多路查找树「Java数据结构与算法学习笔记11」

58 阅读5分钟

🔥工程代码已上传至github:github.com/doublev2026…

二叉树与B树

二叉树问题分析

二叉树的操作效率较高,但是也存在问题。如下一颗满二叉树:

画板

二叉树需要加载到内存的,如果二叉树的节点少则没有什么问题。但是如果二叉树的节点很多 比如1亿 ), 就存在如下问题

问题1:在构建二叉树时,需要多次进行i/o操作(海量数据存在数据库或文件中 ), 节点海量,构建二叉树时速度有影响;

问题2:节点海量,也会造成二叉树的高度很大,会降低操作速度。

多叉树

在二叉树中,每个节点有数据项,最多有两个子节点。如果允许每个节点可以有 更多的数据项 更多的子节点,就是多叉树(multiway tree)。

2-3树、2-3-4树就是多叉树。多叉树通过重新组织节点,减少树的高度,能对二叉树进行优化。

举例说明(下面2-3树就是一颗多叉树):

画板

B树基本介绍

B树通过重新组织节点、降低树的高度、减少i/o读写次数来提升效率。

画板

  1. 如图B树通过重新组织节点,低了树的高度;
  2. 文件系统及数据库系统的设计者利用了磁盘预读原理,将一个节点的大小设为等于一个页(页的大小通常为4k),这样每个节点只需要一次I/O就可以完全载入;
  3. 将树的度M设置为1024,在600亿个元素中最多只需要4次I/O操作就可以读取到想要的元素, B树(B+)广泛应用于文件存储系统以及数据库系统中

2-3树

2-3树简介

2-3树是最简单的B树结构,具有如下特点:

  • 2-3树的所有叶子节点都在同一层(只要是B树都满足这个条件)
  • 有两个子节点的节点叫二节点,二节点要么没有子节点,要么有两个子节点
  • 有三个子节点的节点叫三节点,三节点要么没有子节点,要么有三个子节点
  • 2-3树是由二节点和三节点构成的树

2-3树应用案例

需求:将数列 {16, 24, 12, 32, 14, 26, 34, 10, 8, 28, 38, 20} 构建成2-3树,并保证数据插入的大小顺序

插入规则:

  1. 2-3树的所有叶子节点都在同一层(只要是B树都满足这个条件)
  2. 有两个子节点的节点叫二节点,二节点要么没有子节点,要么有两个子节点
  3. 有三个子节点的节点叫三节点,三节点要么没有子节点,要么有三个子节点
  4. 当按照规则插入一个数到某个节点时,不能满足上面三个要求,就需要拆。先向上拆,如果上层满,则拆本层,拆后仍然需要满足上面3个条件
  5. 对于三节点的子树的值大小仍然遵守(BST 二叉排序树)的规则

画板

其它说明

除了23树,还有234树等,概念和23树类似,也是一种B树。如图所示:

画板

B树、B+树、B*树

B树介绍

B-tree树即B树,B即Balanced,平衡的意思。有人把B-tree翻译成B-树,容易让人产生误解。会以为B-树是一种树,而B树又是另一种树。实际上,B-tree就是指的B树

前面已经介绍了2-3树和2-3-4树,他们就是B树(英语:B-tree 也写成B-树)。在学习Mysql时,经常听到说某种类型的索引是基于B树或者B+树的,如图:

对上图B树的说明:

  1. B树的阶:节点的最多子节点个数。比如2-3树的阶是3,2-3-4树的阶是4
  2. B-树的搜索,从根结点开始,对结点内的关键字(有序)序列进行二分查找,如果命中则结束,否则进入查询关键字所属范围的儿子结点;重复,直到所对应的儿子指针为空,或已经是叶子结点
  3. 关键字集合分布在整颗树中, 即叶子节点和非叶子节点都存放数据
  4. 搜索有可能在非叶子结点结束
  5. 其搜索性能等价于在关键字全集内做一次二分查找

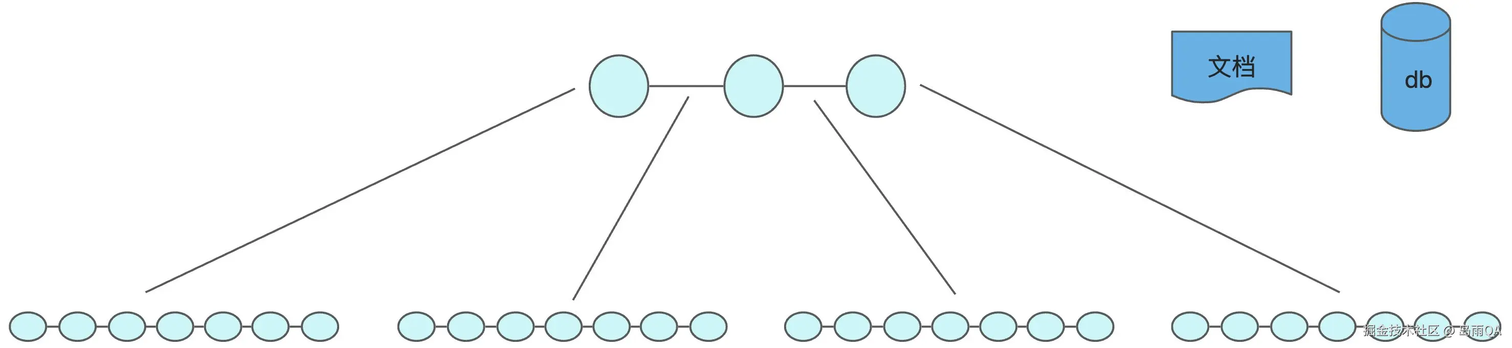
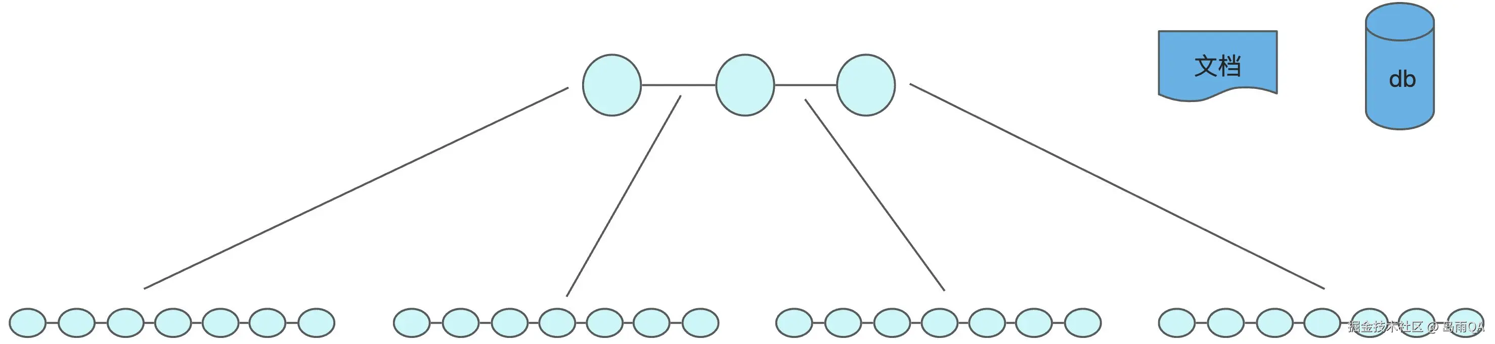
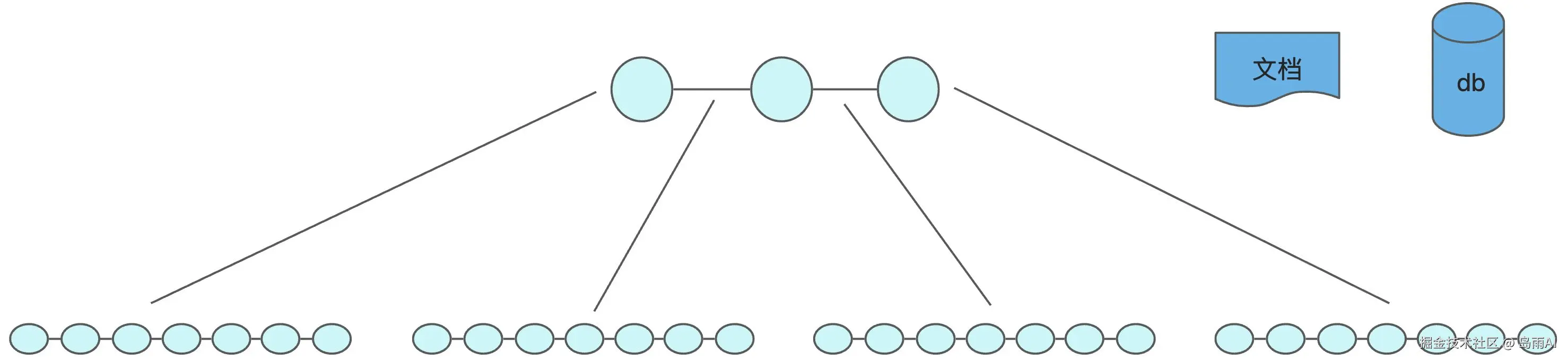
B+树介绍

B+树是B树的变体,也是一种多路搜索树。

对上图B+树的说明:

  1. B+树的搜索与B树也基本相同,区别是B+树只有达到叶子结点才命中(B树可以在非叶子结点命中),其性能也等价于在关键字全集做一次二分查找
  2. 有关键字都出现在叶子结点的链表中(即数据只能在叶子节点【也叫稠密索引】),且链表中的关键字(数据)恰好是有序的
  3. 不可能在非叶子结点命中
  4. 非叶子结点相当于是叶子结点的索引(稀疏索引),叶子结点相当于是存储(关键字)数据的数据层
  5. 更适合文件索引系统
  6. B树和B+树各有自己的应用场景,不能说B+树完全比B树好,反之亦然

B*树介绍

B*树是B+树的变体,在B+树的非根和非叶子结点再增加指向兄弟的指针

对上图B*树的说明:

  1. B*树定义了非叶子结点关键字个数至少为(2/3)*M,即块的最低使用率为2/3,而B+树的块的最低使用率为B+树的1/2
  2. 从第1个特点我们可以看出,B*树分配新结点的概率比B+树要低,空间使用率更高