前言
C#/.NET/.NET Core技术前沿周刊,你的每周技术指南针!记录、追踪C#/.NET/.NET Core领域、生态的每周最新、最实用、最有价值的技术文章、社区动态、优质项目和学习资源等。让你时刻站在技术前沿,助力技术成长与视野拓宽。
欢迎投稿、推荐或自荐优质文章、项目、学习资源等。
- 🏆技术前沿周刊Gitee开源地址: gitee.com/ysgdaydayup…
- 📰技术前沿周刊GitHub开源地址: github.com/YSGStudyHar…
如何用 .NET MAUI 构建 Android 小部件
- 文章简介: 本博客将介绍之前关于 iOS 小部件的互动小部件的 Android 部分。Android 通常更宽松,作更简单,你可以直接在 Visual Studio 里的 .NET MAUI 项目里构建所有内容。复杂性源于众多可用的任务选项以及需要考虑较旧的安卓版本。就像 iOS 小部件博客里一样,这也不是一步步的教程。相反,它突出显示了你在构建 Android 小部件时通常遇到障碍的顺序中最大且最重要的部分。它从创建一个简单的静态小部件开始,逐步发展成可配置、完全交互的小部件。
- 文章地址: devblogs.microsoft.com/dotnet/how-…
.NET 和 .NET Framework 2026 年 1 月服务发布更新
- 文章简介: 欢迎来到我们 2026 年 1 月的联合.NET 服务更新。让我们进入.NET 和.NET Framework 的最新版本,这里简要介绍一下我们服务版本中的新内容。
- 文章地址: devblogs.microsoft.com/dotnet/dotn…
如何一步步将 ASP.NET MVC 升级为.NET
- 文章简介: 将 ASP.NET MVC 应用从.NET Framework 升级到现代.NET 并不是简单的版本提升。此次迁移代表了运行时、托管模型、配置系统、依赖注入和 HTTP 流水线架构的转变。许多团队低估了这一点,把它当作标准的框架升级,结果在流程后期才发现他们应用中的核心假设已经不再成立。好消息是,Microsoft 提供了明确的指导和模式,使得正确操作时迁移过程可预测。本文介绍了一个实用的逐步策略,如何将基于.NET Framework 构建的 ASP.NET MVC 5 应用迁移到运行在现代.NET 上的 ASP.NET Core,同时最大限度地减少风险和停机时间。
- 文章地址: www.cnblogs.com/powertoolst…
使用 MCP C# SDK 实现 MCP Tool
- 文章简介: MCP是由Anthropic创建的一个开放协议 现在有官方 C# SDK 了,官方 C# SDK 由原来的 mcpdotnet 发展而来,基于 Microsoft.Extensions.AI 实现,截止写文章的时候(2025-4-1)目前最新版本时 0.1.0-preview 4 了,这一版本中增加了 ModelContextProtocol.AspNetCore NuGet 包,使得实现基于 ASP.NET Core SSE 的 Mcp Server 更加简单了,之前的版本中需要将示例中的扩展拷贝到自己项目中去,有了这个 NuGet 包之后就不需要了,McpServer 目前主要的两种实现方式是 Stdio(标准输入输出) 和 SSE(Server Sent Event),新的规范里提出了基于 Http 的支持,目前暂时还未支持
- 文章地址: mp.weixin.qq.com/s/JSIbOo17z…
一款专为 WinUI XAML 设计的快速原型设计工具,生成的代码可轻松复制到Visual Studio中!
- 文章简介: XAML Studio 是一款专为 WinUI XAML 设计的快速原型设计工具,基于 C# 开源(MIT license),生成的代码可轻松复制到 Visual Studio 中的应用中。XAML Studio 让你实时预览 XAML 代码,并与结果互动,就像它在你自己的应用中运行一样。
- 文章地址: mp.weixin.qq.com/s/Kf_MrpoC-…
一个致力于为 C# 程序员提供更佳的编码体验和效率的 Visual Studio 扩展插件
- 文章简介: Codist 是一个使用 .NET 编写、开源免费的 Visual Studio 扩展插件,致力于为 C# 程序员提供更好的编程体验和生产效率。它不仅强化了语法高亮、快速信息提示、导航栏、滚动条和显示质量,还集成了自动版本号更新、括号自动补全、支持高级编辑功能的智能工具栏、代码分析等功能。
- 文章地址: mp.weixin.qq.com/s/UWuCIY4Q5…
基于NetCorePal Cloud Framework的DDD架构管理系统实践
- 文章简介: 前段时间在做一个管理系统的项目,想尝试一下DDD架构在实际项目中的应用。经过一番调研,最终选择了NetCorePal Cloud Framework作为基础框架,结合.NET 10和Vue 3搭建了一套完整的前后端分离架构。今天就想和大家分享一下这个项目的架构设计和技术选型,希望能给正在做类似项目的朋友一些参考。
- 文章地址: www.cnblogs.com/aishangyipi…
整个项目采用了经典的三层架构,这个结构应该很多做DDD的朋友都比较熟悉。三层之间的依赖关系是单向的:Web层依赖Infrastructure层,Infrastructure层依赖Domain层,Domain层作为核心,不依赖任何其他层。
Ncp.Admin
├── Domain(领域层)
│ ├── AggregatesModel(聚合模型)
│ └── DomainEvents(领域事件)
├── Infrastructure(基础设施层)
│ ├── EntityConfigurations(实体配置)
│ └── Repositories(仓储实现)
└── Web(表现层)
├── Application(应用服务层)
│ ├── Commands(命令)
│ ├── Queries(查询)
│ └── DomainEventHandlers(领域事件处理器)
└── Endpoints(API端点)
WPF 使用 HLSL + Clip 实现高亮歌词光照效果
- 文章简介: 最近在搓一个Lyricify Lite类似物,原本使用渐变画刷实现歌词高亮,但是发现视觉效果与Apple Music相去甚远:单纯使用白色渐变画刷缺乏“高亮”的光照感觉,而Apple Music的歌词高亮则更像是有光线投射在歌词上,形成一种柔和的发光效果。
- 文章地址: www.cnblogs.com/TwilightLem…
基于.NET和C#构建光伏IoT物模型方案
- 文章简介: 本文主要介绍基于.NET和C#构建光伏IoT物模型的方案。
- 文章地址: www.cnblogs.com/tianqing/p/…
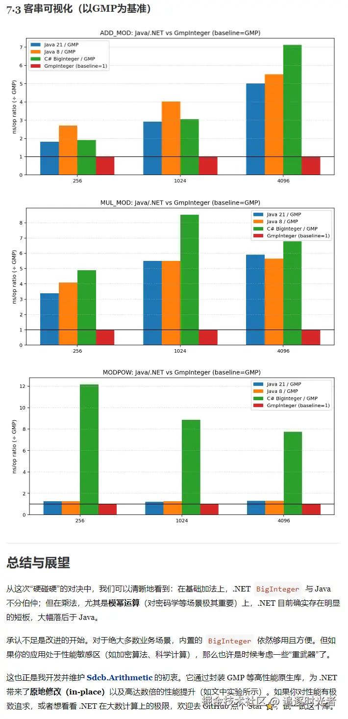
不服跑个分?.NET 10 大整数计算对阵 Java,结果令人意外
- 文章简介: 我对数值计算的执念,来自初中时代烟雾缭绕的网吧。那时玩《伝奇》,最让我着迷的不是打怪爆装备,而是角色面板里那条长长的经验值。看着数字不断跳动、累积,最终“叮”一声升级,那种简单的数值驱动整个世界运转的感觉,实在太奇妙了。
- 文章地址: www.cnblogs.com/sdcb/p/1948…
.NET Aspire 概述
- 文章简介: .NET Aspire 是 Microsoft 在 Build 2024 上推出的一个开源框架,旨在简化使用 .NET 8 及更高版本创建分布式云原生应用的流程。它通过提供一套工具、模板和最佳实践,让开发者能够更专注于业务逻辑而非基础设施的搭建。本文将详细介绍 .NET Aspire 的核心功能、优势以及如何快速上手使用这一创新框架。
- 文章地址: www.cnblogs.com/powertoolst…
总结归纳.NET 10 中 Minimal APIs 主要应用场景
- 文章简介: 本文主要总结归纳.NET 10 中 Minimal APIs 主要应用场景。
- 文章地址: www.cnblogs.com/tianqing/p/…
C# 14 中的新增功能
- 文章简介: C# 14 引入了多项重要更新,以下是主要功能的详细说明。
- 文章地址: www.cnblogs.com/net-kevin-l…
跨越技术鸿沟:Aspire 赋能 JavaScript 与 Node.js 开发者的深度生态融合
- 文章简介: 在云原生应用开发的演进历程中,技术栈的异构性始终是一个核心特征。长期以来,企业级应用开发往往呈现出“双模IT”的特征:后端服务依赖于.NET 生态系统的强类型、高性能和企业级稳健性,而前端交互与部分微服务则广泛采用 JavaScript/TypeScript 生态系统的灵活性与庞大社区资源。这种多语言(Polyglot)架构虽然在功能上互补,但在开发运维(DevOps)的“内循环(Inner Loop)”中却制造了显著的摩擦。开发者常常需要在 Visual Studio 的调试器、复杂的 Docker Compose YAML 文件、散乱的 Shell 脚本以及手动维护的 .env 环境变量文件之间频繁切换。
- 文章地址: www.cnblogs.com/shanyou/p/1…
.NET 磁盘管理-技术方案选型
- 文章简介: 在家庭以及企业场景下的网络磁盘产品,使用Iscsi均需要对磁盘进行管理。不同Windows版本、安装第三方软件,导致每个C端用户的运行环境不同,对磁盘的管理带来一定的使用干扰,本文介绍下磁盘管理的几种方案以及存在的一些问题。
- 文章地址: www.cnblogs.com/kybs0/p/194…