无电解电容单级式DAB微逆:“自适应虚拟母线”新策略

96 阅读30分钟

在经典的隔离拓扑中,基于反激(Flyback)的逆变器因其结构简单和可靠性而脱颖而出,但其功率能力有限,导致功率密度较低。
随着全球对清洁能源需求的持续增长,分布式光伏(PV)系统因其在住宅电力系统中的适应性和可扩展性而受到越来越多的关注。
为了适应宽工作范围,必须小的励磁电感,这导致高环流并降低效率,基于 LLC 的逆变器也面临类似的问题。

本文转自:IEEE Transactions on Industrial Electronics ( Volume: 73, Issue: 2, February 2who6)

作者:Chuhan Peng; Mingde Zhou; Minfan Fu; Yifan Wu; Haoyu Wang

1

引言

随着全球对清洁能源需求的持续增长,分布式光伏(PV)系统因其在住宅电力系统中的适应性和可扩展性而受到越来越多的关注 [1]。在图 1 所示的户用光伏系统中,微逆变器是关键模块,因为它提高了效率并降低了安装和维护成本 [2]。鉴于户用光伏系统的要求,微逆变器需要同时保持连续稳定的光伏电流、电气隔离、高功率密度、高可靠性、低控制复杂度和低元件数量。

图 1. 户用光伏系统结构图。

对于并网微逆变器,由于存在共模漏电流,电气隔离对于安全性至关重要 [3], [4]。传统的微逆变器采用两级架构:前端 DC-DC 变换器级将低光伏电压升压至高直流母线电压,而后端逆变器级确保高质量的交流电能输出。直流母线上的大型电解电容器组维持逆变器稳定的直流输入 [5]。相比之下,单级解决方案直接将低光伏电压转换为工频交流电压,减少了元件数量,但它需要更复杂的控制 [6]。

在经典的隔离拓扑中,基于反激(Flyback)的逆变器因其结构简单和可靠性而脱颖而出 [7]。为了实现零电压开关(ZVS),可以采用有源钳位电路来吸收漏能量并提高效率 [8]。然而,其功率能力有限,导致功率密度较低。基于 LLC 的逆变器也被广泛研究 [9]。然而,为了适应宽工作范围,必须小的励磁电感,这导致高环流并降低效率 [10]。基于双有源桥(DAB)的解决方案提供了更好的变压器利用率 [11], [12]。但是,由于非线性增益特性,其控制算法较为复杂 [13]。基本的 DAB 逆变器利用单移相(SPS)调制,但这以有限的软开关范围和端口电压变化时的高无功功率为代价 [14]。文献 [15] 中采用了变频扩展移相(EPS)调制来抑制无功功率,并线性化输出电流与移相之间的关系。

除了拓扑创新外,单相逆变器固有地面临直流和交流端口之间的功率不匹配问题,这强制要求储能单元来缓冲二倍工频的瞬时功率 [16]。大多数解决方案使用大型电解电容组作为直流母线 [17]。然而,电解电容面临寿命有限、等效串联电阻(ESR)大和可靠性差的挑战 [18], [19]。此外,二倍工频直流母线纹波在缓冲电容组上产生热量,进一步缩短其寿命并增加系统成本 [20]。此外,电解电容组通常体积庞大,显著增加了系统体积并降低了功率密度 [21]。

另一种替代方案是使用有源功率解耦(APD)电路,通过有源开关电路将不匹配功率转移到远离直流母线的其他缓冲电容上 [22]。由于解耦电容具有更大的二倍工频电压纹波,可以减小电容值,从而使得使用更长寿命的薄膜或陶瓷电容成为可能,从而在压缩体积的同时延长系统寿命 [23]。

为了实现 APD,研究集中在拓扑和控制策略上。常见的 APD 电路通常与 PV 端口串联或并联。常用拓扑包括 Boost、Buck 和 H 桥,配合差分逆变器或分裂电容设计 [24]-[29]。另一方面,控制策略的研究侧重于实现解耦电容电压的精确调节和提高解耦电路的效率。为此,采用了各种控制策略,包括比例积分(PI)、比例谐振(PR)、Bang-Bang 控制和模型预测控制 [30]-[34]。这些典型 APD 解决方案使用解耦电路代替母线电容,要求几乎恒定的母线电压,这导致需要复杂的控制方法和精确的电压电流采样以提高性能,给控制系统设计带来了挑战。

与固定母线电压解决方案相反,在调制母线电压下运行也可以降低母线电容需求。这种有意增加母线电压纹波以显著减少母线电容的方法此前已应用于 LED 和燃料电池应用中 [35], [36]。然而,很少有研究探索这种方法用于功率解耦。在文献 [37] 中,提出了一种在 H 桥逆变器中使用简单脉宽调制(PWM)的新方法,以减少二倍工频谐波,有效降低了母线电容。该方法在保持交流输出质量的同时,有意在直流母线电压中引入显著纹波。然而,它仅验证了使用调制母线电压减少二倍工频功率纹波的可行性,并未解决直流端口的功率振荡消除问题。在文献 [38] 中,在差分功率处理反激式逆变器上,在调制母线运行下实现了超快最大功率点跟踪(MPPT)算法。但是,高直流母线电压要求和有限的母线电压振荡范围使其不适合户用光伏系统中的微逆变器。此外,精确控制流入解耦电容的电流仍然是一个重大挑战,进一步使其具体实现复杂化。

在本文中,我们提出了一种用于无电解电容准单级 DAB 微逆变器的新型自适应虚拟母线策略。所提出的策略具有以下主要贡献:

1)虚拟母线具有二倍工频的自适应电压纹波,实现了功率解耦功能,大幅减少了母线电容,并消除了对电解电容的需求。

2)两部分的控制算法解耦,显著减少了所需的传感器数量,并简化了整个控制系统。与传统的 APD 电路相比,该方法显著降低了控制复杂性。

该系统采用前端 Boost 变换器提升 PV 电压,从而降低电流应力。它保持连续的电流流动并调节虚拟母线的直流偏置。在临界导通模式(CRM)下运行,Boost 变换器通过电流过零预测(ZCP)技术实现 GaN HEMT 的零电压开关(ZVS),消除了对额外高频电流传感器的需求。后端 DAB 逆变器具有宽增益范围,无缝适应虚拟母线的电压振荡,实现自适应能量缓冲。因此,通过实施该解决方案,不匹配功率被有效地缓冲在自适应虚拟母线上,确保了稳定的直流功率并保持了高交流电能质量。该方法为户用光伏系统提供了一种精简且高效的解决方案。

本文其余部分组织如下:第二部分介绍了微逆变器的工作原理。第三部分介绍了系统的控制策略。第四部分提出了设计考量。第五部分提供了实验结果以验证所提出的解决方案。最后,第六部分总结全文。

02

工作原理

图 2 展示了准单级 DAB 微逆变器的原理图。它由前端 Boost 变换器和后端 DAB 逆变器组成,两者通过虚拟母线连接。对于 Boost 变换器,同步整流器(SR)取代了传统的二极管,以实现损耗更低的 CRM 模式。由于 PV 输入电压相对较低,Boost 变换器可以提升电压以简化后端 DAB 逆变器的设计并降低电流应力。Boost 变换器的主要目的是控制直流偏置母线电压并过滤二倍工频功率。DAB 逆变器由原边全桥和由开关及电容组成的副边倍压整流器组成,通过高频变压器器 TX 连接。变压器匝数比为 1:n,L1 是副边等效变压器漏感。由于励磁电感 Lm 远大于漏感,分析时可视为开路。该 DAB 逆变器将振荡的母线电压转换为受控的交流输出。

图 2. 准单极 DAB 微逆变器原理图。

1

自适应虚拟母线

功率流向图如图 3 所示。传输功率在决定 Boost 变换器和 DAB 逆变器的开关动作中起着重要作用。在 Boost 变换器中,传输功率 PBoost 决定了平均电感电流 iavg,进而影响开关时刻。至于 DAB 逆变器,传输功率 PDAB 决定了输出交流电流 io 的均方根(rms)值,从而决定移相。因此,通过控制它们的传输功率,即可确定整个微逆变器的工作状态。

图 3. 虚拟母线概念下的功率流向图。

假设微逆变器的预期传输功率为 P,考虑直流和交流端口的功率,瞬时直流功率 pdc 等于传输功率,因为它保持恒定。相反,瞬时交流功率 pac 随交流端口电压和电流振荡。假设交流端口的瞬时电压和电流如下:

其中 Vrms 和 Irms 分别代表交流电压和电流的有效值。那么瞬时交流端口传输功率 Pac 可以推导为:

在公式 (2) 中,前一项是常数,代表交流端口功率的直流偏置,而后一项代表二倍工频振荡功率。为了简化,假设交流负载为阻性。在这种情况下,前一项等于 P,而后一项代表不匹配功率,应由 Cbus 缓冲。可以得到关于 Vbus 的以下方程

其中 pmis = pdc-pac 代表流入虚拟母线电容的不匹配功率。当电流流入电容时,电压上升,功率方向为正。在这个过程中,它可以被视为直流输入功率(等于微逆变器的传输功率 P)由母线电容和后端 DAB 逆变器共享。母线电容上的电压包含一个直流偏置分量,记为 Vbias。基于能量平衡,vbus 可以推导为:

因此,基于 (4),推导出了振荡的虚拟母线电压。基于这些分析,工频尺度的驱动模式和关键波形如图 4 所示。

图 4. 工频尺度的驱动模式和关键波形。

2

过零预测 CRM Boost 变换器

前端 Boost 变换器运行在基于电流 ZCP(过零预测)的 CRM 模式,以在高开关频率下实现 ZVS。采用的 ZCP 方法消除了高频电流传感器的使用。

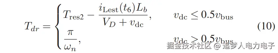
过零检测 CRM Boost 变换器的工作波形如图 5 所示。典型的 CRM 操作可以分为几个阶段。在 Qb1,2 导通阶段即 Ton 和 TSR,电感电流可以通过电感充电方程计算,而在死区阶段 Tdf 和 Tdr,需要通过谐振方程计算。在 Tdr 中,是否能实现 Qb2 的 ZVS 取决于 Vdc 和 Vbus。当 Vdc < 0.5 Vbus 时,可以实现 ZVS。否则,只能实现谷底开关。

图 5 .过零检测 CRM Boost 变换器的工作波形:(a)ZVS 实现。(b)谷底开关。

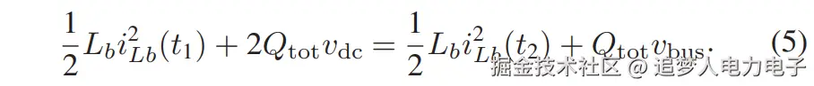
通过计算谐振周期开始和结束时的能量存储以及电源与负载之间的能量流动,可以估计谐振周期开始和结束时的电感电流。以 t1 到 t2 为例:

在 (5) 中,Qtot 代表谐振期间流过开关的电荷量。利用 (5),可以从谐振周期前的电感电流估计谐振周期后的电感电流。因此,如图 6 所示,ZCP 的控制策略分析如下。首先,应计算平均电感电流 Iavg。确定了平均电感电流后,由于电流波形近似为三角形,可以计算电感充电时间 Ton,这直接影响传输功率。Iavg 和 Ton 可以表示为:

其中 Zn = √(Lb / 2Coss) 是特征阻抗,Coss 表示寄生电容。

图 6. Boost 变换器零电流预测控制流程图。

Tdf 期间,由于电感电流 iLb 足够大,允许 Qb1 期间快速实现 ZVS。谐振可以用梯形近似。死区时间 Tdf 应大于谐振时间 Tres1。iLest(tx) 代表在时刻 tx 的预测电感电流。即

在电感放电期间,为简化分析,我们认为 SR 是理想的,这意味着 iLest(t5) = 0。那么 TSR 可表示为:

接下来,在 Tdr 中,由于平均电流较小,不能进行等效近似。因此,谐振周期的计算需要使用一阶 LC 响应计算,即

其中 ωn = 1/√(2LbCoss) 是谐振频率,VD 表示源-漏正向电压。Tres2 代表 Tdr 中的谐振时间,可通过轨迹计算:

基于该方法,可以使用输入输出电压和 Boost 变换器的预期传输功率来估计开关的导通时间。

3

DAB 逆变器

DAB 逆变器采用 EPS 调制。其在正半周交流周期内的工作波形如图 7 所示。由于开关频率远高于工频,交流电压在开关频率尺度上可视为常数。在 EPS 下,原边开关以 50% 占空比运行。至于副边开关 Q5 和 Q6,Q5b 和 Q6b 在正半周期间保持导通,而 Q5a 和 Q6a 以 50% 占空比运行以匹配原边开关。在负半周,这种关系反转以适应反向交流电压。

图 7. EPS 调制下的 DAB 稳态波形。

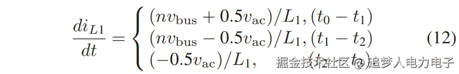
在图 7 中,Q3 & Q4 桥臂充当主相,其他桥臂作为从相。Q3 & Q4 桥臂与 Q1 & Q2 桥臂之间的移相记为 Φ1,而 Q3 & Q4 桥臂与 Q5 & Q6 桥臂之间的移相记为 Φ2。为了推导输出电流,首先使用电感充电方程计算斜率:

相应地,t1, t2 和 t3 时刻的电流可以通过电感电流波形关于 x 轴的对称性计算,即

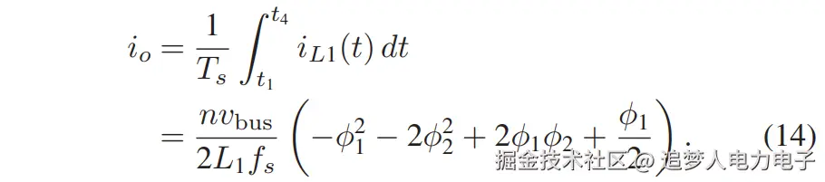
因此,可以通过积分 iL1 来计算输出电流。t1 到 t4 期间代表一个完整的功率输出区间,因为在此期间 vs 电压恒为正。

(14)中有三个变量:两个移相和开关频率。这些自由变量使控制算法设计变得复杂。因此,可以将两个移相之间的关系视为线性的。此外,nvbus/2L1 是一个常数系数。通过使开关频率 fs 与移相关联而不是固定,消除了方程中的变量项,从而简化了输出电流方程。变量之间的关系是:

其中 k 是调整移相的系数,fsmax 是频率上限,由设定的工作条件决定。因此,(14) 可以简化为:

其中 nvbus/4L1fsmax 是在整个周期内是常数系数。

在 (16) 中,输出电流与 Φ1 呈线性关系,大大简化了控制。然而,为了确保 DAB 逆变器以图 7 所示的模式运行,Φ1 的范围限制在 0-0.5。否则,工作波形会改变。但仍有可能 Φ1 超出该范围。因此,当 Φ1 超出范围时,需要一种控制方法来调节输出电流。基于 (14),当 Φ1 达到上限时,可以将其固定,不再认为其与 io 呈线性关系。在这种情况下,fs 成为被控变量,而 Φ1 和 Φ2 都被设定为常数。fs 可以推导如下:

因此,对于 DAB 逆变器,当 Φ1 在范围内时,通过调节 Φ1 控制交流输出;当 Φ1 超出范围时,通过控制 fs 控制交流输出。预期的交流输出电流由预期传输功率决定。

who

控制策略

1

虚拟母线电压调节

对于所提出的自适应虚拟母线策略,前端和后端控制是分离的。Boost 变换器和 DAB 逆变器可以利用采样电压独立工作。与传统的调制母线解决方案不同,自适应虚拟母线解决方案是通过控制 Boost 输入电流和 DAB 输出电流来进行功率控制的,而不直接控制母线电压振荡。通过这种方法,虚拟母线电容不仅可以缓冲二倍工频不匹配功率,还可以缓冲高次谐波不匹配功率。然而,虚拟母线的电压并非完全不受控制,母线直流偏置电压需要调节,否则系统将失去稳定性。

为了调节虚拟母线直流偏置电压,可以调节前端和后端之间传输功率的差值。当直流偏置电压低于预期值时,前端传输功率增加,允许更高的功率注入母线电容,而后端仍传输固定功率。这会提高直流偏置电压,反之亦然。直流偏置电压控制方程如下所示:

其中 Vbusset 是预期的直流偏置电压,P 代表预期的传输功率。微逆变器的预期传输功率与两部分功率之间的关系是 PDAB = P, PBoost = P + ΔP

然而,由于母线电压振荡,并不总是能准确采样直流偏置电压。如图 4 所示,当交流电压过零时,母线电压恰好等于其直流偏置电压。因此,在该时刻采样母线电压可以直接代表直流偏置电压。这种关系也可以从 (4) 中推导出来。

2

控制算法

控制算法的流程图如图 8 所示。可以看出 Boost 变换器和 DAB 逆变器的控制是分离的。对于 DAB 逆变器,仅需采样 vbus 即可调节输出电流;而在 Boost 变换器中,需要采样 vbus 和 vdc。它们的传输功率可由预期传输功率和虚拟母线直流偏置电压控制方法确定,以保持系统稳定。

图 8. 控制算法流程图。

另一个值得注意的是交流输出方向,它可以通过参考正弦波形来确定。如图 4 所示,在交流输出电压的正半周,Q5b 和 Q6b 持续导通以减少开关损耗,而 Q5a 和 Q6a 是高频开关。在负半周,它们的角色互换,Q5b 和 Q6b 充当高频开关。

3

主/从相交换控制

每个半桥的 ZVS 条件可以通过开关点的 iL1 推导出来,即 (13) 中的电流应大于 0。根据这些条件发现,在 DAB 逆变器的所有工况下,主相无法实现 ZVS,而从相在大多数情况下可以实现 ZVS。这导致 DAB 原边两个半桥的发热不平衡,因为开关损耗产生了额外热量。

为了解决由不同 ZVS 条件引起的不均匀发热问题,鉴于半桥的 ZVS 条件取决于它是否为主相,可以通过交换主相来平衡两个原边半桥的发热。由于 DAB 逆变器的主相不是固定的,两个原边半桥可以交替作为主相以平衡发热。在这种情况下,为了保持一致的输出,两个从相的工作状态也应改变。为了确保切换过程不影响微逆变器的运行,交换发生在交流电压的过零点。在实际控制算法中,当交流输出为正时,Q3 和 Q4 半桥充当主相;当交流输出为负时,Q1 和 Q2 半桥成为主相。

肺癌

设计考量

1

虚拟母线电容 Cbus

虚拟母线电容 Cbus 用于缓冲不匹配功率 pmis。基于图 4,可以推导出充电期间总功率不匹配占总功率的比例。考虑从 Tline/8 到 3Tline/8 的功率不匹配:

我们可以从 (19) 和图 4 得出结根据上述分析,我们可以得出以下论,能量缓冲电容需要处理 32% 的传输功率。

在微逆变器中,为了适应家庭应用,选择氮化镓 (GaN) 器件 EPC2215 作为 Boost 变换器和 DAB 逆变器原边的开关,选择 GS66508T 作为副边开关。EPC2215 的额定电压为 200 V。最大虚拟母线电压设定为 160 V,对应 GaN HEMT 额定电压的 80%。至于最小虚拟母线电压,考虑到典型的住宅 PV 面板额定功率和输出电压,50V 是下限。这是因为虚拟母线电压不应低于输入电压。

然后,基于 (3) 和 (19),可以计算母线电容的最小值:

确定电容值后,还需要选择电容类型。选择陶瓷电容而非薄膜电容作为母线电容,以提高功率密度。然而,对于陶瓷电容,直流偏置特性值得注意。随着直流偏置电压增加,等效电容减小,显著降低了可用电容。对于普通陶瓷电容,当直流偏置电压达到其额定电压的一半时,其电容充电率降至约 25%。这个问题直接导致存储在虚拟母线电容中的能量不再与其电压的平方成正比。因此,在 (18) 和 (20) 中,调节母线电压的直流偏置变得不那么准确,计算所需的最小电容也变得困难。

然而,在所提出的基于自适应母线运行的 APD 解决方案中,获得准确的母线电容并非必要。实际上,不准确的母线电容只会导致母线电压直流偏置与预期值有一定偏差。至于所需的最小电容,只需确保在电容充电率下降时母线保持足够的电容即可。

2

Boost 电感 Lb

Boost 电感 Lb 是基于 Boost 变换器的开关频率设计的。对于在 CRM 模式下工作的 Boost 变换器,确定输入和输出电压后,Lb 通过以下方程直接影响工作频率:

此外,不仅需要考虑所需的电感量,还需要考虑磁芯尺寸的选择及其实现的可行性。鉴于需要更高频率以减小体积,利用利兹线抑制电感中的交流损耗,显著减少由趋肤效应引起的铜损。因此,需要考虑磁芯体积、窗口面积和工作频率。

3

高频变压

变压器是 DAB 逆变器中的关键元件之一。为了实现更高的功率密度,变压器漏感被视为 DAB 中的电感 L1。然而,这增加了变压器设计的复杂性,因为它不仅需要实现所需的匝数比,还意味着要优化所需的漏感。预期的漏感可以由 (16) 确定。

考虑到极轻负载的情况,移相变得微不足道。由于控制器的内部时间延迟,过小的移相可能无法准确输出,导致错误的开关信号。为了避免此类错误,在此期间切断控制器的输出信号,这称为控制器死区时间。然而,死区时间会引入谐波失真和效率降低。基于 (16),较大的漏感可以导致较大的移相,从而有效减少由于移相小而导致控制器无法输出的死区时间。

为了确保变压器满足匝数比和漏感要求,考虑到窗口面积,绕组配置很重要。此外,需要从有限的选项中选择高频磁芯和合适的利兹线以减少损耗。

肺癌

实验结果

为了验证所提出的方法,构建了一个 200 W 的原型机,其参数详见表 1。母线电容是 muRata 生产的额定电压 100 V 的陶瓷电容。为了在实验中实现更高的额定电压,这些电容串联以达到 200 V 耐压,并通过堆叠六个焊接层形成电容组。使用德州仪器的 TMS320F280049C 作为控制器。电感和变压器磁芯均来自东磁(DMEGC),电感使用 DMR51W 材料的 RM8 磁芯,变压器使用 DMR51H 材料的 RM12 磁芯。系统控制框图如图 9 所示,GaN 基微逆变器原型机如图 10 所示。

表 1. 设计参数

图 9. 系统控制框图。

图 10. GaN 基微逆变器原型机。

图 11 展示了工频尺度下的稳态实验波形。在运行期间,输入直流电压保持恒定,直流端口电流 idc 表现出较小的二倍工频谐波,振荡幅度为 0.39 A。同时,虚拟母线电压有显著振荡,范围从 51 到 66 V。输出电压呈现良好的正弦波形。实验结果验证了所提出的自适应虚拟母线概念的可行性。

图 11. 工频尺度下的稳态实验波形(80W 输出)。

图 12 显示了前端 Boost 变换器和后端 DAB 逆变器在其开关频率下的关键稳态波形。在图 12(a) 中,捕获了 Boost 电感电流 iLb 和底部 GaN HEMT Q2 的漏-源电压 vds。当 iLb 从负过零变为正时,底部 GaN HEMT Q2 立即导通,而 vds 在每个周期都达到零,这验证了清晰的 ZVS 开通。这些实验结果验证了电流 ZCP 方法在准单级 DAB 逆变器中的有效性。此外,图 12(b) 展示了变压器的原边电压 vp、副边电压 vs 和 DAB 电感电流 iL1 波形。由于采用了 EPS 调制,原边呈现三电平电压波形。

图 12. 开关频率尺度下的稳态实验波形:(a)Boost 变换器。(b)DAB 逆变器。

图 13 显示了在不同输出功率下测得的转换效率。在 170 W 时,峰值开关频率为 600 kHz,最大效率为 92.67%。当输出功率较低时,开关损耗和变压器磁芯损耗占主导地位,导致效率较低。随着功率增加,固定损耗的比例逐渐减小,整体效率增加,直到导通损耗占主导地位,此时效率会再次下降。

图 13. 效率-输出功率曲线。

图 14 显示了微逆变器在满额定功率下的热成像。系统的最高温度点为 64.6℃,位于 Boost 变换器处。温升在可接受范围内,表明热设计是合理的。

图 14. 变换器满载热成像图。

0c

结论

本文介绍了一种用于住宅场景的无电解电容准单级 DAB 微逆变器的新型自适应虚拟母线策略。虚拟母线具有显著的二倍工频自适应电压纹波,使得母线电容显著减小。因此,可以移除体积庞大的电解电容,从而减小体积并提高微逆变器的可靠性。通过在 DAB 逆变器前放置 Boost 变换器,可以在保持连续电流流动的同时提升 PV 电压。同时,前端 Boost 变换器在 CRM 模式下运行,利用电流 ZCP 实现 ZVS,无需任何电流传感器。后端 DAB 具有宽增益范围以适应振荡的虚拟母线电压。因此,不匹配功率将被缓冲在自适应虚拟母线上,而直流功率保持稳定且交流电能质量不受影响。此外,该方法解耦了两部分的控制,显著减少了所需的电压和电流传感器数量。与传统的 APD 电路相比,所提出的方法显著降低了控制复杂性。通过 200 W 额定功率的原型机实验证明了该微逆变器的功效。结果表明,该方法可以实现预期的功率解耦效果。

参考资料

  1. J. Feng, H. Wang, J. Xu, M. Su, W. Gui, and X. Li, “A three-phasegrid-connected microinverter for AC photovoltaic module applications,”IEEE Trans. Power Electron., vol. 33, no. 9, pp. 7721–7732, Sep.2018.
  2. Q. Yang, J. Yang, and R. Li, “Analysis of grid current distortion andwaveform improvement methods of dual-active-bridge microinverter,”IEEE Trans. Power Electron., vol. 38, no. 4, pp. 4345–4359, Apr.2023.
  3. M. N. H. Khan, M. Forouzesh, Y. P. Siwakoti, L. Li, T. Kerekes,and F. Blaabjerg, “Transformerless inverter topologies for singlephase photovoltaic systems: A comparative review,” IEEE J. Emerg.Sel. Topics Power Electron., vol. 8, no. 1, pp. 805–835, Mar.2020.
  4. H. Tian, M. Chen, G. Liang, and X. Xiao, “A single-phase transformerless common-ground type PV inverter with active power decoupling,”IEEE Trans. Ind. Electron., vol. 70, no. 4, pp. 3762–3772, Apr. 2023.
  5. A. Pal and K. Basu, “A unidirectional single-stage three-phase softswitched isolated DC–AC converter,” IEEE Trans. Power Electron., vol.34, no. 2, pp. 1142–1158, Feb. 2019.
  6. K. Alluhaybi, I. Batarseh, and H. Hu, “Comprehensive review andcomparison of single-phase grid-tied photovoltaic microinverters,” IEEEJ. Emerg. Sel. Topics Power Electron., vol. 8, no. 2, pp. 1310–1329, Jun.2020.
  7. R. Za’im, J. Jamaludin, and N. A. Rahim, “Photovoltaic flybackmicroinverter with tertiary winding current sensing,” IEEE Trans. PowerElectron., vol. 34, no. 8, pp. 7588–7602, Aug. 2019.
  8. R. Hasan, W. Hassan, and W. Xiao, “A high gain flyback DC-DCconverter for PV applications,” in Proc. IEEE Reg. 10 Annu. Int. Conf.(TENCON), Osaka, Japan, Nov. 2020, pp. 522–526.
  9. P. Mohammadi and J. Lam, “A new fully soft-switched, single-stageLLC resonant based grid connected inverter,” in Proc. IEEE Appl. PowerElectron. Conf. Expo. (APEC), Phoenix, AZ, USA, Jun. 2021, pp. 1438–1443.
  10. Y. Qiu, W. Liu, P. Fang, Y.-F. Liu, and P. C. Sen, “A mathematicalguideline for designing an AC-DC LLC converter with PFC,” in Proc.IEEE Appl. Power Electron. Conf. Expo. (APEC), San Antonio, TX,USA, Mar. 2018, pp. 2001–2008.
  11. N. Kummari, S. Chakraborty, and S. Chattopadhyay, “An isolated highfrequency link microinverter operated with secondary-side modulationfor efficiency improvement,” IEEE Trans. Power Electron., vol. 33, no.3, pp. 2187–2200, Mar. 2018.
  12. K.-S. Kim, S.-G. Jeong, O. Kwon, and B.-H. Kwon, “Weighted efficiency enhancement for single-power-conversion microinverters usinghybrid-mode modulation strategy,” IEEE Trans. Ind. Electron., vol. 67,no. 12, pp. 10243–10252, Dec. 2020.
  13. H. Wu, X. Tang, J. Zhao, and Y. Xing, “An isolated bidirectionalmicroinverter based on voltage-in-phase PWM-controlled resonant converter,” IEEE Trans. Power Electron., vol. 36, no. 1, pp. 562–570, Jan.2021.
  14. B. Zhao, Q. Song, W. Liu, and Y. Sun, “Overview of dual-active-bridgeisolated bidirectional DC–DC converter for high-frequency-link powerconversion system,” IEEE Trans. Power Electron., vol. 29, no. 8, pp.4091–4106, Aug. 2014.
  15. O. Kwon, K.-S. Kim, and B.-H. Kwon, “Highly efficient single-stageDAB microinverter using a novel modulation strategy to minimizereactive power,” IEEE J. Emerg. Sel. Topics Power Electron., vol. 10,no. 1, pp. 544–552, Feb. 2022.
  16. S. Kan, X. Ruan, and X. Huang, “Compensation of second harmoniccurrent based on bus voltage ripple limitation in single-phase photovoltaic grid-connected inverter,” IEEE Trans. Ind. Electron., vol. 70,no. 7, pp. 7525–7532, Jul. 2023.
  17. X. Li, J. Liu, F. Ji, X. Cao, Y. Wang, and J. Liu, “A single-stage highfrequency-link split-phase microinverter for both grid-tied and islandedoperation,” IEEE Trans. Power Electron., vol. 39, no. 8, pp. 10409–10423, Aug. 2024.
  18. G. Liang, E. Rodriguez, G. G. Farivar, and J. Pou, “Ripple current reduction in DC-link capacitor for a single-phase two-stage inverter,” IEEE Trans. Power Electron., vol. 40, no. 3, pp. 1–10, Mar.2025.
  19. X. Xu, M. Su, Y. Sun, B. Guo, H. Wang, and G. Xu, “Four-switchsingle-phase common-ground PV inverter with active power decoupling,” IEEE Trans. Ind. Electron., vol. 69, no. 3, pp. 3223–3228, Mar.2022.
  20. S.-M. Kim, I. J. Won, J. Kim, and K.-B. Lee, “DC-link ripple currentreduction method for three-level inverters with optimal switching pattern,” IEEE Trans. Ind. Electron., vol. 65, no. 12, pp. 9204–9214, Dec.2018.
  21. Y. Shen, M. D’Antonio, S. Chakraborty, A. Hasnain, and A. Khaligh,“Comparison of CCM- and CRM-based boost parallel active powerdecoupler for PV microinverter,” IEEE Trans. Power Electron., vol. 37,no. 8, pp. 9889–9906, Aug. 2022.
  22. C. Xiao et al., “A novel single-phase non-isolated dual-input microinverter with active power decoupling,” IEEE Trans. Power Electron.,vol. 40, no. 3, pp. 4437–4448, Mar. 2025.
  23. F. Yang, Y. Jia, Y. Xing, and H. Wu, “Second-order ripple powersuppression for single-phase AC–DC power systems with reduced powerconversion stage,” IEEE Trans. Transp. Electrification, vol. 10, no. 2,pp. 2965–2973, Jun. 2024.
  24. X. Huang, X. Ruan, F. Du, F. Liu, and L. Zhang, “A pulsed power supplyadopting active capacitor converter for low-voltage and low-frequencypulsed loads,” IEEE Trans. Power Electron., vol. 33, no. 11, pp. 9219–9230, Nov. 2018.
  25. Z. Liang, S. Hu, and X. He, “Analysis and suppression strategyfor the double-line frequency pulsation in single-phase quasi-z-sourceconverter,” IEEE Trans. Power Electron., vol. 34, no. 12, pp. 12567–12576, Dec. 2019.
  26. H. Wu, S.-C. Wong, C. K. Tse, and Q. Chen, “Control and modulationof bidirectional single-phase AC–DC three-phase-leg SPWM converters with active power decoupling and minimal storage capacitance,”IEEE Trans. Power Electron., vol. 31, no. 6, pp. 4226–4240, Jun.2016.
  27. W. Liu, K. Wang, H. S-h Chung, and S. T-h Chuang, “Modelingand design of series voltage compensator for reduction of dc-linkcapacitance in grid-tie solar inverter,” IEEE Trans. Power Electron., vol.30, no. 5, pp. 2534–2548, May 2015.
  28. W. Yao, X. Wang, P. C. Loh, X. Zhang, and F. Blaabjerg, “Improvedpower decoupling scheme for a single-phase grid-connected differentialinverter with realistic mismatch in storage capacitances,” IEEE Trans.Power Electron., vol. 32, no. 1, pp. 186–199, Jan. 2017.
  29. W. Yao, P. C. Loh, Y. Tang, X. Wang, X. Zhang, and F. Blaabjerg,“A robust DC-split-capacitor power decoupling scheme for single-phaseconverter,” IEEE Trans. Power Electron., vol. 32, no. 11, pp. 8419–8433,Nov. 2017.
  30. C. C. D. Viana, T. Soong, and P. W. Lehn, “Single-input space vectorbased control system for ripple mitigation on single-phase converters1,”IEEE Trans. Power Electron., vol. 34, no. 4, pp. 3765–3774, Apr.2019.
  31. R. Chen, Y. Liu, and F. Z. Peng, “A solid state variable capacitor withminimum capacitor,” IEEE Trans. Power Electron., vol. 32, no. 7, pp.5035–5044, Jul. 2017.
  32. S. Li, G.-R. Zhu, S.-C. Tan, and S. Y. Hui, “Direct AC/DC rectifierwith mitigated low-frequency ripple through inductor-current waveformcontrol,” IEEE Trans. Power Electron., vol. 30, no. 8, pp. 4336–4348,Aug. 2015.
  33. M. Chingwena, T. Mouton, and M. Dorfling, “Model predictive controlof an active capacitor for ripple energy compensation in single-phaseDC-to-AC converters,” in Proc. Eur. Conf. Power Electron. Appl. (EPEECCE), Genova, Italy, Sep. 2019.
  34. B. Ge et al., “Direct instantaneous ripple power predictive control foractive ripple decoupling of single-phase inverter,” IEEE Trans. Ind.Electron., vol. 65, no. 4, pp. 3165–3175, Apr. 2018.
  35. L. Gu, X. Ruan, M. Xu, and K. Yao, “Means of eliminating electrolytic capacitor in AC/DC power supplies for LED lightings,”IEEE Trans. Power Electron., vol. 24, no. 5, pp. 1399–1408, May2009.
  36. J. M. Galvez and M. Ordonez, “Swinging bus operation of inverters for fuel cell applications with small DC-link capacitance,”IEEE Trans. Power Electron., vol. 30, no. 2, pp. 1064–1075, Feb.2015.
  37. S. Jana and S. Srinivas, “An approach to mitigate line frequency harmonics in a single-phase PV-microinverter system,” IEEETrans. Power Electron., vol. 34, no. 12, pp. 11521–11525, Dec.2019.
  38. N. A. Meineri, I. Santana, and I. G. Zurbriggen, “Ultra-fast MPPT forresidential PV systems with low DC-link capacitance and differentialpower processing,” IEEE Trans. Power Electron., vol. 40, no. 2, pp.2736–2745, Feb. 2025.