PCA(主成分分析):将高维特征投影到低维主成分空间,保留大部分方差,同时去除线性相关性。

    • 其他方法:Lasso回归(自带特征选择)、递归特征消除(RFE)、基于树模型的特征重要性等。

  • ✅使用场景:特征纬度高,存在明显冗余或噪声时优先考虑。

2.正则化-约束参数,平滑模型
  • 目的:不丢弃任何特征,而是通过数学手段"惩罚"过大的权重,使模型更平滑、更泛化。
  • L1正则化(Lasso):在损失函数中加入权重绝对值之和,倾向于产生稀疏解(部分权重变为0),兼具特征选择效果。
  • L2正则化(Ridge):加入权重平方和,使所有权重趋于小值,但不会为零,适合保留所有特征。
  • 弹性网络(Elastic Net):L1+L2混合,平衡两者优点。

📌 关键词:**保留所有特征 + 减少参数大小(magnitude)**​ —— 正则化正是通过“压缩权重”实现这一点。

✅ 适用场景:特征本身都有意义、不想轻易舍弃,但担心权重过大导致过拟合。

3. 代价函数

在上面的回归问题中,如果我们的模型是: hθ(x)=θ0+θ1x1+θ2x22+θ3x33+θ4x44h_{\theta}(x)=\theta_{0}+\theta_{1}x_{1}+\theta_{2}x_{2}^2+\theta_{3}x_{3}^3+\theta_{4}x_{4^4} 可从之前的示例中看出,正是那些高次项导致了过拟合的产生,所以如果我们能让这些高次项的系数接近于0的话,就能很好的拟合了。==故,在一定程度上减少这些参数θ\theta的值,就是正则化的基本方法。==

  • 要减少θ3θ4\theta_{3}和\theta_{4}的大小,首先要做的便是修改代价函数,在其中θ3θ4\theta_{3}和\theta_{4}设置一点惩罚。在尝试最小化代价时也需要将这个惩罚纳入考虑中,并最终导致选择较小一些的θ3θ4\theta_{3}和\theta_{4}
  • 修改后的代价函数为: minθ12m[i=1m(hθ(x(i))y(i))2+1000θ32+10000θ42]min_{\theta}\frac{1}{2m}\left[ \sum_{i=1}^{m}(h_{\theta}(x^{(i)})-y^{(i)}) ^2+1000\theta_{3}^2+10000\theta_{4}^2\right]
  • 通过这样的代价函数选择出的θ3θ4\theta_{3}和\theta_{4}对预测结果的影响就比之前要小许多。假如我们有非常多的特征,我们并不知道哪些我们要惩罚,则可以对所有的特征进行惩罚,并且让代价函数最优化的软件来选择这些惩罚的程度。这样就得到了一个较为简单的能防止过度拟合问题的假设: J(θ)=12m[i=1m(hθ(x(i))y(i))2+λj=1nθj2]J(\theta)=\frac{1}{2m}\left[ \sum_{i=1}^{m}(h_{\theta}(x^{(i)})-y^{(i)})^2+\lambda \sum_{j=1}^{n}\theta_{j}^2 \right]
  • 其中λ\lambda又称为正则化参数。注意:根据惯例,不对θ0\theta_{0}进行惩罚。
  • 经过正则化处理后的模型与原模型的可能对比如下:

Pasted image 20260302141348.png

  • 如果选择的正则化参数λ\lambda过大,则会把所有的参数都最小化了,导致模型变成hθ(x)=θ0h_{\theta}(x)=\theta_{0},也就是上图中红色直线所示的情况,造成欠拟合。

4.正则化线性回归

对于线性回归的求解,之前推导了两种学习算法:一种基于梯度下降,一种基于正规方程。
  • 梯度下降-正则化线性回归的代价函数为: J(θ)=12m[i=1m(hθ(x(i))y(i))2+λj=1nθj2]J(\theta)=\frac{1}{2m}\left[ \sum_{i=1}^{m}(h_{\theta}(x^{(i)})-y^{(i)})^2+\lambda \sum_{j=1}^{n}\theta_{j}^2 \right] 对比有无进行正则化的梯度下降算法将分以下两种情形: Repeat until convergence{ θ0:=θ0α1mi=1m(hθ(x(i))y(i))x0(i)\theta_{0}:=\theta_{0}-\alpha\frac{1}{m}\sum_{i=1}^{m}(h_{\theta}(x^{(i)})-y^{(i)})x_{0}^{(i)} θj:=θjα[1mi=1m(hθ(x(i))y(i))xj(i)+λmθj]\theta_{j}:=\theta_{j}-\alpha\left[ \frac{1}{m}\sum_{i=1}^{m}(h_{\theta}(x^{(i)})-y^{(i)})x_{j}^{(i)}+\frac{\lambda}{m}\theta_{j} \right] } 对上面中j=1,2,...,n时的更新式子进行调整可得: θj:=θj(1αλm)α[1mi=1m(hθ(x(i))y(i))xj(i)]\theta_{j}:=\theta_{j}\left( 1-\alpha\frac{\lambda}{m} \right)-\alpha\left[ \frac{1}{m}\sum_{i=1}^{m}(h_{\theta}(x^{(i)})-y^{(i)})x_{j}^{(i)}\right] 可以看出,正则化线性回归的梯度下降算法的变化在于,每次都在原有算法更新规则的基础上令θ\theta值减少了一个额外的值。

  • 同样可以利用正规方程来求解正规化线性回归模型,方法如下所示:

Pasted image 20260302144151.png

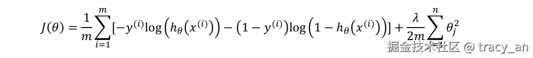
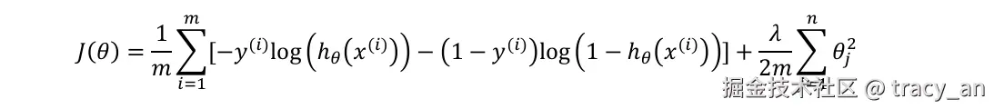
5.正则化的逻辑回归模型

针对逻辑回归问题,之前已经学习过两种优化算法:首先学习了使用梯度下降法来优化代价函数,接下来学习了更高级的优化算法,这些高级优化算法需要自己设计代价函数。

Pasted image 20260302144630.png 我们也给代价函数增加一个正则化的表达式,得到:

Pasted image 20260302144711.png python代码:

import numpy as np
def costReg(theta,X,y,learningRate):
    theta = np.matrix(theta)
    X = np.matrix(X)
    y = np.matrix(y)
    first = np.multiply(-y,np.log(sigmoid(X*theta.T)))
    second = np.multiply((1-y),np.log(1-sigmpid(X*theta.T)))
    reg = (learningRate / (2*len(x))*np.sum(np.power(theta[:,1:theta.shape[1]],2))
    return np.sum(first-second) / (len(X)) + reg

要最小化该代价函数,通过求导,得出梯度下降算法为: Repeat until convergence{ θ0:=θ0α1mi=1m(hθ(x(i))y(i))x0(i)\theta_{0}:=\theta_{0}-\alpha\frac{1}{m}\sum_{i=1}^{m}(h_{\theta}(x^{(i)})-y^{(i)})x_{0}^{(i)} θj:=θjα[1mi=1m(hθ(x(i))y(i))xj(i)+λmθj]\theta_{j}:=\theta_{j}-\alpha\left[ \frac{1}{m}\sum_{i=1}^{m}(h_{\theta}(x^{(i)})-y^{(i)})x_{j}^{(i)}+\frac{\lambda}{m}\theta_{j} \right] } 对上面中j=1,2,...,n时的更新式子进行调整可得: θj:=θj(1αλm)α[1mi=1m(hθ(x(i))y(i))xj(i)]\theta_{j}:=\theta_{j}\left( 1-\alpha\frac{\lambda}{m} \right)-\alpha\left[ \frac{1}{m}\sum_{i=1}^{m}(h_{\theta}(x^{(i)})-y^{(i)})x_{j}^{(i)}\right]

注:看上去与线性回归一样,但假设不同,hθ(x)=g(θTX)h_{\theta}(x)=g(\theta^TX),与线性不同。