
本文为《深入理解 Apache DolphinScheduler:从调度原理到 DataOps 实战》系列专栏第 2 篇,从源码与调度模型视角,解析 DolphinScheduler 的核心抽象设计,重点说明 Workflow、TaskDefinition 与实例对象的职责边界,并结合 DAG 示意图解释调度系统如何基于依赖判断驱动复杂任务编排。
上文回顾:调度系统,不只是一个“定时器”
在真正使用 DolphinScheduler 一段时间之后,很多人都会产生一个疑问:为什么系统里会同时存在流程定义、流程实例、任务定义、任务实例这么多对象?是不是“设计过度”了?
如果从源码和调度系统的运行方式来看,答案恰恰相反——这些抽象是为了压住复杂性而被刻意拆开的。
Workflow:一张不会“运行”的 DAG 蓝图
在 DolphinScheduler 的设计中,Workflow(源码中对应 ProcessDefinition)从一开始就被定义为纯静态结构。
它描述的内容非常克制:流程里有哪些任务、任务之间如何依赖、是否存在条件分支或子流程。这些信息共同组成了一张 DAG,但这张 DAG 永远不会自己执行。
从源码角度看,Workflow 更像是一个结构化配置对象,而不是调度对象。
你可以在数据库里看到,它不记录成功、失败、开始时间,也不关心某次运行发生了什么。
这背后其实是一条很重要的设计原则:
结构和执行必须彻底分离,否则状态会污染定义。
DAG 在 DolphinScheduler 中真正解决的是什么问题
在 DolphinScheduler 里,DAG 的职责非常单一: 判断“某个任务现在能不能被调度”。
它不关心任务如何执行,也不关心任务执行结果的业务含义,只关心依赖是否满足。
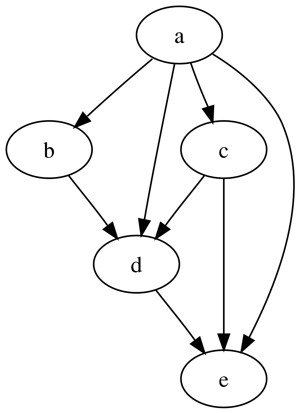
📌 这里放一张 DAG 的 PNG 示意图,展示了一个典型的多父依赖结构。节点是否被调度,并不取决于执行路径的先后顺序,而取决于其所有上游依赖是否已经完成。这正是 DolphinScheduler 在运行时对 DAG 进行动态判断的核心逻辑。

在源码实现中,DAG 会在流程实例启动时被解析成内存结构,用来驱动后续的调度决策。
当某个 TaskInstance 状态发生变化时,调度器并不是“继续往下跑”,而是重新判断 DAG 中哪些节点被解锁了。
这也是为什么 DolphinScheduler 可以天然支持并行、条件分支和失败阻断。
这些能力并不是“写死的逻辑”,而是 DAG 推理的自然结果。
TaskDefinition:任务的“执行模板”
如果说 Workflow 是流程的蓝图,那么 TaskDefinition 就是单个任务的模板。
在源码中,TaskDefinition 保存的是“如果这个任务被调度,它应该如何被执行”的信息,比如:
- 任务类型(Shell、SQL、Spark、Flink 等)
- 参数、脚本内容
- 失败策略、超时配置、资源参数
但有一点非常关键: TaskDefinition 是完全无状态的。
你在 TaskDefinition 里永远看不到“这次执行是否成功”之类的字段,因为这类信息从语义上就不属于“定义”。
这一点在代码中体现得很明显,例如(示意):
public class TaskDefinition {
private Long id;
private String name;
private TaskType taskType;
private String taskParams;
private int timeout;
private int failRetryTimes;
// 注意:这里没有任何 execution state
}
TaskDefinition 的职责只有一个:描述“怎么跑”,而不是“跑得怎么样”。
流程定义 vs 流程实例:真正的分水岭
理解 DolphinScheduler,绕不开“定义”和“实例”的区别。
当一个 Workflow 被真正触发执行时,系统会基于 Workflow 和 TaskDefinition 复制出一整套运行态对象,也就是:
ProcessInstanceTaskInstance
ProcessInstance 代表的是:
“这一次流程执行”
TaskInstance 代表的是:
“这一次任务执行”
所有你在 UI 上看到的状态变化、失败重试、运行日志,全部发生在 Instance 层,而不是 Definition 层。
从源码上看,这个边界非常清晰:
public class ProcessInstance {
private Long id;
private Long processDefinitionId;
private ExecutionStatus state;
private Date startTime;
private Date endTime;
}
public class TaskInstance {
private Long id;
private Long taskDefinitionId;
private ExecutionStatus state;
private int retryTimes;
private Date startTime;
}
定义是可复用的,实例是一次性的。 这正是调度系统能长期稳定运行的关键。
这些抽象如何支撑“复杂编排”
当任务数量上升、流程开始嵌套、失败变得常态化时,如果没有这些抽象拆分,系统很快就会失控。
DolphinScheduler 通过清晰的模型边界,实现了几件非常重要的事情:
- 同一个 Workflow 可以并发跑多个实例而互不干扰
- 失败重试只影响 TaskInstance,不污染定义
- DAG 判断和任务执行彻底解耦
- 调度逻辑可以围绕“状态迁移”而不是“业务逻辑”展开
从这个角度看,DolphinScheduler 并不是在“管理任务”,而是在管理状态和依赖的演进过程。
小结
如果你把 DolphinScheduler 当成一个“高级 Cron”,这些模型看起来确实复杂;但一旦站在系统和源码的视角看,它反而是一套非常克制、非常工程化的设计。
下一篇,我们可以继续顺着这套模型往下拆,聊聊: 调度器是如何围绕状态流转运转起来的,以及失败是如何被“消化”的。