Apache Flink 快速入门

234 阅读1小时+

目标

希望通过这份内容抛砖引玉,让你在阅读后不仅能独立编写 WordCount、接入 Kafka、使用 MySQL/Redis,对 Flink 作业有一个整体、清晰的认识。

一、第一部分:Flink 到底是什么?为什么要用它?

1.1 一句话定义

Flink 是一个“真·实时”流计算引擎,专门用来在数据不断产生的时候就立刻算出结果。

Flink核心目标,是“数据流上的有状态计算”(Stateful Computations over Data Streams )具体说明:Apache Flink是一个框架和分布式处理引擎,用于对无界和有界数据流进行有状态计算。(可以提一嘴,流批一体)

1.2 流处理的三个历史阶段

阶段代表框架延迟状态管理Exactly-once典型问题
第一代Storm / Heron毫秒级非常弱非常麻烦状态小、故障恢复难
第二代Spark Streaming秒级(微批)有状态有(但复杂)延迟高、不能真毫秒级
第三代(当前最优)Apache Flink毫秒级超大状态原生支持几乎没有短板

结论:Flink 是目前唯一一个同时满足下面 5 个要求的开源引擎

  1. 毫秒级延迟
  2. 高吞吐
  3. 超大状态(几十 TB 都行)
  4. 原生 Exactly-once
  5. 事件时间 + 水印(处理乱序)

所以一句话:现在公司里只要是“实时”两个字,基本默认就用 Flink。

1.3 Exactly-once

Exactly-once(精确一次)是流处理系统中最严格、最重要的“数据处理语义”保证。 简单来说,就是:不管程序挂了多少次、重启多少次、机器宕机多少次,最终每一条数据都恰好被正确处理一次,既不多也不少

通俗的比喻解释

处理语义比喻(你给女朋友发微信“到家了”)后果
At-most-once发了就不管了,网络断了女朋友也收不到数据丢了(最轻松,但不能接受)
At-least-once怕丢了就狂发,发 100 次确认她一定收到数据重复了(女朋友炸了:你发 100 次干嘛)
Exactly-once不管网络怎么抖、重连多少次,女朋友手机上永远只出现一次“到家了”完美(既不丢也不重)

二、第二部分:Flink 核心概念

Flink分层API

有状态流处理:通过底层API(处理函数),对最原始数据加工处理。底层API与DdaSteamAPI相集成,可以处理复杂的计算。

DataSteamAPI(流处理) 和 DataSetAPI(批处理)封装了底层处理函数,提供了通用的模块,比如转换(tansfonmations,包括fatmap等),连接(joins),聚合(aggregations),窗口(windows)操作等。注意:Fnk1.12以后,DataSteamAPI已经实现map、真正的流批一体,所以DataSetAPI已经过时。

TableAPI是以表为中心的声明式编程,其中表可能会动态变化。TableAPI遵循关系模型:表有二维数据结构,类似于关系数据库中的表; 同时API提供可比较的操作,例如select、project、join、group-by、aggregate等。我们可以在表与 DataSteamDataset之间无缝切换,以允许程序将 TableAPl与DataStream 以及 DataSet 混合使用。

SOL这一层在语法与表达能力上与Table API类似,但是是以SOL查询表达式的形式表现程序。SOL抽象与tIabe API交互密切,同时SOL查询可以直接在Table API定义的表上执行.

Flink 运行时架构

这里以单列部署模式为列

作业管理器(JobManager)

JobManager = Flink 集群里的大脑 + 管家

一句话总结: JobManager 是整个 Flink 作业的“总指挥官” ,负责接收你提交的代码、把作业拆成小任务、给每个 TaskManager 发命令、协调 Checkpoint、监控所有任务的生死,一旦出事就负责重启恢复。

它干的三件最核心的事:

  1. 把你的代码(JobGraph)变成可以并行执行的图(ExecutionGraph)
  2. 决定每个小任务跑在哪个 TaskManager 的哪个 slot 上
  3. 全局协调 Checkpoint 和故障恢复(Exactly-once 的真正指挥官)

一个 Flink 集群永远只有一个活跃的 JobManager(高可用时有 standby),所有作业都归它管,它挂了 = 整个集群所有作业全停

(细节可以去看官网教程,主要是)

任务管理器(TaskManager)

TaskManager 是真正执行计算的 JVM 进程,负责接收 JobManager 派发的子任务(subtask),在自己的 Slot 里跑算子代码、管理本地状态、做 Checkpoint 快照、跟其他 TaskManager 交换数据,它是集群里“干体力活”的地方。

Flink 核心概念

1. 并行度(Parallelism)

1.1. 并行度(Parallelism)一句话概述

并行度 = 一个算子同时有多少个并行实例在干活,它直接决定你的作业能多快、能吃多少数据。

用大白话: 想象你要把 1000 个苹果削皮。

  • 并行度 = 1 → 你一个人削,慢慢来
  • 并行度 = 8 → 8 个人一起削,理论上快 8 倍 Flink 里每一个算子(source、map、keyBy/window、sink)都可以单独设置并行度。
1.2. 并行度到底决定什么?
  1. 作业整体并行度 = 所有算子中最大的并行度
  2. 并行度越高,吞吐越大(前提是下游跟得上、集群 slot 够)
  3. 并行度必须 ≤ 集群总 slot 数,否则作业起不来
1.3. 实际生产中最常用的 4 种设置方式(优先级从高到低)
设置方式代码/命令示例适用场景优先级
1. 算子级别单独设置.keyBy(...).window(...).sum(0).setParallelism(16) 最常用!某个算子是热点,想单独给他开多线程★★★★★
2. 提交作业时用 -p 指定flink run -p 128 wordcount.jar快速调整体并行度,不想改代码★★★★
3. 代码里全局设置env.setParallelism(64)开发测试时用,生产不推荐★★★
4. flink-conf.yaml 默认parallelism.default: 64整个集群默认值,最后手段★★
1.4. 真实生产推荐做法
  1. 代码里只给热点算子单独 setParallelism(比如 window、join、sink)Java
stream
.keyBy(...)
.window(TumblingEventTimeWindows.of(Time.minutes(1)))
.sum(0)
.setParallelism(32)    // 窗口聚合是热点,开 32
.addSink(new ClickHouseSink())
.setParallelism(8);    // ClickHouse 写压力大,开 8 就够

2. 提交作业时用 -p 统一控制整体并行度Bash

flink run -p 200 -c com.xxx.MyJob myjob.jar
1.5. 记住这几个黄金数字(生产常见值)
  • Kafka Source:一般和分区数对齐(比如 24 分区 → 并行度 24)
  • 窗口聚合:CPU 核心数的 24 倍(比如 32 核机器,开 64128)
  • JDBC/MySQL Sink:3~12(MySQL 扛不住太多)
  • ClickHouse/Doris Sink:8~32(看库性能)

一句话总结: 并行度就是你给算子雇了多少个工人干活,生产中永远是“热点算子单独 setParallelism + 提交时 -p 整体控制”两招搞定 99% 的性能问题。

2. 算子链(Operator Chain)

算子链 = Flink 把并行度相同、且是一对一(one-to-one)关系的多个算子“焊接”成一个任务,放在同一个线程里跑,从而省掉不必要的序列化/网络传输开销,是 Flink 性能杀手锏之一。

用大白话比喻: 本来 source → map → filter → map 这 4 个工人要 4 个工位、互相扔来扔去(序列化 + 网络)。 Flink 发现他们并行度都一样、数据顺序也不乱,就直接把 4 个人焊成一个“四头怪”,在一个线程里顺序执行,省了 3 次“扔来扔去”,性能直接起飞。

2.1. 什么时候能链?什么时候不能链?
情况是否能链在一起举例说明
并行度相同都是 64 → 能链
并行度不同一定不能链source 64,map 32 → 必须断开
one-to-one 操作map、filter、flatMap、select、where
需要重新分区(redistribute)一定不能链keyBy、shuffle、rebalance、broadcast
手动禁用了链不能disableChaining()、startNewChain()
2.2. 实际生产中怎么操作算子链
操作需求代码怎么写(Java/Scala 通用)生产场景举例
1. 想让某个算子跟前面断开.disableChaining()sink 之前加 disableChaining(),防止 sink 拖慢上游
2. 从某个算子开始重新开一条链.startNewChain()keyBy 之后 startNewChain(),让窗口单独成链
3. 给某个算子单独指定 slot 共享组(最强控制).slotSharingGroup("xxx")热点算子单独放一组 slot,防止互相抢资源

真实生产代码例子:

stream
.map(...)                          // 默认跟前面链在一起
.filter(...)
.map(...)

.keyBy(...)                        // 这里自动断链(因为要 shuffle)

.window(...)                       // 窗口开始新链
.sum(0)
.startNewChain()                   // 强制从窗口开始新链(可选)

.map(new RichMapFunction(...))     // Rich 开状态,自动断链
.disableChaining()                 // 强制跟前面断开(保险)

.addSink(new ClickHouseSink())     // sink 一般都单独断开
.setParallelism(8)
.disableChaining();                // 生产必写!防止 sink 反压拖垮整个链
2.3. 生产中最常见的 3 个算子链黄金写法
场景推荐写法
写 MySQL/Redis/ES 等慢 sink一定在 sink 前加 .disableChaining()
窗口聚合是热点.window(...).sum(...).startNewChain()
想完全掌控链的划分给每个大算子都手动加 slotSharingGroup
.slotSharingGroup("source") → source 单独一组
.slotSharingGroup("window") → 窗口单独一组
.slotSharingGroup("default") → 其他默认

一句话总结: 算子链是 Flink 免费送你的性能加速器,默认能链就链,但生产中永远记得给 sink 和热点算子主动断链(disableChaining),否则一旦反压,整个作业全卡死。

3. 任务槽(Task Slots)

3.1. 任务槽(Task Slots)一句话概述

Task Slot = TaskManager 里的一块“工位” ,一个 Slot 就是一个线程 + 一份固定内存,决定了这个 TaskManager 同一时刻最多能同时跑多少个并行子任务(subtask)。

用最通俗的比喻: 一个 TaskManager 就像学校的一间教室,Slot 就是教室里的课桌。

  • 教室有 8 张课桌(8 个 slot)→ 最多同时坐 8 个学生(8 个 subtask)
  • 学生可以共享课桌(默认开启 slot sharing)
  • 你也可以规定某些学生只能坐指定颜色的课桌(slotSharingGroup)
3.2. Task Slot 和 Parallelism 的终极区别(背下来)
名词含义谁决定举例
Parallelism我总共需要多少个工人干活作业自己决定我的 window 并行度 64 → 需要 64 个工人
Task Slot每个工厂(TaskManager)有几个工位集群管理员配置每台机器配 8 个 slot → 8 个工位
关系Parallelism ≤ 所有 TaskManager 的 Slot 总数否则作业起不来3 台机 × 8 slot = 最多支持 24 并行度
3.3. 生产中最常用的 3 种操作(直接背代码和命令)
操作需求具体怎么做(100% 生产真实写法)说明
1. 改一台机器的 slot 数量(最常用)编辑 flink-conf.yaml(每台机器都要改) taskmanager.numberOfTaskSlots: 16生产主流配置:32核机器配 16~32 个 slot
2. 某个算子独占 slot,不跟别人共享.slotSharingGroup("heavy")防止热点算子被轻量级算子抢资源
3. 完全关闭 slot 共享(极少用)全局关闭(不推荐) taskmanager.slot-sharing.enabled: false每个 subtask 独占一个 slot,浪费资源,基本没人这么干
3.4. 生产黄金配置模板
# flink-conf.yaml(每台 TaskManager 都配这个)
taskmanager.numberOfTaskSlots: 24          # 32核机器最常见配 24
taskmanager.memory.process.size: 32g       # 总内存
jobmanager.memory.process.size: 4g

# 代码里热点算子单独分组(强烈推荐)
stream
.source(...)                                      # 默认组
.map(...)

.keyBy(...)
.window(...)                                      # 热点!
.process(new MyHeavyProcessFunction())
.slotSharingGroup("window-heavy")                 # 单独一组 slot

.addSink(new SlowMySQLSink())
.slotSharingGroup("mysql-sink")                   # 慢 sink 单独一组
.setParallelism(6);
3.5. 生产中最常见的 3 个 slot 配置经验值
机器规格推荐 slot 数理由
16核 64G12~16留点内存给 RocksDB
32核 128G20~32主流配置,24 最常见
64核 256G+40~64大状态作业才这么配
3.6. 一句话总结

Slot 是资源(工位),Parallelism 是需求(工人) → 工人不能比工位多 → 生产永远先看集群总 slot 够不够,再决定能开多大并行度 → 热点算子一定要 slotSharingGroup 分组,否则互相抢 slot 一卡全卡。

记住这三行配置,90% 的性能问题都解决了:

taskmanager.numberOfTaskSlots: 24

Java

.window(...).slotSharingGroup("heavy-window")
.addSink(...).slotSharingGroup("slow-sink")

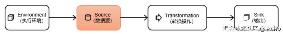
三、第三部分:DataStreamAPI

DataStream API 是Flink的核心层API。一个Flink程序,其实就是对 DataStream (数据流) 的各种转换。具体来说,代码基本上都由以下几部分构成:

StreamExecutionEnvironment env = StreamExecutionEnvironment.getExecutionEnvironment();

// 1. Source(从哪读)
DataStream<String> stream = env
    .fromSource(kafkaSource, WatermarkStrategy.noWatermarks(), "kafka");

// 2. Transform(怎么算
stream
    .map(json -> parse(json))                 // 解析
    .filter(obj -> obj != null)
    .assignTimestampsAndWatermarks(watermarkStrategy)  // 事件时间 + 水印(重点)
    .keyBy(obj -> obj.id)
    .window(TumblingEventTimeWindows.of(Time.minutes(1)))  // 窗口
    .aggregate(new MyAggFunction())           // 聚合(或者 .sum()/.reduce())等等

// 3. Sink(写到哪去)
    .addSink(new ClickHouseSink())
    .setParallelism(8)
    .slotSharingGroup("ck-sink");             // 生产必写 防止反压传染

env.execute("my-real-time-job");

1、执行环境(必须第一步)

最简单的方式,就是直接调用getExecutionEnvironment方法。它会根据当前运行的上下文直接得到正确的结果:如果程序是独立运行的,就返回一个本地执行环境;如果是创建了jar包,然后从命令行调用它并提交到集群执行,那么就返回集群的执行环境。也就是说,这个方法会根据当前运行的方式,自行决定该返回什么样的运行环境。

StreamExecutionEnvironment env = StreamExecutionEnvironment.getExecutionEnvironment();
// 可选:设置并行度、开启 Checkpoint
env.setParallelism(1);                          // 全局并行度(生产慎用)
env.enableCheckpointing(10000L);                // 开启 Exactly-once Checkpoint

(如果生产使用的是云产品部署,这里代码里面就不要写死处理Checkpoint)

2、Source(从哪儿读数据)

Source 是整个 Flink 作业的入口,决定了数据从哪儿来、怎么来、是否带事件时间。 生产中 90% 的 Source 都是 Kafka,剩下 10% 是测试/文件/自定义。

1. Source 分类 & 使用频率

类型使用场景生产频率推荐度
Kafka生产实时数据入口★★★★★必学
文件(File)批处理或小数据测试★★了解
集合(Collection)本地测试、单元测试★★★常用
Socket快速验证、nc 测试★★了解
DataGen性能测试、压测★★★推荐
自定义 Source特殊数据源(MySQL/Redis 等)★★★进阶

生产推荐:Kafka + WatermarkStrategy(事件时间 + 水印)。

2. Kafka Source (生产主力)

// 加 flink-connector-kafka 依赖
KafkaSource<WaterSensor> kafkaSource = KafkaSource.<WaterSensor>builder()
    .setBootstrapServers("hadoop102:9092,hadoop103:9092")
    .setTopics("sensor-topic")
    .setGroupId("flink-group-01")
    .setStartingOffsets(OffsetsInitializer.earliest())     // 或 latest() / committedOffsets()
    .setValueOnlyDeserializer(new DeserializationSchema<WaterSensor>() {
        @Override
        public WaterSensor deserialize(byte[] message) throws IOException {
            // 自己写 JSON 解析,比如 FastJSON / Gson
            return JSON.parseObject(message, WaterSensor.class);
        }
        @Override
        public boolean isEndOfStream(WaterSensor nextElement) { return false; }
        @Override
        public TypeInformation<WaterSensor> getProducedType() {
            return TypeInformation.of(WaterSensor.class);
        }
    })
    .build();

DataStream<WaterSensor> stream = env.fromSource(
    kafkaSource,
    WatermarkStrategy.<WaterSensor>forBoundedOutOfOrderness(Duration.ofSeconds(5))  // 水印
        .withTimestampAssigner((sensor, ts) -> sensor.ts),
    "kafka-source"
);

3. Source 层生产必需考虑的 3 件事

配置项代码位置为什么必须配
Checkpoint(Exactly-once)env.enableCheckpointing(10000L, CheckpointingMode.EXACTLY_ONCE);Kafka Source 才能实现端到端精确一次
水印 + 事件时间WatermarkStrategy.forBoundedOutOfOrderness(...) + withTimestampAssigner窗口才能基于事件时间正确计算,处理乱序
并行度对齐 Kafka 分区Source 并行度 = Kafka 分区数否则吞吐打折,某些分区消费慢

4. 一句话总结 Source 层

生产作业 99% 都是从 Kafka Source 开始,配好 Checkpoint + 水印 + 并行度对齐分区,就能稳稳吃下 10w+ QPS,剩下就是 Transform 和 Sink 的事了。

3、Transform (怎么算)

Transform 是 DataStream API 的核心,负责对数据流进行各种转换、过滤、分组、窗口、聚合等操作。 生产中 90% 的业务逻辑都在这里实现。

1. Transform 基本分类

类型作用常见操作生产频率
逐条处理一进一出(或过滤)map、flatMap、filter★★★★★
分组按 key 分组keyBy★★★★★
窗口把无限流切成有限段window(Tumbling/Sliding/Session)★★★★★
聚合窗口内/全局聚合sum、reduce、aggregate、process★★★★★
时间 & 水印处理乱序 + 事件时间assignTimestampsAndWatermarks★★★★★
高级定时器、状态、侧输出、双流连接process、connect、sideOutput★★★★

2. 常用的 Transform

2.1. map / flatMap / filter
stream
    .map(sensor -> {                          // 一对一转换
        sensor.vc = sensor.vc * 10;
        return sensor;
    })
    .flatMap(sensor -> {                      // 一对多(比如拆分字符串)
        return Stream.of(sensor.id, sensor.id + "_copy");
    })
    .filter(sensor -> sensor.vc > 100);       // 过滤
2.1.1. 映射(map)

map是大家非常熟悉的大数据操作算子,主要用于将数据流中的数据进行转换,形成新的数据流。简单来说,就是一个“一一映射”,消费一个元素就产出一个元素。

2.1.2. 过滤(filter)

filter转换操作,顾名思义是对数据流执行一个过滤,通过一个布尔条件表达式设置过滤条件,对于每一个流内元素进行判断,若为true则元素正常输出,若为false则元素被过滤掉。

2.1.3. 扁平映射(flatMap)

flatMap操作又称为扁平映射,主要是将数据流中的整体(一般是集合类型)拆分成一个一个的个体使用。消费一个元素,可以产生0到多个元素。flatMap可以认为是“扁平化”(flatten)和“映射”(map)两步操作的结合,也就是先按照某种规则对数据进行打散拆分,再对拆分后的元素做转换处理。

2.2. keyBy(分组,必须在窗口前用,这一步操作也可以叫做开窗操作)

计算的结果不仅依赖当前数据,还跟之前的数据有关,相当于要把所有数据聚在一起进行汇总合并——这就是所谓的“聚合”(Aggregation),类似于MapReduce中的reduce操作。

stream.keyBy(sensor -> sensor.id)             // 按 id 分组(String/POJO 字段都行)
      .keyBy(new KeySelector<WaterSensor, String>() {  // 自定义 KeySelector
          @Override
          public String getKey(WaterSensor s) { return s.id; }
      });

在内部,是通过计算key的哈希值(hash code),对分区数进行取模运算来实现的。所以这里key如果是POJO的话,必须要重写hashCode()方法。

2.3. window(窗口,实时计算灵魂)

(这个后面统一讲,这个比较重要)

2.4. 聚合(sum/reduce/aggregate)
2.4.1. 简单聚合

有了按键分区的数据流KeyedStream,我们就可以基于它进行聚合操作了。Flink为我们内置实现了一些最基本、最简单的聚合API,主要有以下几种:

  • sum():在输入流上,对指定的字段做叠加求和的操作。
  • min():在输入流上,对指定的字段求最小值。
  • max():在输入流上,对指定的字段求最大值。
  • minBy():与min()类似,在输入流上针对指定字段求最小值。不同的是,min()只计算指定字段的最小值,其他字段会保留最初第一个数据的值;而minBy()则会返回包含字段最小值的整条数据。
  • maxBy():与max()类似,在输入流上针对指定字段求最大值。两者区别与min()/minBy()完全一致。
// 简单 sum
.window(...)
.sum("vc")                                    // 按 vc 字段求和

// reduce(自定义累加)
.reduce((a, b) -> {
    a.vc += b.vc;
    return a;
})

// aggregate(最强大,自定义聚合状态)
.aggregate(new MyAggregateFunction())

简单聚合算子返回的,同样是一个SingleOutputStreamOperator,也就是从KeyedStream又转换成了常规的DataStream。所以可以这样理解:keyBy和聚合是成对出现的,先分区、后聚合,得到的依然是一个DataStream。而且经过简单聚合之后的数据流,元素的数据类型保持不变。

一个聚合算子,会为每一个key保存一个聚合的值,在Flink中我们把它叫作“状态”(state)。所以每当有一个新的数据输入,算子就会更新保存的聚合结果,并发送一个带有更新后聚合值的事件到下游算子。对于无界流来说,这些状态是永远不会被清除的,所以我们使用聚合算子,应该只用在含有有限个key的数据流上。

2.4.2. 归约聚合(reduce)

reduce可以对已有的数据进行归约处理,把每一个新输入的数据和当前已经归约出来的值,再做一个聚合计算。

public interface ReduceFunction<T> extends Function, Serializable {
    T reduce(T value1, T value2) throws Exception;
}

ReduceFunction接口里需要实现reduce()方法,这个方法接收两个输入事件,经过转换处理之后输出一个相同类型的事件。在流处理的底层实现过程中,实际上是将中间“合并的结果”作为任务的一个状态保存起来的;之后每来一个新的数据,就和之前的聚合状态进一步做归约。

3. 物理分区算子 (Physical Partitioning)

常见的物理分区策略有:随机分配(Random)、轮询分配(Round-Robin)、重缩放(Rescale)和广播(Broadcast)。

3.1. 随机分区(shuffle)

最简单的重分区方式就是直接“洗牌”。通过调用DataStream的 .shuffle() 方法,将数据随机地分配到下游算子的并行任务中去

随机分区服从均匀分布(uniform distribution),所以可以把流中的数据随机打乱,均匀地传递到下游任务分区。因为是完全随机的,所以对于同样的输入数据, 每次执行得到的结果也不会相同。

3.2. 轮询分区(Round-Robin)

轮询,简单来说就是“发牌”,按照先后顺序将数据做依次分发。通过调用DataStream的.rebalance()方法,就可以实现轮询重分区。rebalance使用的是Round-Robin负载均衡算法,可以将输入流数据平均分配到下游的并行任务中去。

3.3. 重缩放分区(rescale)

重缩放分区和轮询分区非常相似。当调用rescale()方法时,其实底层也是使用Round-Robin算法进行轮询,但是只会将数据轮询发送到下游并行任务的一部分中。rescale的做法是分成小团体,发牌人只给自己团体内的所有人轮流发牌。

3.4. 广播(broadcast)

这种方式其实不应该叫做“重分区”,因为经过广播之后,数据会在不同的分区都保留一份,可能进行重复处理。可以通过调用DataStream的broadcast()方法,将输入数据复制并发送到下游算子的所有并行任务中去。

3.5. 全局分区(global)

全局分区也是一种特殊的分区方式。这种做法非常极端,通过调用.global()方法,会将所有的输入流数据都发送到下游算子的第一个并行子任务中去。这就相当于强行让下游任务并行度变成了1,所以使用这个操作需要非常谨慎,可能对程序造成很大的压力。

3.6. 自定义分区(Custom)

当Flink提供的所有分区策略都不能满足用户的需求时,我们可以通过使用partitionCustom()方法来自定义分区策略。

1)自定义分区器

public class MyPartitioner implements Partitioner<String> {

    @Override
    public int partition(String key, int numPartitions) {
        return Integer.parseInt(key) % numPartitions;
    }
}

2)使用自定义分区

public class PartitionCustomDemo {
    public static void main(String[] args) throws Exception {
//        StreamExecutionEnvironment env = StreamExecutionEnvironment.getExecutionEnvironment();
        StreamExecutionEnvironment env = StreamExecutionEnvironment.createLocalEnvironmentWithWebUI(new Configuration());

        env.setParallelism(2);

        DataStreamSource<String> socketDS = env.socketTextStream("hadoop102", 7777);

        DataStream<String> myDS = socketDS
                .partitionCustom(
                        new MyPartitioner(),
                        value -> value);
                

        myDS.print();

        env.execute();

4. 分流

所谓“分流”,就是将一条数据流拆分成完全独立的两条、甚至多条流。也就是基于一个DataStream,定义一些筛选条件,将符合条件的数据拣选出来放到对应的流里。

4.1. 简单实现

其实根据条件筛选数据的需求,本身非常容易实现:只要针对同一条流多次独立调用.filter()方法进行筛选,就可以得到拆分之后的流了。

案例需求: 读取一个整数数字流,将数据流划分为奇数流和偶数流。

public class SplitStreamByFilter {

    public static void main(String[] args) throws Exception {

        
        StreamExecutionEnvironment env = StreamExecutionEnvironment.getExecutionEnvironment();
      
        SingleOutputStreamOperator<Integer> ds = env.socketTextStream("hadoop102", 7777)
                                                           .map(Integer::valueOf);
        //将ds 分为两个流 ,一个是奇数流,一个是偶数流
        //使用filter 过滤两次
        SingleOutputStreamOperator<Integer> ds1 = ds.filter(x -> x % 2 == 0);
        SingleOutputStreamOperator<Integer> ds2 = ds.filter(x -> x % 2 == 1);

        ds1.print("偶数");
        ds2.print("奇数");
        
        env.execute();
    }
}

这种实现非常简单,但代码显得有些冗余——我们的处理逻辑对拆分出的三条流其实是一样的,却重复写了三次。而且这段代码背后的含义,是将原始数据流stream复制三份,然后对每一份分别做筛选;这明显是不够高效的。我们自然想到,能不能不用复制流,直接用一个算子就把它们都拆分开呢?

4.2. 侧输出流

分流 = 把一条主流里“不想要”或“特殊处理”的数据,单独拎出来走另一条支流。

最常见的两个场景:

  1. 窗口迟到数据 (超出了 allowedLateness)
  2. 脏数据/异常数据 (解析失败、字段为空等)

不分流的话,这些数据要么丢掉,要么污染主流结果;分流后可以单独打印、写死库、告警,完全不影响主流。

4.2.1. 分流核心代码
// 1. 定义侧输出标签(必须用 OutputTag)
OutputTag<WaterSensor> lateTag = new OutputTag<WaterSensor>("late-data"){};   // 迟到数据
OutputTag<WaterSensor> dirtyTag = new OutputTag<WaterSensor>("dirty-data"){}; // 脏数据

// 2. 在主流中声明分流
SingleOutputStreamOperator<Result> mainStream = stream
    .process(new MyCleanFunction())                // 手动分脏数据
    .keyBy(s -> s.id)
    .window(TumblingEventTimeWindows.of(Time.minutes(1)))
    .allowedLateness(Time.minutes(1))              // 允许迟到1分钟还能参与计算
    .sideOutputLateData(lateTag)                   // 超过1分钟的自动分到 lateTag
    .sum("vc");

// 3. 取出侧输出流单独处理
DataStream<WaterSensor> lateStream = mainStream.getSideOutput(lateTag);
lateStream.print("【迟到数据】>>>");

DataStream<WaterSensor> dirtyStream = mainStream.getSideOutput(dirtyTag);
dirtyStream.addSink(new KafkaDirtySink());         // 写死库或发钉钉告警

4.2.2. 两种常见分流方式

方式一:窗口自动分流迟到数据

.keyBy(s -> s.id)
.window(TumblingEventTimeWindows.of(Time.minutes(1)))
.allowedLateness(Time.minutes(1))        // 允许迟到1分钟
.sideOutputLateData(lateTag)             // 超时的自动分流
.sum("vc");

方式二:ProcessFunction 手动分流

.process(new ProcessFunction<String, WaterSensor>() {
    @Override
    public void processElement(String json, Context ctx, Collector<WaterSensor> out) {
        try {
            WaterSensor sensor = JSON.parseObject(json, WaterSensor.class);
            if (sensor.vc < 0) {
                ctx.output(dirtyTag, sensor);   // 负值算脏数据,分流
                return;
            }
            out.collect(sensor);                // 正常数据进主流
        } catch (Exception e) {
            ctx.output(dirtyTag, new WaterSensor("parse_error", 0L, 0)); // 解析失败也分流
        }
    }
})

5. 合流

5.1. union(简单河流操作)

最简单的合流操作,就是直接将多条流合在一起,叫作流的“联合”(union)。联合操作要求必须流中的数据类型必须相同,合并之后的新流会包括所有流中的元素,数据类型不变。

特点

  • 多条流合并成一条
  • 元素类型必须一致
  • 不保证顺序(只是把所有数据混在一起)
  • 并行度取最大值
DataStream<WaterSensor> stream1 = env.socketTextStream("localhost", 7777).map(...);
DataStream<WaterSensor> stream2 = env.readTextFile("sensor2.txt").map(...);
DataStream<WaterSensor> stream3 = env.fromSource(kafkaSource, ...);

// 合流:三条流合并成一条
DataStream<WaterSensor> unionStream = stream1
.union(stream2, stream3)          // 可以传多个流
.keyBy(s -> s.id)
.window(TumblingEventTimeWindows.of(Time.minutes(1)))
.sum("vc");

unionStream.print("合流结果");

适用场景

  • 多个 Kafka topic 的同构数据
  • 多个文件/多个分区数据合并统计
  • 测试多个来源的相同格式数据

生产注意:union 不改变数据类型,也不提供额外处理逻辑,适合“纯合并”场景。

5.2. connect(类型可不同,最强大合流方式)

流的联合虽然简单,不过受限于数据类型不能改变,灵活性大打折扣,所以实际应用较少出现。除了联合(union),Flink还提供了另外一种方便的合流操作——连接(connect)。

特点

  • 两条流(只能两条)合并成 ConnectedStreams
  • 类型可以不同(左流 A,右流 B)
  • 能分别处理两条流(CoMap / CoFlatMap / CoProcess)
  • 可以共享状态(广播状态、Keyed 状态共享)

代码示例(三种常见用法):

5.2.1. 用法1:CoMap / CoFlatMap(简单分别映射)
DataStream<Order> orderStream = ...;     // 类型 Order
DataStream<Payment> payStream = ...;     // 类型 Payment

ConnectedStreams<Order, Payment> connected = orderStream.connect(payStream);

// 分别 map 处理
DataStream<String> result = connected
    .map(
        order -> "订单: " + order.id,                // 处理左流
        pay   -> "支付: " + pay.orderId              // 处理右流
    );

result.print();
5.2.2. 用法2:CoProcessFunction(最灵活,能访问状态、定时器)
ConnectedStreams<Order, Payment> connected = orderStream.connect(payStream);

SingleOutputStreamOperator<String> result = connected
    .process(new CoProcessFunction<Order, Payment, String>() {
        ValueState<Order> orderState = getRuntimeContext().getState(...);
        ValueState<Payment> payState = getRuntimeContext().getState(...);

        @Override
        public void processElement1(Order order, Context ctx, Collector<String> out) {
            // 处理订单流
            if (payState.value() != null) {
                out.collect("匹配成功: " + order.id);
            } else {
                orderState.update(order);
                ctx.timerService().registerEventTimeTimer(order.ts + 30000); // 30秒超时
            }
        }

        @Override
        public void processElement2(Payment pay, Context ctx, Collector<String> out) {
            // 处理支付流
            if (orderState.value() != null) {
                out.collect("匹配成功: " + pay.orderId);
            } else {
                payState.update(pay);
            }
        }

        @Override
        public void onTimer(long timestamp, OnTimerContext ctx, Collector<String> out) {
            // 超时逻辑
            out.collect("超时未匹配");
        }
    });
5.2.3. 广播状态(Broadcast Connect,常用于规则配置下发)
DataStream<Rule> ruleStream = ...;  // 规则流(低频更新)

BroadcastStream<Rule> broadcastRules = ruleStream.broadcast(ruleDescriptor);

DataStream<Event> eventStream = ...;

eventStream.connect(broadcastRules)
    .process(new BroadcastProcessFunction<Event, Rule, String>() {
        // 处理事件 + 广播规则
    });
5.3. 3. union vs connect 对比
对比项unionconnect
流数量2条或多条仅2条
类型要求必须相同可以不同
处理方式自动合并,无自定义逻辑需要 CoMap / CoProcess 手动处理
共享状态不支持支持(尤其是广播状态)
生产常见场景同类型多源合并双流 join、规则广播、订单支付匹配

一句话总结

  • 想简单合并同类型多流 → 用 union
  • 想分别处理两条流、共享状态、做 join/匹配 → 用 connect + CoProcess

4、Sink(把结果写出去)

Flink作为数据处理框架,最终还是要把计算处理的结果写入外部存储,为外部应用提供支持。

Sink 是 Flink 作业的出口,负责将计算结果写入外部系统(如数据库、消息队列、文件、Redis 等)。 生产中 80% 的 Sink 都是 Kafka、JDBC、ClickHouse/Doris、Redis、ES 等,剩余是文件/打印(测试用)或自定义。

1. Sink 分类 & 使用频率

类型典型场景生产频率推荐写法 & 注意点
Print / PrintToErr测试、调试★★★.print().printToErr(),并行度自动设为1
文件(FileSink)批式输出、归档★★FileSink.forRowFormat(...),支持分桶/滚动
Kafka实时数仓下游、消息转发★★★★★FlinkKafkaProducer,支持 exactly-once
JDBC (MySQL/PostgreSQL)写入关系型数据库★★★★JdbcSink,批量 + 防反压
Redis缓存、实时特征★★★自定义 RichSinkFunction 或社区 connector
Elasticsearch日志/搜索写入★★★ElasticsearchSink,支持 bulk
ClickHouse / Doris实时数仓主流★★★★★社区/官方 connector,批量 upsert
自定义 Sink特殊系统(MQ、HTTP、HBase)★★★★继承 RichSinkFunction

2. 最常用的 6 种 Sink 代码示例(直接复制)

2.1 Print(测试神器)
stream.print();                  // 标准输出
stream.printToErr();             // 错误输出(红色)
stream.print("前缀: ");          // 加前缀区分
2.2 文件 Sink(StreamingFileSink,新版推荐)
// 需要 flink-connector-files 依赖
FileSink<String> fileSink = FileSink
// 这里用的是分布式文件系统地址
.<String>forRowFormat(new Path("hdfs:///output/"), new SimpleStringEncoder<>())
.withRollingPolicy(DefaultRollingPolicy.builder()
                   .withRolloverInterval(Duration.ofMinutes(10))
                   .withMaxPartSize(128 * 1024 * 1024)  // 128MB 滚动
                   .build())
.build();

stream.sinkTo(fileSink);
2.3 Kafka Sink(exactly-once 生产标配)
FlinkKafkaProducer<String> kafkaSink = new FlinkKafkaProducer<>(
    "output-topic",
    new SimpleStringSchema(),
    kafkaProps,                                  // Properties 配置 bootstrap.servers 等
    FlinkKafkaProducer.Semantic.EXACTLY_ONCE);   // 精确一次

stream.addSink(kafkaSink)
.setParallelism(24);                       // 建议与分区数对齐
2.4 JDBC Sink(MySQL/PostgreSQL 批量写入)
// 需要 flink-connector-jdbc + mysql-connector-java
JdbcSink.sink(
    "INSERT INTO sensor (id, ts, vc) VALUES (?, ?, ?)",
    (ps, sensor) -> {
        ps.setString(1, sensor.id);
        ps.setLong(2, sensor.ts);
        ps.setInt(3, sensor.vc);
    },
    JdbcExecutionOptions.builder()
    .withBatchSize(1000)          // 批量 1000
    .withBatchIntervalMs(200)     // 每 200ms 提交
    .build(),
    new JdbcConnectionOptions.JdbcConnectionOptionsBuilder()
    .withUrl("jdbc:mysql://host:3306/db")
    .withDriverName("com.mysql.cj.jdbc.Driver")
    .withUsername("root")
    .withPassword("xxx")
    .build()
)
.disableChaining();                   // 生产必加!防止反压传染
2.5 Redis Sink(自定义示例,生产常用)
public static class RedisSink extends RichSinkFunction<WaterSensor> {
    private Jedis jedis;

    @Override
    public void open(Configuration parameters) {
        jedis = new Jedis("redis-host", 6379);
    }

    @Override
    public void invoke(WaterSensor value, Context context) {
        jedis.hset("sensor:" + value.id, "vc", String.valueOf(value.vc));
    }

    @Override
    public void close() {
        if (jedis != null) jedis.close();
    }
}

stream.addSink(new RedisSink())
.setParallelism(6)
.slotSharingGroup("redis");          // 单独分组防抢资源
2.6 ClickHouse Sink(实时数仓主流,社区 connector 示例)
// 使用 ru.yandex.clickhouse 或官方 flink-connector-clickhouse
stream.addSink(new ClickHouseSinkFunction(...))
.setParallelism(16)
.slotSharingGroup("ck-sink");

3. Sink 层生产(减少出问题的可能)

必做项为什么必须做操作方式
慢 Sink 前断链防止下游慢导致全链反压.disableChaining()
热点/慢 Sink 单独 slot 组避免抢占上游 slot,隔离故障.slotSharingGroup("slow-sink")
并行度合理设置数据库/Kafka 扛不住太高并行JDBC 3~8,Kafka 跟分区对齐
Exactly-once 配置(Kafka 等)端到端精确一次Semantic.EXACTLY_ONCE + Checkpoint
批量 + 超时优化提升吞吐,减少网络开销JdbcExecutionOptions batchSize / interval

4. 一句话总结 Sink 层

Sink 就是“把结果写出去” ,生产核心是: Kafka(消息转发) → JDBC/ClickHouse(数仓落盘) → Redis/ES(缓存/搜索) → 自定义(特殊系统)。 永远记住:慢 Sink 必须 disableChaining + slotSharingGroup + 合理并行度,否则整个作业反压挂掉。

(当前咱们用到的Sink类型有:Kafka,Doris,InfluDB)

四、第四部分:Flink 中的时间和窗口

时间和窗口是 Flink 实时计算的灵魂:时间语义决定“什么时候算”,窗口决定“算哪些数据”。 Flink 是唯一原生支持事件时间 + 水印的开源引擎,这让它在处理乱序数据时远超 Spark Streaming(Spark 只支持处理时间,窗口不灵活)。

1、窗口

正确理解:在 Fink 中,窗口其实并不是一个“框”,应该把窗口理解成一个“桶”。在Fink中,窗口可以把流切割成有限大小的多个“存储桶””(bucket); 每个数据都会分发到对应的桶中,当到达窗口结束时间时,就对每个桶中收集的数据进行计算处理。

注意: Flink中窗口并不是静态准备好的,而是动态创建——当有落在这个窗口区间范围的数据达到时,才创建对应的窗口。

为什么要有窗口?
无界流永远不会结束,无法直接做 sum、count、group by 等聚合操作。 窗口人为地给数据流划定边界,让聚合有意义。

1.1 窗口的分类

按照驱动类型分的话,可以分为时间类型窗口和计数类型窗口以及自定义类型窗口,这些类型的窗口里面,Flink会有具体的窗口实现。

a. 时间类型窗口(Time Window) —— 最常用

时间窗口以时间的维度去定义窗口的开始和结束,所以截取的就是某一个时间段的数据。到达结束时间的时候,窗口不在手机数据,触发计算输出结果,并将窗口销毁,所以可以理解为“定点发车”

1.1.1. 滚动时间窗口(Tumbling Time Window)

滚动窗口固定大小,均匀切片,窗口之间没有重叠,也不会有间隔,是首尾相连的状态,每个数据都会分配到一个窗口,而且只会属于一个窗口

滚动窗口最重要的参数就是,窗口的大小(Window Size ),但是这里的大小可以是时间也可以是个数,但是咱们这里说的是时间滚动窗口,这里的 Window Size 就是时间。

public class TumblingWindowDemo {
    public static void main(String[] args) throws Exception {
        StreamExecutionEnvironment env = StreamExecutionEnvironment.getExecutionEnvironment();
        env.setParallelism(1); // 方便看输出顺序

        // 数据源(模拟带时间戳的数据)
        DataStream<WaterSensor> stream = env.fromElements(
            new WaterSensor("s1", 1000L, 10),
            new WaterSensor("s1", 2000L, 20),
            new WaterSensor("s1", 3000L, 30),
            new WaterSensor("s1", 4000L, 40),
            new WaterSensor("s1", 15000L, 50)  // 故意晚一点,跨窗口
        );

        // 指定事件时间 + 水印(允许 2 秒乱序)
        WatermarkStrategy<WaterSensor> watermarkStrategy = WatermarkStrategy
            .<WaterSensor>forBoundedOutOfOrderness(Duration.ofSeconds(2))
            .withTimestampAssigner((event, timestamp) -> event.ts);

        SingleOutputStreamOperator<WaterSensor> watermarked = stream
            .assignTimestampsAndWatermarks(watermarkStrategy);

        // 滚动窗口:每 5 秒一个窗口
        watermarked
            .keyBy(sensor -> sensor.id)
            .window(TumblingEventTimeWindows.of(Time.seconds(5)))
            .sum("vc")
            .print("滚动窗口结果");

        env.execute();
    }
}
1.1.2. 滑动时间窗口(Sliding Time Window)

滑动窗口的大小也是固定的,但是窗口之间并不是首位相连的,而是可以错开一定的位置。

定义窗口的参数有两个:除了窗口大小(Window Size)以外,还有滑动步长(Window Slide),他其实就是代表窗口计算的频率,滑动步长就代表了计算频率,类似加速度。

滑动步长小于窗口的大小那么就会出现重合的情况,这时候数据就有可能出现分配到多个窗口的情况,而具体的个数,就是窗口大小和滑动步长的比值决定的,滑动窗口适合计算结果更新频率非常高的场景。

// ... 环境和数据源同上 ...

watermarked
    .keyBy(sensor -> sensor.id)
    .window(SlidingEventTimeWindows.of(
        Time.seconds(10),     // 窗口大小 10 秒
        Time.seconds(5)))     // 滑动步长 5 秒
    .sum("vc")
    .print("滑动窗口结果");
1.1.3. 会话时间窗口(Session Time Window)

会话窗口,是基于"会话(session)"来对数据进行分组的。会话窗口只能基于事件维度来定义。

会话窗口中,最重要的参数就是会话的超时时间,也就是两个会话之间的最小距离,如果相邻的两个数据到来的时间间隔小于指定的大小,那么说明还在保持会话,那么属于同一个窗口,如果大于那么新来的数据就应该属于新的窗口,而前一个窗口就应该关闭了

会话窗口的长度不是固定的,开始事件和结束时间也不是固定的,各个分区之间的窗口也没有关联,会话窗口一定不会重合,而且留有至少为size的间隔,在一些保持会话的场景中可以使用这个窗口来进行数据处理

// ... 环境和数据源同上,但调整数据模拟会话间隔 ...

DataStream<WaterSensor> stream = env.fromElements(
    new WaterSensor("s1", 1000L, 10),   // 开始会话
    new WaterSensor("s1", 2000L, 20),
    new WaterSensor("s1", 3000L, 30),
    // 间隔超过 8 秒 → 新会话
    new WaterSensor("s1", 15000L, 50),
    new WaterSensor("s1", 16000L, 60)
);

watermarked
    .keyBy(sensor -> sensor.id)
    .window(EventTimeSessionWindows.withGap(Time.seconds(8)))  // 间隔 > 8s 切新会话
    .sum("vc")
    .print("会话窗口结果");
b. 计数类型窗口(Count Window) —— 条数驱动,生产中约 5~10%
1.1.1. 滚动计数窗口(Tumbling Count Window)

和时间滚动窗口类似,不过这里取得不是时间维度,取得是数据个数,也就是 Window Size 取得是数据个数。

watermarked
    .keyBy(sensor -> sensor.id)
    .countWindow(3)  // 每 3 条数据一个窗口
    .sum("vc")
    .print("滚动计数窗口");
1.1.2. 滑动计数窗口(Sliding Count Window)
watermarked
    .keyBy(sensor -> sensor.id)
    .countWindow(4, 2)  // 窗口大小 4 条,滑动步长 2 条
    .sum("vc")
    .print("滑动计数窗口");

1.2 窗口 API 概览

Flink 窗口 API 的核心调用链路非常清晰,大致可以分为以下几个层次:

DataStream → keyBy / 不 keyBy → window(分配器) → [optional: trigger / evictor] → 窗口函数 → [optional: allowedLateness / sideOutputLateData] → 输出

最核心的几个组成部分:

层级作用是否必须常见实现类 / 方法
keyBy是否按键分区(决定窗口是全局还是分组)视情况keyBy(KeySelector)
window指定窗口分配器(怎么切窗口)必须window(WindowAssigner)
trigger自定义触发计算时机选填trigger(Trigger)
evictor在触发前剔除部分元素选填(极少用)evictor(Evictor)
窗口函数在窗口内怎么聚合/处理数据必须reduce / aggregate / process / fold(已废弃)
allowedLateness允许迟到数据继续参与计算选填allowedLateness(Time)
sideOutputLateData超过 allowedLateness 的数据分流选填sideOutputLateData(OutputTag)

最常见的调用模板

stream
    .keyBy(...)                              // 或不 keyBy
    .window(...)                             // 必须
    .allowedLateness(...)                    // 常用
    .sideOutputLateData(...)                 // 常用
    .sum(...) / .reduce(...) / .aggregate(...) / .process(...)
1. 按键分区(Keyed Windows) vs 非按键分区(Non-Keyed Windows)

这是窗口 API 最重要的一个分水岭,直接决定窗口的计算范围和状态存储方式。

(1) 按键分区窗口(Keyed Windows)—— 绝大多数生产场景使用
  • 必须先 keyBy
  • 每个 key 都有自己独立的窗口(每个 key 独立维护窗口状态)
  • 状态按 key 分散存储(RocksDB 等状态后端按 key 存储)
  • 支持所有窗口类型(时间窗口、计数窗口、全局窗口)
  • 支持增量聚合(reduce/aggregate)效率最高
  • 典型场景:按用户 ID、设备 ID、商品 ID 等分组统计

代码标志: 必须有 .keyBy(...)

(2) 非按键分区窗口(Non-Keyed Windows)—— 全局窗口,所有数据共享同一个窗口
  • 不能 keyBy(或者 keyBy 后又 shuffle 成全局)
  • 整个流只有一个窗口,所有数据都进入同一个窗口
  • 状态是全局的(所有并行度共享一个状态,容易成为瓶颈)
  • 只能使用全局窗口(GlobalWindow) + 自定义 Trigger
  • 不支持增量聚合(reduce/aggregate),只能用 process 全量计算
  • 典型场景:全局去重、全局 TopN、全局唯一计数、所有数据累加到一个阈值才触发

代码标志: 没有 .keyBy(...),直接 .window(GlobalWindows.create())

生产对比总结:

维度Keyed Windows(按键分区)Non-Keyed Windows(非按键分区)
是否 keyBy必须禁止
窗口数量每个 key 一个(成千上万)全流只有一个
状态存储按 key 分散(可扩展)全局单一(容易单点瓶颈)
支持聚合函数reduce / aggregate / process只能 process(全量计算)
生产使用比例95%+极少(<5%)
典型场景按用户/设备/商品统计全局 TopN、全局唯一计数
2. 非按键分区窗口(Non-Keyed Windows)详细说明

非按键窗口几乎只使用 GlobalWindow,配合自定义 Trigger 来实现“全局聚合”。

典型使用场景(生产中遇到的几种):

  1. 全局累计计数,直到达到某个阈值才输出一次
  2. 全局去重(所有数据中不重复的元素)
  3. 全局 TopN(所有数据中的前 N 名)
  4. 所有数据累加到一个计数器,直到收到“结束标记”才输出

核心代码模板

DataStream<WaterSensor> stream = ...;

// 没有 keyBy,直接用 GlobalWindow
stream
    .window(GlobalWindows.create())                     // 全局窗口
    .trigger(new MyCustomTrigger())                     // 必须自定义触发器
    .process(new ProcessWindowFunction<WaterSensor, String, Void, GlobalWindow>() {
        @Override
        public void process(Void key, Context context, Iterable<WaterSensor> elements, Collector<String> out) {
            // 全量计算所有元素
            int count = 0;
            for (WaterSensor s : elements) {
                count += s.vc;
            }
            out.collect("全局总和: " + count);
        }
    })
    .print();

自定义 Trigger 示例(最常见:每 100 条触发一次):

public static class CountTrigger extends Trigger<WaterSensor, GlobalWindow> {
    private final long count;

    public CountTrigger(long count) {
        this.count = count;
    }

    @Override
    public TriggerResult onElement(WaterSensor element, long timestamp, GlobalWindow window, TriggerContext ctx) {
        // 每来一条数据,计数器 +1
        Long currentCount = ctx.getPartitionedState(new ValueStateDescriptor<>("count", Long.class, 0L)).value();
        currentCount = (currentCount == null ? 0 : currentCount) + 1;
        ctx.getPartitionedState(new ValueStateDescriptor<>("count", Long.class)).update(currentCount);

        if (currentCount >= count) {
            return TriggerResult.FIRE_AND_PURGE;  // 触发计算并清空窗口
        }
        return TriggerResult.CONTINUE;
    }

    // 其他方法省略(onProcessingTime / onEventTime / clear)
}

使用:

.window(GlobalWindows.create())
.trigger(new CountTrigger(100))   // 每 100 条触发一次

注意

  • 非按键窗口状态是全局的,数据量大时容易 OOM 或单点瓶颈。
  • 只能用 process 全量计算,不能用 reduce/aggregate(因为没有 key 分散状态)。
  • 除非业务明确要求“全局聚合”,否则强烈建议使用 Keyed Window。
3. 代码中窗口 API 的典型调用方式

模板 1:最常见 Keyed 时间窗口

stream
    // 水位线
    .assignTimestampsAndWatermarks(watermarkStrategy)
    // 分组开窗
    .keyBy(r -> r.id)
    // 1分支滚动窗口
    .window(TumblingEventTimeWindows.of(Time.minutes(1)))
    // 允许迟到的数据时间
    .allowedLateness(Time.minutes(2))
    // 侧输出流
    .sideOutputLateData(lateTag)
    // 集合
    .aggregate(new MyAggregateFunction())
    .name("1分钟滚动聚合");

模板 2:Keyed 滑动窗口

.keyBy(...)
.window(SlidingEventTimeWindows.of(Time.minutes(5), Time.seconds(30)))
.sum("vc");

模板 3:Keyed 会话窗口

.keyBy(...)
.window(EventTimeSessionWindows.withGap(Time.minutes(30)))
.process(new SessionProcessFunction());

模板 4:Non-Keyed 全局窗口(少见)

stream
    .window(GlobalWindows.create())
    .trigger(new CountTrigger(1000))
    .process(new GlobalTopNProcessFunction());

模板 5:带侧输出的完整生产写法

OutputTag<WaterSensor> lateTag = new OutputTag<WaterSensor>("late") {};

SingleOutputStreamOperator<Result> mainResult = stream
    .keyBy(...)
    .window(...)
    .allowedLateness(...)
    .sideOutputLateData(lateTag)
    .aggregate(...);

mainResult.print("正常结果");
mainResult.getSideOutput(lateTag).addSink(lateSink);  // 迟到数据单独处理

总结一句话:

窗口 API 的本质就是:先决定是否 keyBy(分组还是全局),再选 window 分配器切桶,最后用聚合函数计算,生产中 95% 是 Keyed + Tumbling/Sliding + aggregate/process + 迟到处理

4.关键点总结
问题答案
可以先 keyBy 再加 window 再加 trigger 吗?可以,而且是推荐的写法
trigger 是作用在哪个层面?作用在每个 key 的每个窗口实例上(Keyed Window)
非 keyBy 的流可以用 trigger 吗?可以,但必须用 GlobalWindows.create(),而且状态不按 key 分散
trigger 和 allowedLateness 冲突吗?不冲突,trigger 决定“什么时候计算一次”,allowedLateness 决定“迟到数据还能参与多久”
自定义 trigger 最常见的目的1. 条数阈值触发 2. 外部信号触发 3. 组合触发(时间+条数+信号) 4. 延迟保底触发

1.3 窗口分配器

定义窗口分配器(Window Assigners)是构建窗口算子的第一步,它的作用就是定义数据应该被“分配”到哪个窗口。所以可以说,窗口分配器其实就是在指定窗口的类型

(在上述窗口类型已经做具体案列使用了)

1. 时间计数的窗口分配器(最常用,基于时间戳计数)

这些分配器以时间长度作为窗口的划分依据,是生产中 90%+ 的场景所用。

分配器类名中文名称计数方式说明是否重叠生产使用频率典型代码写法
TumblingEventTimeWindows滚动事件时间窗固定时间长度,不重叠★★★★★.window(TumblingEventTimeWindows.of(Time.minutes(10)))
TumblingProcessingTimeWindows滚动处理时间窗固定时间长度,不重叠(基于机器时间)★★.window(TumblingProcessingTimeWindows.of(Time.seconds(30)))
SlidingEventTimeWindows滑动事件时间窗固定窗口大小 + 滑动步长,可重叠★★★★.window(SlidingEventTimeWindows.of(Time.hours(1), Time.minutes(5)))
SlidingProcessingTimeWindows滑动处理时间窗固定窗口大小 + 滑动步长,可重叠(机器时间)★★.window(SlidingProcessingTimeWindows.of(Time.minutes(10), Time.seconds(30)))
EventTimeSessionWindows事件时间会话窗根据不活跃间隔(gap)动态计数时间★★★.window(EventTimeSessionWindows.withGap(Time.minutes(30)))
ProcessingTimeSessionWindows处理时间会话窗根据不活跃间隔动态计数(机器时间).window(ProcessingTimeSessionWindows.withGap(Time.seconds(60)))

小结: 时间计数的分配器占主导地位,其中 TumblingEventTimeWindows 和 SlidingEventTimeWindows 是绝对主力。

2. 元素计数的窗口分配器(基于数据条数计数)

这些分配器不看时间,只看来了多少条数据。

分配器类名中文名称计数方式说明是否重叠生产使用频率典型代码写法
CountWindow计数窗口滚动或滑动,基于元素个数可选★★.countWindow(1000).countWindow(5000, 1000)
GlobalWindows全局窗口不自动切分,所有元素进同一个窗口.window(GlobalWindows.create())

说明

  • .countWindow(size) → 滚动计数窗口,每 size 条一个窗口
  • .countWindow(size, slide) → 滑动计数窗口,每 slide 条触发一次,窗口包含最近 size 条
3. 其他 / 特殊计数的窗口分配器(高级 / 自定义)
分配器类名中文名称计数方式说明生产使用频率典型代码写法
MergingWindowAssigner可合并窗口分配器内部类,主要用于 Session 等可合并窗口(一般不直接使用)
WindowAssigner(自定义)自定义窗口分配器完全自己决定一条数据属于哪些窗口★(极少)继承 WindowAssigner 并实现 assignWindows 方法
4.总结:按“计数”维度
  • 时间计数(主流) → Tumbling / Sliding / Session(EventTime 优先)
  • 元素计数(次主流) → countWindow(size)或 countWindow(size, slide)
  • 无固定计数 → GlobalWindows + 自定义 Trigger
  • 完全自由计数 → 自己写 WindowAssigner(狗都不用)
5.快速对照表(常见的 5 种)
你想实现的效果推荐分配器是否需要 keyBy计数依据
每 10 分钟统计一次,不重叠TumblingEventTimeWindows必须时间
最近 30 分钟,每 1 分钟更新一次SlidingEventTimeWindows必须时间
用户不操作超过 20 分钟就算新会话EventTimeSessionWindows必须时间间隔
每 10000 条数据聚合一次countWindow(10000)必须元素条数
所有数据累积到 5000 条才输出一次GlobalWindows + 自定义 Trigger不需要自定义计数

1.4 窗口函数

窗口函数是窗口切好之后,在窗口内部对数据进行真正计算的部分。 简单说:窗口分配器负责“切桶”,窗口函数负责“桶里怎么算”。

窗口函数(Window Functions)分为三大类,这也是生产中最常用、最清晰的划分方式:

  1. 增量聚合函数(Incremental Aggregation Functions) —— 代表:ReduceFunction / AggregateFunction
  2. 全窗口函数(Full Window Functions) —— 代表:ProcessWindowFunction / 全量 WindowFunction
  3. 增量聚合 + 全窗口函数的结合使用 —— 生产中最推荐的混合模式(先增量聚合、再全窗口处理)
1.1. 增量聚合函数(ReduceFunction / AggregateFunction)

核心特点: 每来一条数据,就和之前的中间结果进行一次合并(增量计算),不需要把窗口内所有数据都保存在内存里,内存占用极低,计算效率最高。

适用场景

  • 简单聚合(sum、max、min、count)
  • 可以用二元操作合并的指标(如字符串拼接、向量加法)
  • 对内存敏感的大窗口场景
1.1.1. ReduceFunction(最简单增量聚合)
stream
    .keyBy(sensor -> sensor.id)
    .window(TumblingEventTimeWindows.of(Time.minutes(1)))
    .reduce(new ReduceFunction<WaterSensor>() {
        @Override
        public WaterSensor reduce(WaterSensor a, WaterSensor b) throws Exception {
            a.vc += b.vc;  // 累加 vc
            return a;      // 返回合并后的结果
        }
    })
    .print();

优点

  • 代码最短
  • 状态只存一个元素(极省内存)

缺点

  • 输入和输出类型必须完全一致
  • 无法输出复杂类型(如带窗口开始/结束时间的元组)
1.1.2. AggregateFunction(更灵活的增量聚合,生产主力)
// 自定义 AggregateFunction:计算 (总 vc, 条数) → 平均值
public static class AvgVcAgg implements AggregateFunction<WaterSensor, Tuple2<Long, Long>, Double> {

    @Override
    public Tuple2<Long, Long> createAccumulator() {
        return Tuple2.of(0L, 0L);  // (总 vc, 计数)
    }

    @Override
    public Tuple2<Long, Long> add(WaterSensor value, Tuple2<Long, Long> acc) {
        return Tuple2.of(acc.f0 + value.vc, acc.f1 + 1);
    }

    @Override
    public Double getResult(Tuple2<Long, Long> acc) {
        return acc.f1 == 0 ? 0.0 : (double) acc.f0 / acc.f1;
    }

    @Override
    public Tuple2<Long, Long> merge(Tuple2<Long, Long> a, Tuple2<Long, Long> b) {
        return Tuple2.of(a.f0 + b.f0, a.f1 + b.f1);
    }
}

// 使用
stream
    .keyBy(sensor -> sensor.id)
    .window(TumblingEventTimeWindows.of(Time.minutes(1)))
    .aggregate(new AvgVcAgg())
    .print("1分钟平均 vc");

优点

  • 累加器类型可以和输入/输出类型完全不同(非常灵活)
  • 支持 merge(状态后端 checkpoint 时合并状态)
  • 内存占用仍然很低

推荐指数:生产中最常用增量聚合方式。

1.2. 全窗口函数(Full Window Functions)

核心特点: 窗口触发时,会把窗口内所有原始数据(Iterable)都传递给函数,属于全量计算。 可以访问窗口的元数据(开始/结束时间、当前 key 等)。

适用场景

  • 需要窗口开始/结束时间
  • 需要对窗口内所有数据做排序、去重、TopN 等全量操作
  • 需要注册定时器、侧输出等高级功能

代表:ProcessWindowFunction(最常用)

stream
    .keyBy(sensor -> sensor.id)
    .window(TumblingEventTimeWindows.of(Time.minutes(1)))
    .process(new ProcessWindowFunction<WaterSensor, String, String, TimeWindow>() {

        @Override
        public void process(String key, Context context, Iterable<WaterSensor> elements, Collector<String> out) throws Exception {

            long start = context.window().getStart();
            long end = context.window().getEnd();

            int sum = 0;
            int count = 0;
            List<WaterSensor> list = new ArrayList<>();
            for (WaterSensor s : elements) {
                sum += s.vc;
                count++;
                list.add(s);  // 可以收集所有数据做排序/去重
            }

            // 示例:输出窗口信息 + 平均值
            double avg = count == 0 ? 0 : (double) sum / count;
            out.collect(String.format("窗口 %s ~ %s | key=%s | sum=%d | avg=%.2f | 条数=%d",
                    new Timestamp(start), new Timestamp(end), key, sum, avg, count));

            // 还可以注册定时器
            context.registerEventTimeTimer(end + 10000); // 窗口结束10秒后触发
        }

        @Override
        public void onTimer(long timestamp, OnTimerContext ctx, Collector<String> out) throws Exception {
            out.collect("窗口已结束10秒,可能有迟到数据未处理");
        }
    })
    .print();

优点

  • 能拿到所有原始数据 + 窗口上下文(Context)
  • 支持定时器、侧输出、状态操作

缺点

  • 全量计算 → 窗口内数据量大时内存压力大
  • 不适合超大窗口
1.3. 增量聚合 + 全窗口函数的结合使用(生产最推荐模式)

为什么结合使用?

  • 先用 AggregateFunction / ReduceFunction 增量计算,把中间结果存下来(省内存、高效)
  • 再用 ProcessWindowFunction 拿到最终聚合结果 + 窗口元数据,输出格式化结果或做额外逻辑

典型代码(先 aggregate 求和,再 process 加窗口信息)

// 先增量求和
AggregateFunction<WaterSensor, Integer, Integer> sumAgg = new AggregateFunction<WaterSensor, Integer, Integer>() {
    @Override public Integer createAccumulator() { return 0; }
    @Override public Integer add(WaterSensor value, Integer acc) { return acc + value.vc; }
    @Override public Integer getResult(Integer acc) { return acc; }
    @Override public Integer merge(Integer a, Integer b) { return a + b; }
};

// 再用 ProcessWindowFunction 包装,添加窗口信息
stream
    .keyBy(sensor -> sensor.id)
    .window(TumblingEventTimeWindows.of(Time.minutes(1)))
    .aggregate(sumAgg, new ProcessWindowFunction<Integer, String, String, TimeWindow>() {

        @Override
        public void process(String key, Context context, Iterable<Integer> elements, Collector<String> out) {
            // elements 里只有一条数据,就是增量聚合后的结果
            Integer sum = elements.iterator().next();

            long start = context.window().getStart();
            long end = context.window().getEnd();

            out.collect(String.format("窗口 %s ~ %s | key=%s | 总 vc 求和 = %d",
                    new Timestamp(start), new Timestamp(end), key, sum));
        }
    })
    .print("增量 + 全窗口结合");

这种写法的优势(生产中最常见的原因):

  • 内存占用低(aggregate 增量计算,只存中间结果)
  • 功能强大(process 能拿到窗口元数据、key、定时器等)
  • 计算效率高 + 输出信息丰富

一句话总结

  • 简单聚合 → 用 reduce
  • 复杂累加指标 → 用 aggregate
  • 需要窗口元数据 / 定时器 / 侧输出 → 用 process
  • 大多数生产场景 → 先 aggregate 增量聚合,再 process 加元数据(兼顾性能和功能)

2、时间语义

想象你在统计“每个小时进店的顾客数量”,但顾客进店的时间和你的监控摄像头拍到他们的时间可能不一样:

  • 事件时间(Event Time) 顾客真正踏进店门的那一刻(刷门禁卡的时间戳)。 → 这才是业务真正关心的“顾客进店时间”。
  • 处理时间(Processing Time) 监控摄像头把画面传到你的电脑,你电脑收到画面并开始计数的时刻。 → 如果网络卡了 5 秒,这个顾客就被算到下一个小时去了,结果就不准。
  • 摄取时间(Ingestion Time) 摄像头画面刚进入你的视频分析系统时,系统自动打上的时间戳。 → 比处理时间早一点,但仍然不是真正的进店时间。

一句话总结比喻: 业务要的是“顾客真正进店的时间”(事件时间),而不是“摄像头拍到他/系统处理他”的时间。

Flink 是目前唯一一个原生端到端支持事件时间 + 水印(Watermark)的开源流计算引擎,这也是它能做实时数仓、实时对账、实时特征计算的核心原因。

Flink 三种时间语义详细对比(带生产场景)

时间语义定义优点缺点 / 风险生产适用场景Flink 版本支持度
Event Time数据自带的时间戳(通常是业务发生时刻,如订单创建时间、日志产生时间)结果准确、不受延迟/乱序影响、可重放需要 Watermark 处理乱序,配置稍复杂实时数仓、实时报表、订单统计、行为分析全版本支持,最推荐
Processing Time数据到达算子时的机器系统时间(wall-clock time)最简单、延迟最低乱序数据会导致结果错误、不可重放低准确性要求的监控、告警、测试环境全版本支持
Ingestion Time数据进入 Source 时 Flink 自动分配的系统时间戳比 Processing Time 更早分配时间戳仍然无法处理 Source 之前的乱序极少数从 Processing Time 过渡到 Event Time 的场景全版本支持,但很少用

选择分布(2025 年主流公司实践)

  • 95%+ 的实时指标作业 → 必须用 Event Time
  • 剩余 5% → Processing Time(内部监控、延迟敏感但准确性不重要的场景)
  • Ingestion Time → 基本没人用(几乎可以忽略)

为什么 Spark Streaming 做不到事件时间(文档对比的关键点)

文档中对比表里有一行特别重要:

项目FlinkSpark Streaming
时间语义事件时间 + 处理时间只支持处理时间
窗口多、灵活少、不灵活(必须是批次整数倍)

Spark Streaming 是微批(micro-batch)架构,本质上是把流切成小批次,每批次用批处理引擎跑,所以天然只能用“批次到达时间”(处理时间),无法真正基于事件时间做窗口聚合。

Flink 是真正的“连续流”引擎,支持在算子之间插入 Watermark 来推进事件时间,所以能完美处理乱序和延迟。

如何在代码中正确指定时间语义(最常用写法)

几乎所有生产代码都会在 Source 层或第一步 Transform 就指定事件时间 + 水印:

// 最标准的生产写法
WatermarkStrategy<WaterSensor> strategy = WatermarkStrategy
.<WaterSensor>forBoundedOutOfOrderness(Duration.ofSeconds(5))   // 最大乱序 5 秒
.withTimestampAssigner((event, previousTs) -> event.ts)        // 从字段 ts 取时间戳
.withIdleness(Duration.ofSeconds(60));                         // 防空闲分区卡住水印

DataStream<WaterSensor> streamWithWatermark = sourceStream
.assignTimestampsAndWatermarks(strategy);

关键参数解释

  • forBoundedOutOfOrderness:允许的最大乱序时间(最常用)
  • withTimestampAssigner:告诉 Flink 从哪取时间戳(支持 lambda 或 MapFunction)
  • withIdleness:如果某个 key 分区很久没数据,水印不会卡死(生产必加)

常见踩坑总结(面试 / 生产常问)

表现解决办法
忘记 assignTimestampsAndWatermarks窗口永远不触发、数据堆积必须在 Source 后尽快加
Watermark 推进太慢窗口延迟很高检查最大乱序设置是否合理 + 加 withIdleness
用 Processing Time 做报表结果每天都不一样、无法回溯改成 Event Time + Watermark
Ingestion Time 误以为是 Event TimeSource 前有延迟时结果错直接换成 Event Time
多 Source 不同时间字段水印混乱可以用侧输出或 union 后统一处理

总结一句话

Flink 的时间语义核心优势在于:它真正支持“事件时间 + Watermark”,让窗口计算基于业务发生时间,而不是数据到达时间,所以结果准确、可回溯,这是 Spark Streaming 做不到的,也是实时数仓、实时对账必须用 Flink 的根本原因。

如果你想继续深挖某个具体点,比如:

  • Watermark 推进机制的详细图解
  • 乱序数据 + 迟到数据的完整处理流程
  • 多 Source 不同时间语义的混合写法
  • 生产中 Watermark 参数怎么调优

3、水位线

在窗口的处理过程中,我们可以基于数据的时间戳,自定义一个“逻辑时钟”。这个时钟的时间不会自动流逝;它的时间进展,就是靠着新到数据的时间戳来推动的。

这样的好处在于,计算的过程可以完全不依赖处理时间(系统时间),不论什么时候进行统计处理,得到的结果都是正确的。而一般实时流处理的场景中,事件时间可以基本与处理时间保持同步,只是略微有一点延迟,同时保证了窗口计算的正确性。

一、水位线的核心作用
  • 没有 Watermark → 窗口永远不会触发(因为系统不知道什么时候数据到齐)
  • 有 Watermark → 系统根据 Watermark 推进事件时间,窗口结束时间 ≤ 当前 Watermark 时,窗口关闭并输出结果
  • Watermark 本质上是一种特殊的事件,它随着数据流向下游传播,携带一个时间戳,表示“进度”

比喻: 水位线就像河道里的浮标,浮标漂到哪里,就代表“上游到这个位置的水都流过来了,可以开始统计这段河道的水量了”。

二、水位线的生成方式

允许固定乱序(Bounded Out-of-Orderness) —— 最常用

WatermarkStrategy
.<WaterSensor>forBoundedOutOfOrderness(Duration.ofSeconds(5))   // 最大允许 5 秒乱序
.withTimestampAssigner((event, previousTs) -> event.ts);        // 从 ts 字段取时间戳
    • 含义:假设数据最大延迟 5 秒,系统会等 5 秒后才推进 Watermark
    • Watermark 时间 = 当前最大事件时间 - 5 秒

单调递增时间(Monotonous Timestamps) —— 数据严格按时间顺序到达

WatermarkStrategy
    .<WaterSensor>forMonotonousTimestamps()
    .withTimestampAssigner((event, previousTs) -> event.ts);
    • 含义:每来一条数据,Watermark 立即推进到这条数据的时间戳
    • 适合 Kafka 等分区内有序的场景

生产额外推荐(防卡住):

.withIdleness(Duration.ofSeconds(60));   // 某个分区 60 秒没数据,忽略它,继续推进 Watermark
三、水位线如何推进
  1. Source 读取数据 → 提取时间戳
  2. 每条数据到达时,更新“当前最大事件时间”
  3. Watermark = 当前最大事件时间 - 最大乱序容忍度
  4. Watermark 随着数据流向下游传播
  5. 当 Watermark > 某个窗口的结束时间 → 该窗口触发计算、输出结果、清空状态

示例流程(假设最大乱序 5 秒):

  • 来了一条 ts=10000 的数据 → 最大事件时间=10000
  • Watermark = 10000 - 5000 = 5000
  • 窗口 [0-10000) 不会触发(因为 Watermark 还没超过 10000)
  • 继续来 ts=15000 的数据 → 最大事件时间=15000
  • Watermark = 15000 - 5000 = 10000 → 窗口 [0-10000) 触发计算
四、水位线与迟到数据的关系
  • 迟到数据:时间戳 < 当前 Watermark,但数据晚到
  • 默认:迟到数据直接丢弃
  • 处理方式(生产必须加):
    1. allowedLateness:允许迟到数据继续参与窗口计算(更新结果)
    2. sideOutputLateData:超过 allowedLateness 的数据分流到侧输出(不丢,但不影响主流)

完整生产代码模板(文档风格):

OutputTag<WaterSensor> lateTag = new OutputTag<WaterSensor>("late-data"){};

stream
.assignTimestampsAndWatermarks(
    WatermarkStrategy
    .<WaterSensor>forBoundedOutOfOrderness(Duration.ofSeconds(5))
    .withTimestampAssigner((e, ts) -> e.ts)
)
.keyBy(s -> s.id)
.window(TumblingEventTimeWindows.of(Time.minutes(1)))
.allowedLateness(Time.seconds(10))              // 允许迟到 10 秒还能更新
.sideOutputLateData(lateTag)                    // 超 10 秒的分到侧输出
.sum("vc");

// 处理侧输出
result.getSideOutput(lateTag).print("迟到数据 >>>");
五、水位线常见问题 & 解决(生产经验总结)
问题表现原因 & 解决办法
窗口永远不触发结果不输出忘记 assignTimestampsAndWatermarks → 必须加
水位线推进太慢延迟很高最大乱序设置太大 → 调小容忍度(2~10 秒常见)
水位线卡死某个分区没数据后全作业卡住加 .withIdleness(Duration.ofSeconds(60))
迟到数据全丢结果不准加 allowedLateness + sideOutputLateData
多 Source 水位线不一致水印混乱统一在 union 或 connect 后重新 assign Watermark

一句话总结

Watermark 是事件时间窗口能正确触发、处理乱序的关键。 没有它,事件时间就退化成处理时间;有了它,Flink 才能真正做到“基于业务发生时间计算,结果准确、可回溯”,这也是 Flink 比 Spark Streaming 更适合实时数仓的根本原因。

五、第五部分:处理函数

1. 基本处理函数(ProcessFunction)

作用:最底层的流处理函数,能对每条数据进行任意处理,支持:

  • 访问事件时间 / 处理时间
  • 注册 / 删除定时器
  • 发出侧输出(Side Output)
  • 修改输出类型

适用场景:需要定时器、侧输出、复杂过滤逻辑,但不需要窗口聚合的场景。

代码模板(最常用写法):

DataStream<WaterSensor> stream = ...;

stream
.process(new ProcessFunction<WaterSensor, String>() {

    // 状态示例:记录上一次 vc
    private ValueState<Integer> lastVcState;

    @Override
    public void open(Configuration parameters) throws Exception {
        lastVcState = getRuntimeContext().getState(
            new ValueStateDescriptor<>("last-vc", Integer.class)
        );
    }

    @Override
    public void processElement(WaterSensor value, Context ctx, Collector<String> out) throws Exception {
        Integer lastVc = lastVcState.value();
        if (lastVc != null && value.vc > lastVc) {
            out.collect("上升: " + value.id + " " + lastVc + " -> " + value.vc);
        }

        // 注册 10 秒后的定时器(事件时间)
        ctx.timerService().registerEventTimeTimer(ctx.timestamp() + 10000);

        lastVcState.update(value.vc);
    }

    @Override
    public void onTimer(long timestamp, OnTimerContext ctx, Collector<String> out) throws Exception {
        out.collect("定时器触发: 时间 " + new Timestamp(timestamp));
    }
})
.print();

关键点

  • processElement:每条数据调用一次
  • onTimer:定时器触发时调用
  • 支持 ctx.timerService() 注册事件时间 / 处理时间定时器

2. 按键分区处理函数(KeyedProcessFunction)

作用:在 keyBy 之后使用,每个 key 拥有独立的处理逻辑和状态。

与 ProcessFunction 的区别

  • KeyedProcessFunction 必须在 keyBy 之后使用
  • 每个 key 独立维护状态和定时器
  • 支持 keyed state(ValueState、ListState 等)

代码模板

stream
.keyBy(sensor -> sensor.id)
.process(new KeyedProcessFunction<String, WaterSensor, String>() {

    // keyed state:每个 id 独立存储上一次 vc
    private ValueState<Integer> lastVcState;

    @Override
    public void open(Configuration parameters) throws Exception {
        lastVcState = getRuntimeContext().getState(
            new ValueStateDescriptor<>("last-vc", Integer.class)
        );
    }

    @Override
    public void processElement(WaterSensor value, Context ctx, Collector<String> out) throws Exception {
        Integer lastVc = lastVcState.value();
        if (lastVc != null) {
            out.collect(value.id + ": " + lastVc + " -> " + value.vc);
        }

        // 为这个 key 注册 30 秒后的定时器
        ctx.timerService().registerEventTimeTimer(ctx.timestamp() + 30000);

        lastVcState.update(value.vc);
    }

    @Override
    public void onTimer(long timestamp, OnTimerContext ctx, Collector<String> out) throws Exception {
        out.collect(ctx.getCurrentKey() + " 的定时器触发: " + new Timestamp(timestamp));
    }
})
.print();

关键点

  • 状态和定时器都是 keyed 的(每个 key 独立)
  • 常用于:每个用户/设备独立维护状态、超时检测、会话管理

3. 窗口处理函数(ProcessWindowFunction)

作用:窗口触发时,对窗口内所有数据进行全量处理,能访问窗口元数据(开始/结束时间、key 等)。

两种常见形式

  • 单独使用(全量计算)
  • 与增量聚合结合(推荐,性能更好)

代码模板(单独使用,全量计算)

stream
.assignTimestampsAndWatermarks(watermarkStrategy)
.keyBy(sensor -> sensor.id)
.window(TumblingEventTimeWindows.of(Time.minutes(1)))
.process(new ProcessWindowFunction<WaterSensor, String, String, TimeWindow>() {

    @Override
    public void process(String key, Context context, Iterable<WaterSensor> elements, Collector<String> out) throws Exception {
        long start = context.window().getStart();
        long end = context.window().getEnd();

        int sum = 0;
        int count = 0;
        for (WaterSensor s : elements) {
            sum += s.vc;
            count++;
        }

        out.collect(String.format("窗口 %s ~ %s | key=%s | sum=%d | avg=%.2f",
                                  new Timestamp(start), new Timestamp(end), key, sum, count == 0 ? 0 : (double) sum / count));
    }
})
.print();

关键点

  • Iterable elements:窗口内所有原始数据
  • Context:可获取窗口开始/结束时间、当前 key、侧输出、定时器

4. 应用案例——Top N(窗口内 Top N)

场景:统计每分钟 vc 值最高的 Top 3 传感器

推荐写法:增量 + 全窗口结合(性能最佳)

// 先增量聚合:每个 key 累加 vc + 计数
AggregateFunction<WaterSensor, Tuple2<Integer, Long>, Tuple2<Integer, Long>> sumAgg = new AggregateFunction<>() {
    @Override public Tuple2<Integer, Long> createAccumulator() { return Tuple2.of(0, 0L); }
    @Override public Tuple2<Integer, Long> add(WaterSensor v, Tuple2<Integer, Long> acc) { return Tuple2.of(acc.f0 + v.vc, acc.f1 + 1); }
    @Override public Tuple2<Integer, Long> getResult(Tuple2<Integer, Long> acc) { return acc; }
    @Override public Tuple2<Integer, Long> merge(Tuple2<Integer, Long> a, Tuple2<Integer, Long> b) { return Tuple2.of(a.f0 + b.f0, a.f1 + b.f1); }
};

// 再用 ProcessWindowFunction 做 Top N
stream
.assignTimestampsAndWatermarks(watermarkStrategy)
.keyBy(sensor -> "global")  // 全局 Top N,用常量 key
.window(TumblingEventTimeWindows.of(Time.minutes(1)))
.aggregate(sumAgg, new ProcessWindowFunction<Tuple2<Integer, Long>, String, String, TimeWindow>() {

    @Override
    public void process(String key, Context context, Iterable<Tuple2<Integer, Long>> elements, Collector<String> out) throws Exception {
        // 这里 elements 只有一条,是增量后的结果(但实际 Top N 需要全量)

        // 真实 Top N 场景:用 ListState 或外部排序
        // 这里简化演示:假设我们收集所有 key 的 sum(生产中常用外部存储或 RocksDB 排序)
        out.collect("窗口结束,Top N 计算触发");
    }
})
.print();

生产真实 Top N 写法建议

  • 用 ListState 收集窗口内所有数据(小窗口)
  • 或用 RocksDB + 定时器排序
  • 或用 Flink SQL 的 OVER 窗口 + ROW_NUMBER()

5. 侧输出流(Side Output)

作用:将不符合条件的数据或迟到数据输出到另一条流,不影响主流计算。

代码模板(最常见两种用法):

用法1:ProcessFunction 中手动侧输出(脏数据 / 异常)

OutputTag<WaterSensor> dirtyTag = new OutputTag<WaterSensor>("dirty") {};

stream
.process(new ProcessFunction<WaterSensor, WaterSensor>() {
    @Override
    public void processElement(WaterSensor value, Context ctx, Collector<WaterSensor> out) throws Exception {
        if (value.vc < 0) {
            ctx.output(dirtyTag, value);  // 负值 → 侧输出
            return;
        }
        out.collect(value);  // 正常数据进主流
    }
})
.getSideOutput(dirtyTag)
.print("脏数据侧输出");

用法2:窗口迟到数据自动侧输出

OutputTag<WaterSensor> lateTag = new OutputTag<WaterSensor>("late") {};

SingleOutputStreamOperator<WaterSensor> mainStream = stream
.assignTimestampsAndWatermarks(watermarkStrategy)
.keyBy(s -> s.id)
.window(TumblingEventTimeWindows.of(Time.minutes(1)))
.allowedLateness(Time.seconds(10))
.sideOutputLateData(lateTag)
.sum("vc");

// 主结果
mainStream.print("正常窗口结果");

// 侧输出迟到数据
mainStream.getSideOutput(lateTag).print("迟到数据侧输出");

关键点

  • OutputTag 必须是匿名内部类或静态字段(泛型擦除问题)
  • getSideOutput 获取侧输出流,可继续处理(print / sink / union 等)
  • 生产中常用于:脏数据监控、迟到数据补救、异常告警

六、第六部分:状态管理

1. Flink 中的状态(State)

状态是 Flink 流计算的核心概念,指的是算子在处理无界流时需要记住的历史信息

为什么需要状态? 无界流是连续的,很多计算需要“记忆”之前的数据,例如:

  • 累计求和(sum)
  • 去重计数
  • 窗口聚合
  • 超时检测(上一次事件的时间)
  • 每个用户的最后登录时间

Flink 状态的三大特性(官方核心):

  • Exactly-once 语义支持(Checkpoint + 状态恢复)
  • 大规模(TB 级状态,RocksDB 后端)
  • 按键分区(Keyed State)与算子级别(Operator State)两种类型

状态必须持久化:通过 Checkpoint 和 Savepoint 保存到外部存储(HDFS/S3 等),故障恢复时从最近 Checkpoint 恢复。

2. 按键分区状态(Keyed State)

Keyed State 是最常用的状态类型,必须在 keyBy 之后使用。 每个 key 拥有自己独立的状态实例,状态按 key 分散存储(天然支持大规模)。

支持的 5 种基本 Keyed State 类型(官方文档分类):

类型描述代码示例(ValueState 最常用)
ValueState每个 key 存单个值ValueState lastVc;
ListState每个 key 存一个列表ListState history;
MapState<UK, UV>每个 key 存一个 MapMapState<String, Integer> userCount;
ReducingState每个 key 存一个 reduce 后的值ReducingState sumVc;
AggregatingState<IN, ACC, OUT>更灵活的聚合状态(类似 AggregateFunction)AggregatingState<WaterSensor, Integer, Double>

代码示例(KeyedProcessFunction 中使用 ValueState + ListState)


stream
.keyBy(sensor -> sensor.id)
.process(new KeyedProcessFunction<String, WaterSensor, String>() {

    // 每个 key 独立的状态
    private ValueState<Integer> lastVcState;
    private ListState<Integer> vcHistoryState;

    @Override
    public void open(Configuration parameters) throws Exception {
        lastVcState = getRuntimeContext().getState(
            new ValueStateDescriptor<>("last-vc", Integer.class)
        );
        vcHistoryState = getRuntimeContext().getListState(
            new ListStateDescriptor<>("vc-history", Integer.class)
        );
    }

    @Override
    public void processElement(WaterSensor value, Context ctx, Collector<String> out) throws Exception {
        Integer lastVc = lastVcState.value();
        if (lastVc != null) {
            out.collect(value.id + ": " + lastVc + " -> " + value.vc);
        }

        // 追加到历史列表
        vcHistoryState.add(value.vc);

        lastVcState.update(value.vc);
    }
})
.print();

生产注意

  • 状态名称(Descriptor)必须全局唯一
  • 状态后端默认 RocksDB(支持大状态)

3. 算子状态(Operator State)

Operator State 不依赖 key,是算子级别的状态,每个并行子任务(subtask)拥有自己独立的一份状态。

典型场景

  • Source 算子记录已消费的 offset(Kafka Source 内部使用)
  • Sink 算子记录已写出的记录数
  • 自定义 Source / Sink 需要跨重启记住位置
  • 全局计数器(所有数据共用一个计数)

支持的类型

  • ListState(最常用)
  • UnionListState(checkpoint 时合并所有 subtask 的列表)
  • BroadcastState<K, V>(广播状态,常用于规则下发)

代码示例(自定义 Source 使用 Operator State 记录 offset)

public class MyOffsetSource extends RichParallelSourceFunction<String> {

    private transient ListState<Long> offsetState;
    private long currentOffset = 0;

    @Override
    public void open(Configuration parameters) throws Exception {
        offsetState = getRuntimeContext().getListState(
            new ListStateDescriptor<>("offset", Long.class)
        );

        // 从 Checkpoint 恢复
        Iterable<Long> offsets = offsetState.get();
        if (offsets != null && offsets.iterator().hasNext()) {
            currentOffset = offsets.iterator().next();
        }
    }

    @Override
    public void run(SourceContext<String> ctx) throws Exception {
        while (true) {
            ctx.collect("data-" + currentOffset);
            currentOffset++;

            // 更新状态
            offsetState.update(Collections.singletonList(currentOffset));

            Thread.sleep(1000);
        }
    }

    @Override
    public void cancel() {}
}

关键点

  • Operator State 不按 key 分区,每个 subtask 独立一份
  • Checkpoint 时会把所有 subtask 的状态都保存
  • UnionListState 用于需要合并所有 subtask 状态的场景(如广播)

4. 状态后端(State Backends)

状态后端决定状态如何存储、Checkpoint 如何实现。

Flink 提供了三种主要状态后端(文档中隐含提及 RocksDB 是生产推荐):

状态后端类型存储位置Checkpoint 方式适用场景生产推荐度
MemoryStateBackendJVM 堆内存全量 Checkpoint 到 JobManager小规模测试、状态很小★(不推荐生产)
FsStateBackend文件系统(HDFS/S3)全量 / 增量(文件拷贝)中等规模、状态不大★★
RocksDBStateBackendRocksDB(嵌入式 KV 存储)增量 Checkpoint(非常高效)大状态(GB~TB 级)、生产主流★★★★★(生产默认)

生产配置推荐(flink-conf.yaml):

state.backend: rocksdb
state.checkpoints.dir: hdfs:///flink/checkpoints
execution.checkpointing.interval: 60000  # 每 60 秒 Checkpoint
execution.checkpointing.mode: EXACTLY_ONCE

RocksDB 优势(为什么生产必选):

  • 支持超大状态(TB 级)
  • 增量 Checkpoint(只存变化部分,速度快)
  • 内存占用可控(溢写到磁盘)

总结一句话

  • Keyed State:按 key 分散,生产 95% 用它(ValueState / ListState / MapState)
  • Operator State:算子级别,全局或每个 subtask 一份(offset、广播规则)
  • 状态后端:生产必须用 RocksDBStateBackend + 增量 Checkpoint

七、第七部分:容错机制

Flink 的容错机制是其 Exactly-Once 语义的核心支撑,主要通过检查点(Checkpoint)状态一致性端到端精确一次三个层面实现。

1. 检查点(Checkpoint)

检查点是 Flink 容错的核心机制,它周期性地为整个作业“拍照”,保存当前的状态快照和输入流的位置信息。

检查点的本质作用

  • 当作业发生故障(TaskManager 宕机、进程崩溃、网络中断等)时,从最近一次成功的 Checkpoint 恢复
  • 恢复后,作业从 Checkpoint 保存的“输入位置 + 状态”继续计算,避免重复计算或丢失数据

检查点工作流程(生产中最常见理解):

  1. JobManager 定期发起 Checkpoint(默认每 60 秒,可配置)
  2. 向所有 Source 插入特殊的 Checkpoint Barrier(屏障)
  3. Barrier 随着数据流向下游传播
  4. 每个算子收到 Barrier 后:
    • 暂停处理新数据
    • 将当前状态快照写入外部存储(RocksDB / HDFS 等)
    • 确认完成后向下游发送 Barrier
  1. 当所有 Sink 确认 Barrier 到达,Checkpoint 完成

关键配置(生产必调):

execution.checkpointing.interval: 60000          # 每 60 秒一次 Checkpoint
execution.checkpointing.mode: EXACTLY_ONCE       # 精确一次模式
state.checkpoints.dir: hdfs:///flink/checkpoints # Checkpoint 存储路径
execution.checkpointing.timeout: 600000          # Checkpoint 超时时间(10分钟)

Checkpoint 类型

  • 全量 Checkpoint:每次都完整保存状态(FsStateBackend 默认)
  • 增量 Checkpoint:只保存变化部分(RocksDBStateBackend 支持,生产主流)

2. 状态一致性

Flink 提供了三种状态一致性语义(Consistency Guarantees),文档中隐含强调 Exactly-Once 是核心优势:

一致性级别含义是否有重复/丢失Flink 支持方式生产适用场景
At-most-once最多处理一次,可能丢失数据可能丢失不做任何 Checkpoint延迟极低、允许丢数据的监控
At-least-once至少处理一次,可能重复可能重复Checkpoint + Barrier(默认)大多数场景(Spark Streaming 级别)
Exactly-once精确一次,既不丢也不重无重复、无丢失Checkpoint + Barrier + 两阶段提交实时数仓、订单、对账、财务场景

Flink 如何实现状态一致性

  • Checkpoint Barrier 将流分成“已确认”和“未确认”两部分
  • 状态快照只包含 Barrier 之前的计算结果
  • Sink 只有在 Checkpoint 成功后才真正提交输出(两阶段提交)

一句话: Flink 通过 Checkpoint + Barrier 机制,确保状态和输入流位置一致,从而实现 Exactly-Once。

3. 端到端精确一次(End-To-End Exactly-Once)

端到端 Exactly-Once 是指:从 Source 到 Sink,整个链路数据既不丢失也不重复,即使发生故障恢复后也保持一致。

实现条件(必须同时满足):

  1. Source 支持:能重置消费位置(Kafka 支持 offset 重置)
  2. Flink 内部:Checkpoint + Barrier + Exactly-Once 模式
  3. Sink 支持:支持幂等写或两阶段提交(Two-Phase Commit)

常见 Sink 的 Exactly-Once 支持情况

Sink 类型是否支持 Exactly-Once实现方式生产注意事项
Kafka SinkFlinkKafkaProducer + Semantic.EXACTLY_ONCE必须开启事务 + Checkpoint
JDBC Sink部分支持幂等写(upsert)或两阶段提交推荐用 upsert-kafka 或自定义两阶段
ClickHouse部分支持社区 connector + 幂等写入需业务层去重或幂等设计
Redis部分支持自定义幂等写入依赖业务主键幂等
File SinkFileSink + exactly-once 模式Flink 1.15+ 原生支持

生产代码示例(Kafka Sink Exactly-Once):

FlinkKafkaProducer<String> kafkaSink = new FlinkKafkaProducer<>(
    "output-topic",
    new SimpleStringSchema(),
    kafkaProps,
    FlinkKafkaProducer.Semantic.EXACTLY_ONCE);  // 必须指定 EXACTLY_ONCE

stream.addSink(kafkaSink);

端到端 Exactly-Once 完整链路: Source(Kafka offset) → Checkpoint 保存 offset + 状态 → Sink 预提交(两阶段) → Checkpoint 成功 → Sink 正式提交 → 故障恢复时回滚未提交的事务

一句话总结

Flink 的容错机制通过 Checkpoint(拍照) 保证状态一致性,通过 Barrier + 两阶段提交 实现 端到端 Exactly-Once,这是 Flink 能做实时数仓、实时对账、财务级精确计算的核心原因。