算法训练Day3

22 阅读3分钟

26. 删除有序数组中的重复项

给你一个 非严格递增排列 的数组 nums ,请你 原地 删除重复出现的元素,使每个元素 只出现一次 ,返回删除后数组的新长度。元素的 相对顺序 应该保持 一致 。然后返回 nums 中唯一元素的个数。

考虑 nums 的唯一元素的数量为 k。去重后,返回唯一元素的数量 k

nums 的前 k 个元素应包含 排序后 的唯一数字。下标 k - 1 之后的剩余元素可以忽略。

判题标准:

系统会用下面的代码来测试你的题解:

int[] nums = [...]; // 输入数组
int[] expectedNums = [...]; // 长度正确的期望答案

int k = removeDuplicates(nums); // 调用

assert k == expectedNums.length;
for (int i = 0; i < k; i++) {
    assert nums[i] == expectedNums[i];
}

如果所有断言都通过,那么您的题解将被 通过

 

示例 1:

输入: nums = [1,1,2]
输出: 2, nums = [1,2,_]
解释: 函数应该返回新的长度 2 ,并且原数组 nums 的前两个元素被修改为 1, 2 。不需要考虑数组中超出新长度后面的元素。

示例 2:

输入: nums = [0,0,1,1,1,2,2,3,3,4]
输出: 5, nums = [0,1,2,3,4,_,_,_,_,_]
解释: 函数应该返回新的长度 5 , 并且原数组 nums 的前五个元素被修改为 0, 1, 2, 3, 4 。不需要考虑数组中超出新长度后面的元素。

 

提示:

  • 1 <= nums.length <= 3 * 104
  • -100 <= nums[i] <= 100
  • nums 已按 非递减 顺序排列。
代码
class Solution {
    public int removeDuplicates(int[] nums) {
        // 如果数组为null或者长度为0,返回0
        if (nums == null || nums.length == 0)
            return 0;
        // 定义慢指针,用来维护记录去重后的末尾位置
        int slow = 0;
        // fast快指针扫描整个数组,从1开始
        for (int fast = 1; fast < nums.length; fast++) {
            // 遇到新元素,就把新元素替换到slow位置
            if (nums[fast] != nums[slow]) {
                slow++;
                nums[slow] = nums[fast];
            }
        }
        return slow + 1;
    }
}

141. 环形链表

给你一个链表的头节点 head ,判断链表中是否有环。

如果链表中有某个节点,可以通过连续跟踪 next 指针再次到达,则链表中存在环。 为了表示给定链表中的环,评测系统内部使用整数 pos 来表示链表尾连接到链表中的位置(索引从 0 开始)。注意:pos 不作为参数进行传递 。仅仅是为了标识链表的实际情况。

给你一个链表的头节点 head ,判断链表中是否有环。

如果链表中有某个节点,可以通过连续跟踪 next 指针再次到达,则链表中存在环。 为了表示给定链表中的环,评测系统内部使用整数 pos 来表示链表尾连接到链表中的位置(索引从 0 开始)。注意:pos 不作为参数进行传递 。仅仅是为了标识链表的实际情况。

如果链表中存在环 ,则返回 true 。 否则,返回 false 。

 

示例 1:

输入: head = [3,2,0,-4], pos = 1
输出: true
解释: 链表中有一个环,其尾部连接到第二个节点。

示例 2:

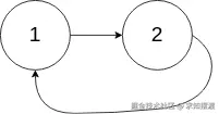
输入: head = [1,2], pos = 0
输出: true
解释: 链表中有一个环,其尾部连接到第一个节点。

示例 3:

输入: head = [1], pos = -1
输出: false
解释: 链表中没有环。

 

提示:

  • 链表中节点的数目范围是 [0, 104]
  • -105 <= Node.val <= 105
  • pos 为 -1 或者链表中的一个 有效索引 。

 

进阶: 你能用 O(1)(即,常量)内存解决此问题吗?

/**
 * Definition for singly-linked list.
 * class ListNode {
 *     int val;
 *     ListNode next;
 *     ListNode(int x) {
 *         val = x;
 *         next = null;
 *     }
 * }
 */
public class Solution {
    public boolean hasCycle(ListNode head) {
        if(head == null) return false;
        
        ListNode slow = head;
        ListNode fast = head;
        
        while(fast != null && fast.next != null){
            slow = slow.next;
            fast = fast.next.next;
            if(slow == fast) return true;
        }
        return false;
    }
}

解题思路: 用快慢指针判断是否有环
fast 走两步 slow 走一步
有环一定相遇,无环 fast 会到 null
时间 O(n),空间 O(1)