微博/朋友圈/点赞/评论系统设计

399 阅读31分钟

背景

参考:developer.aliyun.com/article/706…

Feed流就是不停更新的信息单元,只要关注某些发布者就能获取到源源不断的新鲜信息,用户就可以在移动设备上逐条去浏览这些信息单元。 当前最流行的Feed流产品有微博、微信朋友圈、头条的资讯推荐、快手抖音的视频推荐等,还有一些变种,比如私信、通知等,这些系统都是Feed流系统。

特点

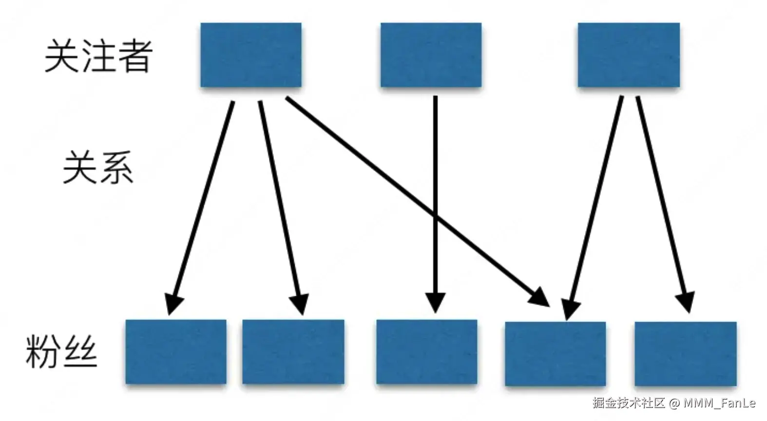
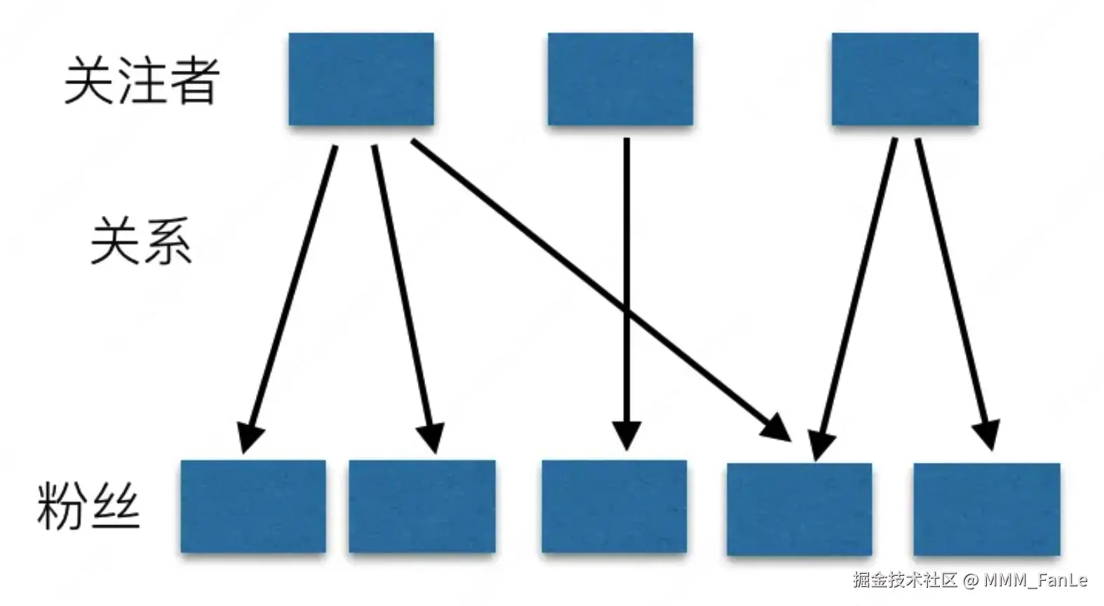
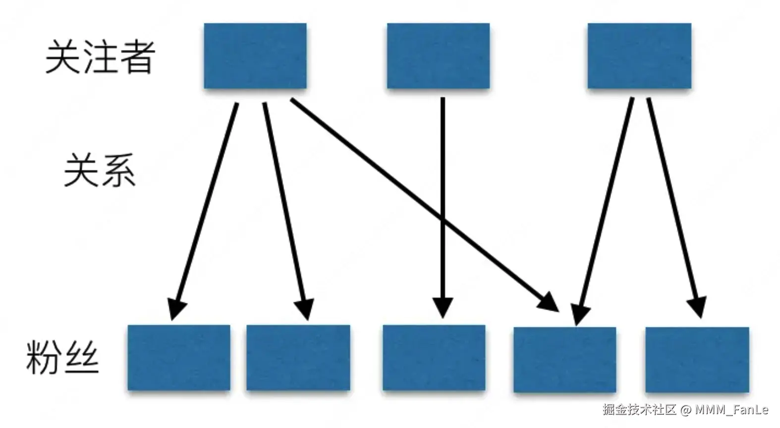
Feed流本质上是一个数据流,是将 “N个发布者的信息单元” 通过 “关注关系” 传送给 “M个接收者”。 image.png

数据分类

  • 发布者数据:发布者产生的数据需要按照发布者聚合,比如微博的个人首页、朋友圈的个人空间。对应存储表(永久保存)
  • 关注关系:系统中个体间的关系。微博中是关注(单向流)、朋友圈是互关(双向流)。对应关注表(永久保存)
  • 接受者数据。从不同发送者(关注的人)那获取的数据,按照某种顺序(一般是时间)组织在一起,比如微博的首页、朋友圈首页等。对应同步表(周期保存)

产品层面需要考虑的因素

  • 用户规模:不同用户规模涉及到底层的存储形式可能不同。
  • 关注关系:如果是双向那就不存在大V,反之则存在。
  • 排序规则:是按时间还是按推荐。

产品定义

类型关注关系是否有大V时效性排序
微博类单向秒~分时间
抖音类单向/无秒~分推荐
朋友圈类双向时间
私信类双向时间

从上面表格可以看出来,主要分为两种区分:

  • 关注关系是单向还是双向:

    • 如果是单向,那么可能就会存在大V效应,同时时效性可以低一些,比如到分钟级别;
    • 如果是双向,那就是好友,好友的数量有限,那么就不会有大V,这时候因为关系更亲密,时效性要求会更高,需要都秒级别。
  • 排序是时间还是推荐:

    • 用户对feed流最容易接受的就是时间,目前大部分都是时间。
    • 但是有一些场景,是从全网数据里面根据用户的喜好给用户推荐和用户喜好度最匹配的内容,这个时候就需要用推荐了,这种情况一般也会省略掉关注了,相对于关注了全网所有用户,比如抖音、头条等。

存储结构

存储库最重要的特征有两点:

  1. 数据可靠不丢失。
  2. 由于会一直增长,需要易于水平扩展。

可以选为存储库的系统大概有两类:

特点分布式NoSQL关系型数据库(分库分表)
可靠性极高
水平扩展能力线性需要改造
水平扩展速度毫秒
常见系统Tablestore、BigtableMySQL、PostgreSQL
  • 对于可靠性,分布式NoSQL的可靠性要高于关系型数据库,一般都是存储三份,可靠性会更高。
  • 水平扩展能力:对于分布式NoSQL数据库,数据天然是分布在多台机器上,当一台机器上的数据量增大后,可以通过自动分裂两部分,然后将其中一半的数据迁移到另一台机器上去,这样就做到了线性扩展。而关系型数据库需要在扩容时再次分库分表,分片策略决定扩展成本。
    • 取余。避免使用%N的分片方式,这种方式极端情况下涉及所有数据迁移。
    • 一致性哈希。使用一致性哈希可以将物理节点映射为多个虚拟节点,添加节点时只影响部分数据。
    • 范围分片+动态分裂。节点1负责ID(0,1000),节点2负责ID(1000,2000)。当某个节点负责的ID数据量太大时会进行动态分裂,即拆分为更小的分片,节点1.1负责(0,500),节点1.2负责(500,1000)。

结论:

  • 如果是自建系统,且不具备分布式NoSQL数据库运维能力,且数据规模不大,那么可以使用MySQL。
  • 如果是基于云服务,那么就用分布式NoSQL,比如Tablestore或Bigtable。
  • 如果数据规模很大,那么也要用分布式NoSQL,否则就是走上一条不归路。

存储库表设计结构(Tablestore举例)如下:

主键列第一列主键第二列主键属性列属性列
列名user_idmessage_idcontentother
解释消息发送者用户ID消息顺序ID,可以使用timestamp。内容其他内容

image.png

同步方式

常见的方式有三种:

  • 推模式(写扩散):发送者发送了一个消息后,立即将这个消息推送给接收者,但是接收者此时不一定在线,那么就需要有一个地方存储这个数据,这个存储的地方称为:同步库。推模式也叫写扩散的原因是,一个消息需要发送个多个粉丝,那么这条消息就会复制多份,写放大,所以也叫写扩散。这种模式下,对同步库的要求就是写入能力极强和稳定。读取的时候因为消息已经发到接收者的收件箱了,只需要读一次自己的收件箱即可,读请求的量极小,所以对读的QPS需求不大。归纳下,推模式中对同步库的要求只有一个:写入能力强。
  • 拉模式(读扩散):这种是一种拉的方式,发送者发送了一条消息后,这条消息不会立即推送给粉丝,而是写入自己的发件箱,当粉丝上线后再去自己关注者的发件箱里面去读取,一条消息的写入只有一次,但是读取最多会和粉丝数一样,读会放大,所以也叫读扩散。拉模式的读写比例刚好和写扩散相反,那么对系统的要求是:读取能力强。另外这里还有一个误区,很多人在最开始设计feed流系统时,首先想到的是拉模式,因为这种和用户的使用体感是一样的,但是在系统设计上这种方式有不少痛点,最大的是每个粉丝需要记录自己上次读到了关注者的哪条消息,如果有1000个关注者,那么这个人需要记录1000个位置信息,这个量和关注量成正比的,远比用户数要大的多,这里要特别注意,虽然在产品前期数据量少的时候这种方式可以应付,但是量大了后就会事倍功半,得不偿失,切记切记。
  • 推拉结合模式
    • 按照用户群体分类:大V拉,普通用户推。大V存在大量粉丝,如果采用推模式,可能一条消息会扩散几百万次。基于此,采用大部分用户的消息都是写扩散,只有大V是读扩散。
    • 按照用户活跃状态分类:在线推,离线拉。以大V举例,大V发送一条消息后,将消息推送给在线的粉丝,对于当前时刻离线的粉丝在上线后,从大V的发件箱中拉取消息。

结论:

  • 如果产品中是双向关系,那么就采用推模式。
  • 如果产品中是单向关系,且用户数少于1000万,那么也采用推模式,足够了。
  • 如果产品是单向关系,单用户数大于1000万,那么采用推拉结合模式,这时候可以从推模式演进过来,不需要额外重新推翻重做。
  • 永远不要只用拉模式。
  • 如果是一个初创企业,先用推模式,快速把系统设计出来,然后让产品去验证、迭代,等客户数大幅上涨到1000万后,再考虑升级为推拉集合模式。

同步库表结构如下:

主键列第一列主键第二列主键属性列属性列属性列
列名user_idsequence_idsender_idmessage_idother
解释消息接收者用户ID消息顺序ID,可以使用timestamp + send_user_id,也可以直接使用Tablestore的自增列。发送者的用户IDstore_table中的message_id列的值,也就是消息ID。通过sender_id和message_id可以到store_table中查询到消息内容其他内容,同步库中不需要包括消息内容。

image.png

用户关系

查询的时候需要支持查询关注列表或者粉丝列表,或者直接好友列表,这里就需要根据多个属性列查询需要索引能力,这里,存储系统也可以采用两类,关系型、分布式NoSQL数据库。 关注关系表设计结构如下: Table:user_relation_table

主键顺序第一列主键第一列主键属性列属性列
Table字段名user_idfollow_user_idtimestampother
备注用户ID粉丝用户ID关注时间其他属性列

查询的时候:

  • 如果需要查询某个人的粉丝列表:使用TermQuery查询固定user_id,且按照timestamp排序。
  • 如果需要查询某个人的关注列表:使用TermQuery查询固定follow_user_id,且按照timestamp排序。
  • 当前数据写入Table后,需要5~10秒钟延迟后会在多元索引中查询到,未来会优化到2秒以内。

推送session池

发送者将消息发送后,接收者如何知道自己有新消息来了?客户端周期性去刷新?如果是这样子,那么系统的读请求压力会随着客户端增长而增长,如果某天平台爆发了一个热点消息,大量休眠设备登陆,这个时候就会出现“查询风暴”,一下子就把系统打垮了,所有的用户都不能用了。 可以在服务端维护一个推送session池,这个里面记录哪些用户在线,然后当用户A发送了一条消息给用户B后,服务端在写入存储库和同步库后,再通知一下session池中的用户B的session,告诉他:你有新消息了。然后session-B再去读消息,然后有消息后将消息推送给客户端。或者有消息后给客户端推送一下有消息了,客户端再去拉。

session表设计结构如下:

主键列顺序第一列主键第二列主键属性列
列名user_iddevice_idlast_sequence_id
备注接收者用户ID设备ID,同一个用户可能会有多个设备,不同设备的读取位置可能不一致,所以这里需要一个设备ID。如果不需要支持多终端,则这一列可以省略。该接收者已经推送给客户端的最新的顺序ID

评论

评论的属性和存储库差不多,但是多了一层关系:被评论的消息,所以只要将评论按照被被评论消息分组组织即可,然后查询时也是一个范围查询就行。 评论表设计结构如下:

主键列顺序第一列主键第二列主键属性列属性列属性列
字段名message_idcomment_idcomment_contentreply_toother
备注微博ID或朋友圈ID等消息的ID这一条评论的ID评论内容回复给哪个用户其他

点赞

“赞”或“like”功能很流行,赞功能的实现和评论类似,只是比评论少了一个内容,所以选择方式和评论一样。

系统结构

image.png

系统流转示例

系统架构

┌─────────────────────────────────────────────────────────────────────────────────────────────────────────────────┐
│                                           Feed流系统整体架构                                                     │
└─────────────────────────────────────────────────────────────────────────────────────────────────────────────────┘

                                              ┌─────────────────┐
                                              │   客户端 (APP)   │
                                              │  iOS / Android  │
                                              └────────┬────────┘
                                                       │
                                    ┌──────────────────┼──────────────────┐
                                    │ HTTP/HTTPS       │ WebSocket        │
                                    ▼                  ▼                  │
                         ┌─────────────────┐  ┌─────────────────┐         │
                         │   API Gateway   │  │  WebSocket LB   │         │
                         │    (Nginx)      │  │   (Nginx/HAProxy)│        │
                         └────────┬────────┘  └────────┬────────┘         │
                                  │                    │                  │
         ┌────────────────────────┼────────────────────┼──────────────────┤
         │                        │                    │                  │
         ▼                        ▼                    ▼                  │
┌─────────────────┐    ┌─────────────────┐    ┌─────────────────┐         │
│   Feed Service  │    │  User Service   │    │  Push Service   │◄────────┘
│   (发布/拉取)    │    │  (用户/关注)     │    │  (WebSocket)    │
└────────┬────────┘    └────────┬────────┘    └────────┬────────┘
         │                      │                      │
         │                      │                      │
         ▼                      ▼                      ▼
┌─────────────────────────────────────────────────────────────────────────────────────────────────────────────────┐
│                                              消息队列层                                                          │
│  ┌─────────────────────────────────────────────────────────────────────────────────────────────────────────┐   │
│  │                                         Kafka / RocketMQ                                                │   │
│  │   ┌─────────────┐    ┌─────────────┐    ┌─────────────┐    ┌─────────────┐    ┌─────────────┐           │   │
│  │   │ feed_publish│    │ feed_sync   │    │ feed_notify │    │ comment_topic│   │ like_topic  │           │   │
│  │   │   Topic     │    │   Topic     │    │   Topic     │    │             │    │             │           │   │
│  │   └─────────────┘    └─────────────┘    └─────────────┘    └─────────────┘    └─────────────┘           │   │
│  └─────────────────────────────────────────────────────────────────────────────────────────────────────────┘   │
└─────────────────────────────────────────────────────────────────────────────────────────────────────────────────┘
         │                      │                      │
         ▼                      ▼                      ▼
┌─────────────────────────────────────────────────────────────────────────────────────────────────────────────────┐
│                                              异步处理层                                                          │
│   ┌─────────────────┐    ┌─────────────────┐    ┌─────────────────┐    ┌─────────────────┐                      │
│   │  Sync Worker    │    │  Notify Worker  │    │ Comment Worker  │    │  Like Worker    │                      │
│   │  (写扩散处理)    │    │  (推送通知)      │    │  (评论处理)      │    │  (点赞处理)      │                      │
│   └────────┬────────┘    └────────┬────────┘    └────────┬────────┘    └────────┬────────┘                      │
└────────────┼─────────────────────┼─────────────────────┼─────────────────────┼──────────────────────────────────┘
             │                     │                     │                     │
             ▼                     ▼                     ▼                     ▼
┌─────────────────────────────────────────────────────────────────────────────────────────────────────────────────┐
│                                              存储层                                                              │
│                                                                                                                 │
│  ┌───────────────────────────────────────────────────────────────────────────────────────────────────────────┐  │
│  │                              Tablestore / HBase (分布式NoSQL)                                              │  │
│  │   ┌─────────────┐    ┌─────────────┐    ┌─────────────┐    ┌─────────────┐    ┌─────────────┐             │  │
│  │   │ store_table │    │ sync_table  │    │relation_table│   │comment_table│    │ like_table  │             │  │
│  │   │  (存储表)    │    │  (同步表)    │    │  (关注表)    │    │  (评论表)    │    │  (点赞表)    │             │  │
│  │   │  永久保存    │    │  周期保存    │    │  永久保存    │    │  永久保存    │    │  永久保存    │             │  │
│  │   └─────────────┘    └─────────────┘    └─────────────┘    └─────────────┘    └─────────────┘             │  │
│  └───────────────────────────────────────────────────────────────────────────────────────────────────────────┘  │
│                                                                                                                 │
│  ┌───────────────────────────────────────┐    ┌───────────────────────────────────────┐                         │
│  │           Redis Cluster               │    │              MySQL                    │                         │
│  │   ┌─────────────┐  ┌─────────────┐    │    │   ┌─────────────┐  ┌─────────────┐   │                         │
│  │   │session_pool │  │ feed_cache  │    │    │   │ user_table  │  │ bigv_table  │   │                         │
│  │   │ (Session池) │  │ (Feed缓存)  │    │    │   │  (用户表)    │  │  (大V表)     │   │                         │
│  │   └─────────────┘  └─────────────┘    │    │   └─────────────┘  └─────────────┘   │                         │
│  │   ┌─────────────┐  ┌─────────────┐    │    └───────────────────────────────────────┘                         │
│  │   │ like_count  │  │pull_position│    │                                                                      │
│  │   │ (点赞计数)   │  │ (拉取位置)   │    │                                                                      │
│  │   └─────────────┘  └─────────────┘    │                                                                      │
│  └───────────────────────────────────────┘                                                                      │
└─────────────────────────────────────────────────────────────────────────────────────────────────────────────────┘

场景设定

┌─────────────────────────────────────────────────────────────────────────────────────────┐
│  场景设定                                                                               │
├─────────────────────────────────────────────────────────────────────────────────────────┤
│  大V用户:bigV_001(粉丝数:500万)                                                      │
│  发布新动态:message_id = "msg_20241229_010",内容:"新年快乐!"                          │
│  发布时间:2024-12-29 15:00:00                                                          │
│                                                                                         │
│  粉丝状态分布:                                                                          │
│  ┌─────────────────────────────────────────────────────────────────────────────────┐    │
│  │  在线粉丝:100万(在Session池中有记录,采用推模式)                                 │    │
│  │  离线粉丝:400万(不在Session池中,采用拉模式)                                     │    │
│  └─────────────────────────────────────────────────────────────────────────────────┘    │
│                                                                                         │
│  以离线粉丝 fan_003 为例:                                                               │
│  - 关注了3个大V:bigV_001, bigV_002, bigV_003                                           │
│  - 上次在线时间:2024-12-28 18:30:00(昨天)                                            │
│  - 对 bigV_001 的拉取位置:msg_20241228_005                                             │
│  - 离线期间 bigV_001 发了5条新消息:msg_20241229_006 ~ msg_20241229_010                 │
└─────────────────────────────────────────────────────────────────────────────────────────┘

核心表结构

┌─────────────────────────────────────────────────────────────────────────────────────────┐
│  1. store_table(存储表/发件箱)- 永久保存                                                │
├───────────────┬───────────────────┬──────────────┬─────────────────────┬───────────────┤
│ user_id       │ message_id        │ content      │ timestamp           │ seq_no        │
│ (发布者ID)     │ (消息ID)           │ (内容)        │ (发布时间)           │ (序列号)       │
├───────────────┼───────────────────┼──────────────┼─────────────────────┼───────────────┤
│ bigV_001      │ msg_20241228_005  │ 晚安          │ 2024-12-28 23:00    │ 1005          │
│ bigV_001      │ msg_20241229_006  │ 早上好        │ 2024-12-29 08:00    │ 1006          │
│ bigV_001      │ msg_20241229_007  │ 吃早餐了      │ 2024-12-29 09:00    │ 1007          │
│ bigV_001      │ msg_20241229_008  │ 开始工作      │ 2024-12-29 10:00    │ 1008          │
│ bigV_001      │ msg_20241229_009  │ 午餐时间      │ 2024-12-29 12:00    │ 1009          │
│ bigV_001      │ msg_20241229_010  │ 新年快乐!    │ 2024-12-29 15:00    │ 1010          │
└───────────────┴───────────────────┴──────────────┴─────────────────────┴───────────────┘

┌─────────────────────────────────────────────────────────────────────────────────────────┐
│  2. sync_table(同步表/收件箱)- 周期保存                                                 │
├───────────────┬───────────────┬───────────────┬───────────────────┬─────────────────────┤
│ user_id       │ sequence_id   │ sender_id     │ message_id        │ timestamp           │
│ (接收者ID)     │ (收件箱序列号)  │ (发送者ID)     │ (消息ID)           │ (时间戳)            │
├───────────────┼───────────────┼───────────────┼───────────────────┼─────────────────────┤
│ fan_001       │ seq_501       │ bigV_001      │ msg_20241229_010  │ 2024-12-29 15:00    │
│ fan_002       │ seq_302       │ bigV_001      │ msg_20241229_010  │ 2024-12-29 15:00    │
│ ...           │ ...           │ ...           │ ...               │ ...                 │
└───────────────┴───────────────┴───────────────┴───────────────────┴─────────────────────┘
│  注意:同步表不存储消息内容,通过 sender_id + message_id 回查存储表获取                      │

┌─────────────────────────────────────────────────────────────────────────────────────────┐
│  3. pull_position_table(拉取位置表)- 记录每个粉丝对每个大V的拉取位置                       │
├───────────────┬───────────────┬───────────────────┬─────────────────────────────────────┤
│ user_id       │ bigv_id       │ last_pull_msg_id  │ last_pull_time                      │
│ (粉丝ID)       │ (大V ID)       │ (上次拉到的消息ID) │ (上次拉取时间)                        │
├───────────────┼───────────────┼───────────────────┼─────────────────────────────────────┤
│ fan_003       │ bigV_001      │ msg_20241228_005  │ 2024-12-28 18:30:00                 │
│ fan_003       │ bigV_002      │ msg_20241227_012  │ 2024-12-27 20:15:00                 │
│ fan_003       │ bigV_003      │ msg_20241229_001  │ 2024-12-29 09:00:00                 │
└───────────────┴───────────────┴───────────────────┴─────────────────────────────────────┘

┌─────────────────────────────────────────────────────────────────────────────────────────┐
│  4. session_pool(Session池)- 记录在线用户,Redis实现                                             │
├───────────────┬───────────────┬───────────────────┬─────────────────────────────────────┤
│ user_id       │ device_id     │ last_sequence_id  │ online_status                       │
│ (用户ID)       │ (设备ID)       │ (已推送的最新序列) │ (在线状态)                           │
├───────────────┼───────────────┼───────────────────┼─────────────────────────────────────┤
│ fan_001       │ device_A      │ seq_500           │ ONLINE                              │
│ fan_002       │ device_B      │ seq_301           │ ONLINE                              │
│ fan_003       │ -             │ -                 │ OFFLINE(不在池中)                   │
└───────────────┴───────────────┴───────────────────┴─────────────────────────────────────┘

大V发送动态

                         ┌─────────────────────────────────────────────────────────┐
                         │  bigV_001 发送动态                                       │
                         │  POST /api/feed/publish                                 │
                         │  { user_id: "bigV_001", content: "新年快乐!" }          │
                         └────────────────────────────┬────────────────────────────┘
                                                      │
                                                      ▼
┌────────────────────────────────────────────────────────────────────────────────────────────────┐
│  Step 1: 写入存储表(大V的发件箱)                                                              │
│  ┌──────────────────────────────────────────────────────────────────────────────────────────┐  │
│  │  INSERT INTO store_table (user_id, message_id, content, timestamp, seq_no)              │  │
│  │  VALUES ('bigV_001', 'msg_20241229_010', '新年快乐!', '2024-12-29 15:00:00', 1010)       │  │
│  └──────────────────────────────────────────────────────────────────────────────────────────┘  │
│  消息永久保存在大V的发件箱中,所有粉丝都可以从这里拉取                                            │
└────────────────────────────────────────────────────┬───────────────────────────────────────────┘
                                                     │
                                                     ▼
┌────────────────────────────────────────────────────────────────────────────────────────────────┐
│  Step 2: 查询粉丝列表                                                                          │
│  ┌──────────────────────────────────────────────────────────────────────────────────────────┐  │
│  │  SELECT follow_user_id FROM user_relation_table WHERE user_id = 'bigV_001'              │  │
│  │  → 返回 500万 粉丝ID                                                                     │  │
│  └──────────────────────────────────────────────────────────────────────────────────────────┘  │
└────────────────────────────────────────────────────┬───────────────────────────────────────────┘
                                                     │
                                                     ▼
┌────────────────────────────────────────────────────────────────────────────────────────────────┐
│  Step 3: 查询Session池,区分在线/离线粉丝                                                       │
│  ┌──────────────────────────────────────────────────────────────────────────────────────────┐  │
│  │  SELECT user_id FROM session_pool WHERE user_id IN (粉丝列表) AND online_status = 'ONLINE' │  │
│  │  → 在线:100万    离线:400万                                                             │  │
│  └──────────────────────────────────────────────────────────────────────────────────────────┘  │
└────────────────────────────────────────────────────┬───────────────────────────────────────────┘
                                                     │
                          ┌──────────────────────────┴──────────────────────────┐
                          ▼                                                     ▼
┌──────────────────────────────────────────────────────┐  ┌──────────────────────────────────────────────────────┐
│  在线粉丝处理(推模式)                                │  │  离线粉丝处理(拉模式)                                │
│                                                      │  │                                                      │
│  Step 4a: 批量写入同步表(收件箱)                     │  │  Step 4b: 不做任何操作                                │
│  ┌────────────────────────────────────────────────┐  │  │  ┌────────────────────────────────────────────────┐  │
│  │  // 100万条写入,分批处理                        │  │  │  │  消息保留在 bigV_001 的存储表(发件箱)中        │  │
│  │  for (batch : partition(onlineFans, 1000)) {   │  │  │  │  等待离线粉丝上线后主动拉取                      │  │
│  │      sync_table.batchInsert(                   │  │  │  │                                                │  │
│  │          batch,           // 粉丝ID列表         │  │  │  │  离线粉丝的拉取位置保持不变:                    │  │
│  │          "bigV_001",      // 发送者              │  │  │  │  fan_003 对 bigV_001: msg_20241228_005         │  │
│  │          "msg_20241229_010" // 消息ID           │  │  │  │  (下次上线时从这个位置开始拉取)                │  │
│  │      );                                        │  │  │  └────────────────────────────────────────────────┘  │
│  │  }                                             │  │  │                                                      │
│  └────────────────────────────────────────────────┘  │  └──────────────────────────────────────────────────────┘
│                                                      │
│  Step 5a: 通过Session长连接推送通知                   │
│  ┌────────────────────────────────────────────────┐  │
│  │  sessionPool.notifyUsers(                      │  │
│  │      onlineFans,                               │  │
│  │      { type: "NEW_FEED", count: 1 }            │  │
│  │  );                                            │  │
│  │  客户端收到通知后,主动拉取最新消息               │  │
│  └────────────────────────────────────────────────┘  │
└──────────────────────────────────────────────────────┘

在线粉丝 fan_001 接收消息

┌────────────────────────────────────────────────────────────────────────────────────────────────┐
│  fan_001 的 Session 收到推送通知                                                               │
│  { type: "NEW_FEED", count: 1 }                                                                │
└────────────────────────────────────────────────────┬───────────────────────────────────────────┘
                                                     │
                                                     ▼
┌────────────────────────────────────────────────────────────────────────────────────────────────┐
│  Step 1: 客户端发起拉取请求                                                                    │
│  ┌──────────────────────────────────────────────────────────────────────────────────────────┐  │
│  │  GET /api/feed/timeline?last_seq=seq_500                                                │  │
│  │  fan_001 上次读到 seq_500,请求 seq_500 之后的新消息                                      │  │
│  └──────────────────────────────────────────────────────────────────────────────────────────┘  │
└────────────────────────────────────────────────────┬───────────────────────────────────────────┘
                                                     │
                                                     ▼
┌────────────────────────────────────────────────────────────────────────────────────────────────┐
│  Step 2: 从同步表(收件箱)读取新消息                                                           │
│  ┌──────────────────────────────────────────────────────────────────────────────────────────┐  │
│  │  SELECT * FROM sync_table                                                               │  │
│  │  WHERE user_id = 'fan_001' AND sequence_id > 'seq_500'    客户端请求时如果没有携带 last_seq,服务端会从 session_table 读取                              │  │
│  │  ORDER BY sequence_id DESC LIMIT 20                                                     │  │
│  │                                                                                         │  │
│  │  返回结果:                                                                              │  │
│  │  sequence_id │ sender_id  │ message_id                                                  │  │
│  │  seq_501     │ bigV_001   │ msg_20241229_010   ← 刚推送的新消息                          │  │
│  └──────────────────────────────────────────────────────────────────────────────────────────┘  │
└────────────────────────────────────────────────────┬───────────────────────────────────────────┘
                                                     │
                                                     ▼
┌────────────────────────────────────────────────────────────────────────────────────────────────┐
│  Step 3: 回查存储表获取消息内容                                                                 │
│  ┌──────────────────────────────────────────────────────────────────────────────────────────┐  │
│  │  SELECT content, timestamp FROM store_table                                             │  │
│  │  WHERE user_id = 'bigV_001' AND message_id = 'msg_20241229_010'                          │  │
│  │                                                                                         │  │
│  │  返回结果:{ content: "新年快乐!", timestamp: "2024-12-29 15:00:00" }                    │  │
│  └──────────────────────────────────────────────────────────────────────────────────────────┘  │
└────────────────────────────────────────────────────┬───────────────────────────────────────────┘
                                                     │
                                                     ▼
┌────────────────────────────────────────────────────────────────────────────────────────────────┐
│  Step 4: 返回给客户端展示                                                                      │
│  ┌──────────────────────────────────────────────────────────────────────────────────────────┐  │
│  │  客户端 Timeline:                                                                       │  │
│  │  ┌────────────────────────────────────────────────────────────────────────────────────┐ │  │
│  │  │  [bigV_001] 新年快乐!                                        15:00   ← 新消息     │ │  │
│  │  │  [user_xxx] xxxxxxxxx                                         14:30               │ │  │
│  │  │  [bigV_002] xxxxxxxxx                                         14:00               │ │  │
│  │  └────────────────────────────────────────────────────────────────────────────────────┘ │  │
│  └──────────────────────────────────────────────────────────────────────────────────────────┘  │
│  同时更新 Session 中的 last_sequence_id = seq_501                                              │
└────────────────────────────────────────────────────────────────────────────────────────────────┘

离线粉丝 fan_003 上线后的拉取流程

┌────────────────────────────────────────────────────────────────────────────────────────────────┐
│  fan_003 上线,打开APP                                                                        │
│  时间:2024-12-29 16:00:00(离线了约22小时)                                                   │
└────────────────────────────────────────────────────┬───────────────────────────────────────────┘
                                                     │
                                                     ▼
┌────────────────────────────────────────────────────────────────────────────────────────────────┐
│  Step 1: 建立Session连接,加入Session池                                                        │
│  ┌──────────────────────────────────────────────────────────────────────────────────────────┐  │
│  │  session_pool.register(                                                                 │  │
│  │      user_id: "fan_003",                                                                │  │
│  │      device_id: "iPhone_xxx",                                                           │  │
│  │      online_status: "ONLINE"                                                            │  │
│  │  )                                                                                      │  │
│  └──────────────────────────────────────────────────────────────────────────────────────────┘  │
└────────────────────────────────────────────────────┬───────────────────────────────────────────┘
                                                     │
                                                     ▼
┌────────────────────────────────────────────────────────────────────────────────────────────────┐
│  Step 2: 查询关注的大V列表                                                                     │
│  ┌──────────────────────────────────────────────────────────────────────────────────────────┐  │
│  │  SELECT user_id FROM user_relation_table                                                │  │
│  │  WHERE follow_user_id = 'fan_003' AND is_bigv = true                                    │  │
│  │                                                                                         │  │
│  │  返回:[bigV_001, bigV_002, bigV_003]                                                   │  │
│  └──────────────────────────────────────────────────────────────────────────────────────────┘  │
└────────────────────────────────────────────────────┬───────────────────────────────────────────┘
                                                     │
                                                     ▼
┌────────────────────────────────────────────────────────────────────────────────────────────────┐
│  Step 3: 查询每个大V的拉取位置 ⭐ 关键步骤                                                      │
│  ┌──────────────────────────────────────────────────────────────────────────────────────────┐  │
│  │  SELECT bigv_id, last_pull_msg_id, last_pull_time                                       │  │
│  │  FROM pull_position_table                                                               │  │
│  │  WHERE user_id = 'fan_003' AND bigv_id IN ('bigV_001', 'bigV_002', 'bigV_003')           │  │
│  │                                                                                         │  │
│  │  ┌────────────────────────────────────────────────────────────────────────────────────┐ │  │
│  │  │  查询结果:fan_003 的拉取位置                                                       │ │  │
│  │  │  bigv_id    │ last_pull_msg_id   │ last_pull_time        │ 含义                   │ │  │
│  │  │ ───────────┼────────────────────┼───────────────────────┼────────────────────────│ │  │
│  │  │  bigV_001   │ msg_20241228_005   │ 2024-12-28 18:30:00   │ 昨天拉到第5条消息       │ │  │
│  │  │  bigV_002   │ msg_20241227_012   │ 2024-12-27 20:15:00   │ 前天拉到第12条消息      │ │  │
│  │  │  bigV_003   │ msg_20241229_001   │ 2024-12-29 09:00:00   │ 今早拉到第1条消息       │ │  │
│  │  └────────────────────────────────────────────────────────────────────────────────────┘ │  │
│  └──────────────────────────────────────────────────────────────────────────────────────────┘  │
└────────────────────────────────────────────────────┬───────────────────────────────────────────┘
                                                     │
                                                     ▼
┌────────────────────────────────────────────────────────────────────────────────────────────────┐
│  Step 4: 从每个大V的发件箱增量拉取 ⭐ 关键步骤                                                   │
│                                                                                                │
│  ┌──────────────────────────────────────────────────────────────────────────────────────────┐  │
│  │  对于 bigV_001(从 msg_20241228_005 之后开始拉取):                                      │  │
│  │                                                                                         │  │
│  │  SELECT * FROM store_table                                                              │  │
│  │  WHERE user_id = 'bigV_001'                                                             │  │
│  │    AND message_id > 'msg_20241228_005'   ← 从上次位置之后开始(不包含上次的消息)          │  │
│  │  ORDER BY message_id ASC                                                                │  │
│  │  LIMIT 50                                                                               │  │
│  │                                                                                         │  │
│  │  拉取到的新消息(5条):                                                                  │  │
│  │  ┌────────────────────────────────────────────────────────────────────────────────────┐ │  │
│  │  │  message_id        │ content      │ timestamp           │ 状态                    │ │  │
│  │  │ ──────────────────┼──────────────┼─────────────────────┼───────────────────────── │ │  │
│  │  │  msg_20241229_006  │ 早上好        │ 2024-12-29 08:00    │ 新消息                  │ │  │
│  │  │  msg_20241229_007  │ 吃早餐了      │ 2024-12-29 09:00    │ 新消息                  │ │  │
│  │  │  msg_20241229_008  │ 开始工作      │ 2024-12-29 10:00    │ 新消息                  │ │  │
│  │  │  msg_20241229_009  │ 午餐时间      │ 2024-12-29 12:00    │ 新消息                  │ │  │
│  │  │  msg_20241229_010  │ 新年快乐!    │ 2024-12-29 15:00    │ 新消息(最新)           │ │  │
│  │  └────────────────────────────────────────────────────────────────────────────────────┘ │  │
│  └──────────────────────────────────────────────────────────────────────────────────────────┘  │
│                                                                                                │
│  ┌──────────────────────────────────────────────────────────────────────────────────────────┐  │
│  │  对于 bigV_002(从 msg_20241227_012 之后开始拉取):                                      │  │
│  │  拉取到 3 条新消息:msg_20241228_001 ~ msg_20241228_003                                  │  │
│  └──────────────────────────────────────────────────────────────────────────────────────────┘  │
│                                                                                                │
│  ┌──────────────────────────────────────────────────────────────────────────────────────────┐  │
│  │  对于 bigV_003(从 msg_20241229_001 之后开始拉取):                                      │  │
│  │  拉取到 1 条新消息:msg_20241229_002                                                     │  │
│  └──────────────────────────────────────────────────────────────────────────────────────────┘  │
└────────────────────────────────────────────────────┬───────────────────────────────────────────┘
                                                     │
                                                     ▼
┌────────────────────────────────────────────────────────────────────────────────────────────────┐
│  Step 5: 更新拉取位置 ⭐ 关键步骤                                                               │
│  ┌──────────────────────────────────────────────────────────────────────────────────────────┐  │
│  │  批量更新 fan_003 对每个大V的拉取位置:                                                   │  │
│  │                                                                                         │  │
│  │  UPDATE pull_position_table SET                                                         │  │
│  │      last_pull_msg_id = CASE bigv_id                                                    │  │
│  │          WHEN 'bigV_001' THEN 'msg_20241229_010'   ← 更新为本次拉到的最新消息ID           │  │
│  │          WHEN 'bigV_002' THEN 'msg_20241228_003'                                         │  │
│  │          WHEN 'bigV_003' THEN 'msg_20241229_002'                                         │  │
│  │      END,                                                                               │  │
│  │      last_pull_time = '2024-12-29 16:00:00'       ← 更新拉取时间                         │  │
│  │  WHERE user_id = 'fan_003'                                                              │  │
│  │                                                                                         │  │
│  │  ┌────────────────────────────────────────────────────────────────────────────────────┐ │  │
│  │  │  更新后的拉取位置表:                                                                │ │  │
│  │  │  bigv_id    │ last_pull_msg_id   │ last_pull_time        │ 变化                   │ │  │
│  │  │ ───────────┼────────────────────┼───────────────────────┼────────────────────────│ │  │
│  │  │  bigV_001   │ msg_20241229_010   │ 2024-12-29 16:00:00   │ ✅ 005 → 010           │ │  │
│  │  │  bigV_002   │ msg_20241228_003   │ 2024-12-29 16:00:00   │ ✅ 012 → 003           │ │  │
│  │  │  bigV_003   │ msg_20241229_002   │ 2024-12-29 16:00:00   │ ✅ 001 → 002           │ │  │
│  │  └────────────────────────────────────────────────────────────────────────────────────┘ │  │
│  │  下次 fan_003 再上线时,将从这些新位置开始拉取                                            │  │
│  └──────────────────────────────────────────────────────────────────────────────────────────┘  │
└────────────────────────────────────────────────────┬───────────────────────────────────────────┘
                                                     │
                                                     ▼
┌────────────────────────────────────────────────────────────────────────────────────────────────┐
│  Step 6: 合并消息并写入同步表(收件箱)                                                         │
│  ┌──────────────────────────────────────────────────────────────────────────────────────────┐  │
│  │  将从各个大V拉取的消息合并,按时间排序,写入 fan_003 的同步表                              │  │
│  │                                                                                         │  │
│  │  sync_table(fan_003 的收件箱)新增记录:                                                │  │
│  │  ┌────────────────────────────────────────────────────────────────────────────────────┐ │  │
│  │  │  user_id  │ sequence_id │ sender_id  │ message_id        │ timestamp              │ │  │
│  │  │ ─────────┼─────────────┼────────────┼───────────────────┼────────────────────────│ │  │
│  │  │  fan_003  │ seq_201     │ bigV_001   │ msg_20241229_006  │ 2024-12-29 08:00       │ │  │
│  │  │  fan_003  │ seq_202     │ bigV_002   │ msg_20241228_001  │ 2024-12-29 08:30       │ │  │
│  │  │  fan_003  │ seq_203     │ bigV_001   │ msg_20241229_007  │ 2024-12-29 09:00       │ │  │
│  │  │  fan_003  │ seq_204     │ bigV_003   │ msg_20241229_002  │ 2024-12-29 09:30       │ │  │
│  │  │  fan_003  │ seq_205     │ bigV_001   │ msg_20241229_008  │ 2024-12-29 10:00       │ │  │
│  │  │  fan_003  │ seq_206     │ bigV_001   │ msg_20241229_009  │ 2024-12-29 12:00       │ │  │
│  │  │  fan_003  │ seq_207     │ bigV_001   │ msg_20241229_010  │ 2024-12-29 15:00       │ │  │
│  │  │  ...      │ ...         │ ...        │ ...               │ ...                    │ │  │
│  │  └────────────────────────────────────────────────────────────────────────────────────┘ │  │
│  └──────────────────────────────────────────────────────────────────────────────────────────┘  │
└────────────────────────────────────────────────────┬───────────────────────────────────────────┘
                                                     │
                                                     ▼
┌────────────────────────────────────────────────────────────────────────────────────────────────┐
│  Step 7: 返回给客户端展示                                                                      │
│  ┌──────────────────────────────────────────────────────────────────────────────────────────┐  │
│  │  客户端 Timeline(按时间倒序展示):                                                      │  │
│  │  ┌────────────────────────────────────────────────────────────────────────────────────┐ │  │
│  │  │  ┌────────────────────────────────────────────────────────────────────────────┐   │ │  │
│  │  │  │  [bigV_001] 新年快乐!                                         15:00       │   │ │  │
│  │  │  └────────────────────────────────────────────────────────────────────────────┘   │ │  │
│  │  │  ┌────────────────────────────────────────────────────────────────────────────┐   │ │  │
│  │  │  │  [bigV_001] 午餐时间                                           12:00       │   │ │  │
│  │  │  └────────────────────────────────────────────────────────────────────────────┘   │ │  │
│  │  │  ┌────────────────────────────────────────────────────────────────────────────┐   │ │  │
│  │  │  │  [bigV_001] 开始工作                                           10:00       │   │ │  │
│  │  │  └────────────────────────────────────────────────────────────────────────────┘   │ │  │
│  │  │  ┌────────────────────────────────────────────────────────────────────────────┐   │ │  │
│  │  │  │  [bigV_003] xxxxxxxxx                                          09:30       │   │ │  │
│  │  │  └────────────────────────────────────────────────────────────────────────────┘   │ │  │
│  │  │  ┌────────────────────────────────────────────────────────────────────────────┐   │ │  │
│  │  │  │  [bigV_001] 吃早餐了                                           09:00       │   │ │  │
│  │  │  └────────────────────────────────────────────────────────────────────────────┘   │ │  │
│  │  │  ┌────────────────────────────────────────────────────────────────────────────┐   │ │  │
│  │  │  │  [bigV_002] xxxxxxxxx                                          08:30       │   │ │  │
│  │  │  └────────────────────────────────────────────────────────────────────────────┘   │ │  │
│  │  │  ┌────────────────────────────────────────────────────────────────────────────┐   │ │  │
│  │  │  │  [bigV_001] 早上好                                             08:00       │   │ │  │
│  │  │  └────────────────────────────────────────────────────────────────────────────┘   │ │  │
│  │  └────────────────────────────────────────────────────────────────────────────────────┘ │  │
│  └──────────────────────────────────────────────────────────────────────────────────────────┘  │
│  同时更新 Session 中的 last_sequence_id = seq_207                                              │
└────────────────────────────────────────────────────────────────────────────────────────────────┘

评论

表结构设计

┌─────────────────────────────────────────────────────────────────────────────────────────────────────────────────┐
│  comment_table(评论表)- 存储:Tablestore / HBase                                                               │
└─────────────────────────────────────────────────────────────────────────────────────────────────────────────────┘

┌─────────────────────────────────────────────────────────────────────────────────────────────────────────────────┐
│  主键设计                                                                                                        │
│  ┌─────────────────┬─────────────────────────┬─────────────────────────────────────────────────────────────┐   │
│  │  列名            │  类型                    │  说明                                                       │   │
│  ├─────────────────┼─────────────────────────┼─────────────────────────────────────────────────────────────┤   │
│  │  message_id     │  String (PK1, 分区键)    │  被评论的动态ID,同一动态的评论物理上连续存储                   │   │
│  │  comment_id     │  String (PK2, 排序键)    │  评论ID,格式:时间戳_用户ID,保证有序且唯一                   │   │
│  └─────────────────┴─────────────────────────┴─────────────────────────────────────────────────────────────┘   │
│                                                                                                                 │
│  属性列                                                                                                          │
│  ┌─────────────────┬─────────────────────────┬─────────────────────────────────────────────────────────────┐   │
│  │  列名            │  类型                    │  说明                                                       │   │
│  ├─────────────────┼─────────────────────────┼─────────────────────────────────────────────────────────────┤   │
│  │  user_id        │  String                 │  评论者ID                                                    │   │
│  │  content        │  String                 │  评论内容                                                    │   │
│  │  reply_to_user  │  String                 │  回复目标用户ID(楼中楼),NULL表示直接评论动态                 │   │
│  │  reply_to_cmt   │  String                 │  回复目标评论ID(楼中楼)                                     │   │
│  │  timestamp      │  Long                   │  评论时间戳                                                  │   │
│  │  status         │  Integer                │  状态:0-正常,1-已删除,2-隐藏                               │   │
│  │  like_count     │  Integer                │  评论点赞数(冗余字段,定时同步)                              │   │
│  └─────────────────┴─────────────────────────┴─────────────────────────────────────────────────────────────┘   │
│                                                                                                                 │
│  示例数据                                                                                                        │
│  ┌───────────────────┬─────────────────────────┬──────────┬────────────┬──────────────┬──────────────┐         │
│  │  message_id       │  comment_id             │  user_id │  content   │  reply_to_user│ reply_to_cmt│         │
│  ├───────────────────┼─────────────────────────┼──────────┼────────────┼──────────────┼──────────────┤         │
│  │  msg_001          │  1703836800000_userA    │  userA   │  说得好!   │  NULL        │  NULL        │         │
│  │  msg_001          │  1703836900000_userB    │  userB   │  同意楼上   │  userA       │  上一条ID    │         │
│  │  msg_001          │  1703837000000_userC    │  userC   │  不太认同   │  NULL        │  NULL        │         │
│  │  msg_002          │  1703838000000_userA    │  userA   │  哈哈哈     │  NULL        │  NULL        │         │
│  └───────────────────┴─────────────────────────┴──────────┴────────────┴──────────────┴──────────────┘         │
└─────────────────────────────────────────────────────────────────────────────────────────────────────────────────┘


┌─────────────────────────────────────────────────────────────────────────────────────────────────────────────────┐
│  Redis 缓存设计                                                                                                  │
└─────────────────────────────────────────────────────────────────────────────────────────────────────────────────┘

┌─────────────────────────────────────────────────────────────────────────────────────────────────────────────────┐
│  1. 评论计数缓存                                                                                                 │
│     Key: comment_count:{message_id}                                                                             │
│     Value: 123 (评论数)                                                                                         │
│     TTL: 1小时,过期后从数据库重新统计                                                                            │
│                                                                                                                 │
│  2. 热门评论缓存(可选)                                                                                          │
│     Key: hot_comments:{message_id}                                                                              │
│     Value: List<Comment> (前N条热门评论,按点赞数排序)                                                            │
│     TTL: 10分钟                                                                                                  │
└─────────────────────────────────────────────────────────────────────────────────────────────────────────────────┘

发表评论流程

┌─────────────────────────────────────────────────────────────────────────────────────────────────────────────────┐
│  发表评论完整流程                                                                                                │
└─────────────────────────────────────────────────────────────────────────────────────────────────────────────────┘

    用户B                          Comment Service                    数据库                    动态作者(大V)
      │                                  │                              │                           │
      │ POST /api/comment                │                              │                           │
      │ {                                │                              │                           │
      │   message_id: "msg_001",         │                              │                           │
      │   content: "说得好!",            │                              │                           │
      │   reply_to_user: null            │                              │                           │
      │ }                                │                              │                           │
      │─────────────────────────────────>│                              │                           │
      │                                  │                              │                           │
      │                                  │  1. 参数校验                  │                           │
      │                                  │  - 内容长度检查               │                           │
      │                                  │  - 敏感词过滤                 │                           │
      │                                  │  - 用户是否被禁言             │                           │
      │                                  │                              │                           │
      │                                  │  2. 生成评论ID                │                           │
      │                                  │  comment_id = timestamp_userB │                           │
      │                                  │                              │                           │
      │                                  │  3. 写入评论表 ──────────────>│                           │
      │                                  │     INSERT comment_table      │                           │
      │                                  │                              │                           │
      │                                  │  4. 更新评论计数 ────────────>│ Redis                     │
      │                                  │     INCR comment_count:msg_001│                           │
      │                                  │                              │                           │
      │                                  │  5. 查询动态作者 ────────────>│ store_table               │
      │                                  │     获取 msg_001 的 user_id   │                           │
      │                                  │<────── bigV_001 ─────────────│                           │
      │                                  │                              │                           │
      │                                  │  6. 发送通知 ─────────────────────────────────────────────>│
      │                                  │     写入 notification_table   │                           │
      │                                  │     {                         │                           │
      │                                  │       user_id: bigV_001,      │                           │
      │                                  │       type: COMMENT,          │                           │
      │                                  │       from_user: userB,       │                           │
      │                                  │       message_id: msg_001,    │                           │
      │                                  │       comment_id: xxx         │                           │
      │                                  │     }                         │                           │
      │                                  │                              │                           │
      │                                  │  7. 如果大V在线,推送通知 ─────────────────────────────────>│
      │                                  │     WebSocket: "有人评论了你的动态"                         │
      │                                  │                              │                           │
      │<──── 返回成功 ──────────────────│                              │                           │
      │      { comment_id: xxx }         │                              │                           │
      │                                  │                              │                           │

楼中楼回复

┌─────────────────────────────────────────────────────────────────────────────────────────────────────────────────┐
│  楼中楼回复流程                                                                                                  │
└─────────────────────────────────────────────────────────────────────────────────────────────────────────────────┘

    用户C回复用户B的评论
    
    POST /api/comment
    {
      message_id: "msg_001",           // 原动态ID
      content: "同意!",
      reply_to_user: "userB",          // 回复目标用户
      reply_to_comment: "cmt_001"      // 回复目标评论ID
    }
    
                                  │
                                  ▼
    ┌──────────────────────────────────────────────────────────────────────────────────────────────────────────┐
    │  写入评论表                                                                                               │
    │  ┌─────────────────┬─────────────────────────┬──────────┬────────────┬──────────────┬──────────────┐    │
    │  │  message_id     │  comment_id             │  user_id │  content   │  reply_to_user│ reply_to_cmt│    │
    │  │  msg_001        │  1703837000000_userC    │  userC   │  同意!     │  userB       │  cmt_001    │    │
    │  └─────────────────┴─────────────────────────┴──────────┴────────────┴──────────────┴──────────────┘    │
    └──────────────────────────────────────────────────────────────────────────────────────────────────────────┘
                                  │
                                  ▼
    ┌──────────────────────────────────────────────────────────────────────────────────────────────────────────┐
    │  发送两条通知                                                                                             │
    │                                                                                                          │
    │  1. 通知动态作者 (bigV_001)                    2. 通知被回复者 (userB)                                      │
    │  ┌────────────────────────────────────┐       ┌────────────────────────────────────┐                     │
    │  │  type: COMMENT                     │       │  type: REPLY                       │                     │
    │  │  to_user: bigV_001                 │       │  to_user: userB                    │                     │
    │  │  from_user: userC                  │       │  from_user: userC                  │                     │
    │  │  content: "userC评论了你的动态"     │       │  content: "userC回复了你的评论"     │                     │
    │  └────────────────────────────────────┘       └────────────────────────────────────┘                     │
    └──────────────────────────────────────────────────────────────────────────────────────────────────────────┘

点赞

表结构设计

┌─────────────────────────────────────────────────────────────────────────────────────────────────────────────────┐
│  like_table(点赞明细表)- 存储:Tablestore / HBase                                                               │
└─────────────────────────────────────────────────────────────────────────────────────────────────────────────────┘

┌─────────────────────────────────────────────────────────────────────────────────────────────────────────────────┐
│  主键设计                                                                                                        │
│  ┌─────────────────┬─────────────────────────┬─────────────────────────────────────────────────────────────┐   │
│  │  列名            │  类型                    │  说明                                                       │   │
│  ├─────────────────┼─────────────────────────┼─────────────────────────────────────────────────────────────┤   │
│  │  message_id     │  String (PK1, 分区键)    │  被点赞的动态ID                                              │   │
│  │  user_id        │  String (PK2)           │  点赞者ID,联合主键保证同一用户只能点赞一次                    │   │
│  └─────────────────┴─────────────────────────┴─────────────────────────────────────────────────────────────┘   │
│                                                                                                                 │
│  属性列                                                                                                          │
│  ┌─────────────────┬─────────────────────────┬─────────────────────────────────────────────────────────────┐   │
│  │  列名            │  类型                    │  说明                                                       │   │
│  ├─────────────────┼─────────────────────────┼─────────────────────────────────────────────────────────────┤   │
│  │  timestamp      │  Long                   │  点赞时间                                                    │   │
│  │  like_type      │  Integer                │  点赞类型:1-👍,2-❤️,3-😄,4-😮,5-😢,6-😠                  │   │
│  └─────────────────┴─────────────────────────┴─────────────────────────────────────────────────────────────┘   │
│                                                                                                                 │
│  示例数据                                                                                                        │
│  ┌───────────────────┬──────────────┬─────────────────┬─────────────┐                                          │
│  │  message_id       │  user_id     │  timestamp      │  like_type  │                                          │
│  ├───────────────────┼──────────────┼─────────────────┼─────────────┤                                          │
│  │  msg_001          │  userA       │  1703836800000  │  1          │                                          │
│  │  msg_001          │  userB       │  1703836900000  │  1          │                                          │
│  │  msg_001          │  userC       │  1703837000000  │  2          │                                          │
│  │  msg_002          │  userA       │  1703838000000  │  1          │                                          │
│  └───────────────────┴──────────────┴─────────────────┴─────────────┘                                          │
│                                                                                                                 │
│  特点:                                                                                                          │
│  - 联合主键 (message_id, user_id) 保证幂等,同一用户对同一动态只能有一条记录                                        │
│  - 重复点赞:直接覆盖(幂等)                                                                                      │
│  - 取消点赞:删除记录                                                                                             │
└─────────────────────────────────────────────────────────────────────────────────────────────────────────────────┘


┌─────────────────────────────────────────────────────────────────────────────────────────────────────────────────┐
│  Redis 计数设计(解决热点问题)                                                                                   │
└─────────────────────────────────────────────────────────────────────────────────────────────────────────────────┘

方案1:简单计数(适合普通动态)
┌─────────────────────────────────────────────────────────────────────────────────────────────────────────────────┐
│  Key: like_count:{message_id}                                                                                   │
│  Value: 12345                                                                                                   │
│  操作:INCR(点赞)/ DECR(取消)                                                                                 │
└─────────────────────────────────────────────────────────────────────────────────────────────────────────────────┘

方案2:分桶计数(适合大V爆款动态,解决热点Key问题)
┌─────────────────────────────────────────────────────────────────────────────────────────────────────────────────┐
│  问题:大V发了爆款动态,短时间100万人点赞,单Key成为热点                                                            │
│                                                                                                                 │
│  解决方案:将计数分散到多个桶                                                                                      │
│                                                                                                                 │
│  Key: like_count:{message_id}:bucket:{0-99}                                                                     │
│                                                                                                                 │
│  点赞时:                                                                                                        │
│    bucket_id = hash(user_id) % 100                                                                              │
│    INCR like_count:msg_001:bucket:37                                                                            │
│                                                                                                                 │
│  查询时:                                                                                                        │
│    方式1:MGET所有桶,求和                                                                                        │
│    方式2:定时任务聚合到主Key,查询主Key                                                                           │
│                                                                                                                 │
│  示例:                                                                                                          │
│  ┌────────────────────────────────────┬─────────────┐                                                           │
│  │  Key                               │  Value      │                                                           │
│  │  like_count:msg_001:bucket:0       │  1234       │                                                           │
│  │  like_count:msg_001:bucket:1       │  1289       │                                                           │
│  │  like_count:msg_001:bucket:2       │  1256       │                                                           │
│  │  ...                               │  ...        │                                                           │
│  │  like_count:msg_001:bucket:99      │  1301       │                                                           │
│  │  ─────────────────────────────────────────────── │                                                           │
│  │  like_count:msg_001 (聚合值)        │  125000     │  ← 定时任务更新                                           │
│  └────────────────────────────────────┴─────────────┘                                                           │
└─────────────────────────────────────────────────────────────────────────────────────────────────────────────────┘

点赞/取消点赞流程

┌─────────────────────────────────────────────────────────────────────────────────────────────────────────────────┐
│  点赞流程                                                                                                        │
└─────────────────────────────────────────────────────────────────────────────────────────────────────────────────┘

    用户A                            Like Service                       数据库                    动态作者
      │                                  │                                │                          │
      │ POST /api/like                   │                                │                          │
      │ {                                │                                │                          │
      │   message_id: "msg_001",         │                                │                          │
      │   action: "LIKE"                 │                                │                          │
      │ }                                │                                │                          │
      │─────────────────────────────────>│                                │                          │
      │                                  │                                │                          │
      │                                  │  1. 检查是否已点赞              │                          │
      │                                  │────── GET ────────────────────>│ like_table               │
      │                                  │     (msg_001, userA)           │                          │
      │                                  │<───── NULL(未点赞)────────────│                          │
      │                                  │                                │                          │
      │                                  │  2. 写入点赞记录(幂等写入)     │                          │
      │                                  │────── PUT ────────────────────>│ like_table               │
      │                                  │     (msg_001, userA, 1, now)   │                          │
      │                                  │                                │                          │
      │                                  │  3. 更新点赞计数               │                          │
      │                                  │────── INCR ──────────────────>│ Redis                    │
      │                                  │     like_count:msg_001         │                          │
      │                                  │                                │                          │
      │                                  │  4. 发送通知(异步)            │                          │
      │                                  │─────────────────────────────────────────────────────────>│
      │                                  │     "userA赞了你的动态"          │                          │
      │                                  │                                │                          │
      │<──── 返回成功 ──────────────────│                                │                          │
      │      { liked: true, count: 1235 }│                                │                          │


┌─────────────────────────────────────────────────────────────────────────────────────────────────────────────────┐
│  取消点赞流程                                                                                                    │
└─────────────────────────────────────────────────────────────────────────────────────────────────────────────────┘

    用户A                            Like Service                       数据库
      │                                  │                                │
      │ POST /api/like                   │                                │
      │ {                                │                                │
      │   message_id: "msg_001",         │                                │
      │   action: "UNLIKE"               │                                │
      │ }                                │                                │
      │─────────────────────────────────>│                                │
      │                                  │                                │
      │                                  │  1. 删除点赞记录                │
      │                                  │────── DELETE ────────────────>│ like_table
      │                                  │     (msg_001, userA)           │
      │                                  │                                │
      │                                  │  2. 更新点赞计数               │
      │                                  │────── DECR ─────────────────>│ Redis
      │                                  │     like_count:msg_001         │
      │                                  │                                │
      │<──── 返回成功 ──────────────────│                                │
      │      { liked: false, count: 1234}│                                │

上述场景涉及到的技术问题

热点key的读写解决方案
┌─────────────────────────────────────────────────────────────────────────────────────────────────────────────────┐
│  Feed流系统热点Key完整解决方案                                                                                    │
└─────────────────────────────────────────────────────────────────────────────────────────────────────────────────┘

┌──────────────────────────────────────────────────────────────────────────────────────────────────────────────────┐
│                                                                                                                  │
│                                          用户请求                                                                 │
│                                             │                                                                    │
│                                             ▼                                                                    │
│                              ┌─────────────────────────────┐                                                    │
│                              │       热点检测模块           │                                                    │
│                              │  (滑动窗口统计访问频率)       │                                                    │
│                              └──────────────┬──────────────┘                                                    │
│                                             │                                                                    │
│                          ┌──────────────────┴──────────────────┐                                                │
│                          │                                     │                                                │
│                    普通Key                                热点Key                                               │
│                          │                                     │                                                │
│                          ▼                                     ▼                                                │
│               ┌─────────────────┐                   ┌─────────────────┐                                        │
│               │   直接访问Redis  │                   │   热点处理模块   │                                        │
│               └─────────────────┘                   └────────┬────────┘                                        │
│                                                              │                                                  │
│                                        ┌─────────────────────┴─────────────────────┐                           │
│                                        │                                           │                           │
│                                      读请求                                       写请求                         │
│                                        │                                           │                           │
│                                        ▼                                           ▼                           │
│                         ┌──────────────────────────┐               ┌──────────────────────────┐                │
│                         │       读热点处理          │               │       写热点处理          │                │
│                         │                          │               │                          │                │
│                         │  1. 本地缓存(Caffeine)  │               │  1. 分桶计数             │                │
│                         │     TTL: 1秒             │               │     100个桶,分散写压力   │                │
│                         │                          │               │                          │                │
│                         │  2. 多副本读取           │               │  2. 异步消息队列          │                │
│                         │     随机选择副本          │               │     Kafka削峰            │                │
│                         │                          │               │                          │                │
│                         │  3. 读写分离             │               │  3. 合并写入             │                │
│                         │     从Slave读取          │               │     累积后批量写入        │                │
│                         └──────────────────────────┘               └──────────────────────────┘                │
│                                                                                                                  │
└──────────────────────────────────────────────────────────────────────────────────────────────────────────────────┘
读热点解决方案
  1. 本地缓存。本地缓存未命中时才访问Redis。
  2. 读写分离+多副本。
┌─────────────────────────────────────────────────────────────────────────────────────────────────────────────────┐
│  Redis 读写分离                                                                                                  │
└─────────────────────────────────────────────────────────────────────────────────────────────────────────────────┘

                              100万读请求/分钟
                                    │
                                    ▼
              ┌──────────────────────────────────────────────────────────────┐
              │                     读负载均衡                                │
              └──────────────────────────────────────────────────────────────┘
                    │              │              │              │
                    ▼              ▼              ▼              ▼
           ┌──────────────┐┌──────────────┐┌──────────────┐┌──────────────┐
           │  Slave-1     ││  Slave-2     ││  Slave-3     ││  Slave-4     │
           │  (只读)       ││  (只读)       ││  (只读)       ││  (只读)       │
           └──────────────┘└──────────────┘└──────────────┘└──────────────┘
                    ▲              ▲              ▲              ▲
                    │              │              │              │
                    └──────────────┴──────┬───────┴──────────────┘
                                          │ 主从复制
                                          │
                                   ┌──────────────┐
                                   │   Master     │ <─── 写请求
                                   │   (读写)      │
                                   └──────────────┘

优点:
- 读请求分散到多个Slave,线性扩展读能力
- 适合读多写少场景

缺点:
- 主从复制有延迟(毫秒级)
- 架构复杂度增加
  1. 热点Key复制(Key分片读)
┌─────────────────────────────────────────────────────────────────────────────────────────────────────────────────┐
│  热点Key复制                                                                                                     │
└─────────────────────────────────────────────────────────────────────────────────────────────────────────────────┘

原始Key:like_count:msg_001  →  单节点承受所有请求

复制为多个Key:
┌─────────────────────────────────────────────────────────────────────────────────────────────────────────────────┐
│                                                                                                                 │
│   like_count:msg_001:0  →  Node-1                                                                               │
│   like_count:msg_001:1  →  Node-2                                                                               │
│   like_count:msg_001:2  →  Node-3                                                                               │
│   like_count:msg_001:3  →  Node-4                                                                               │
│   ...                                                                                                           │
│   like_count:msg_001:N  →  Node-N                                                                               │
│                                                                                                                 │
│   读取时:随机选择一个副本Key读取                                                                                  │
│   replicaId = random.nextInt(N)                                                                                 │
│   key = "like_count:msg_001:" + replicaId                                                                       │
│                                                                                                                 │
└─────────────────────────────────────────────────────────────────────────────────────────────────────────────────┘

随机读取还是可能存在

写热点解决方案
  1. 分桶计数
┌─────────────────────────────────────────────────────────────────────────────────────────────────────────────────┐
│  分桶计数架构                                                                                                    │
└─────────────────────────────────────────────────────────────────────────────────────────────────────────────────┘

问题:100万人同时点赞,INCR like_count:msg_001 成为单点瓶颈

                              100万写请求/分钟
                                    │
                                    ▼
              ┌──────────────────────────────────────────────────────────────┐
              │                    Hash(user_id) % 100                        │
              └──────────────────────────────────────────────────────────────┘
           │          │          │          │          │          │
           ▼          ▼          ▼          ▼          ▼          ▼
    ┌──────────┐┌──────────┐┌──────────┐┌──────────┐┌──────────┐┌──────────┐
    │ bucket:0 ││ bucket:1 ││ bucket:2 ││ bucket:3 ││   ...    ││bucket:99 │
    │  INCR    ││  INCR    ││  INCR    ││  INCR    ││  INCR    ││  INCR    │
    │  =1234   ││  =1289   ││  =1256   ││  =1301   ││   ...    ││  =1278   │
    └──────────┘└──────────┘└──────────┘└──────────┘└──────────┘└──────────┘
           │          │          │          │          │          │
           └──────────┴──────────┴──────────┴──────────┴──────────┘
                                    │
                                    ▼
                          定时聚合(每秒/每分钟)
                                    │
                                    ▼
                          ┌──────────────────┐
                          │ like_count:msg_001│
                          │     = 125000     │
                          └──────────────────┘

效果:
- 100个桶,每个桶承担1万QPS
- 写压力分散到不同的Redis节点
  1. 异步写入 + 消息队列
┌─────────────────────────────────────────────────────────────────────────────────────────────────────────────────┐
│  异步写入架构                                                                                                    │
└─────────────────────────────────────────────────────────────────────────────────────────────────────────────────┘

                              100万写请求/分钟
                                    │
                                    ▼
              ┌──────────────────────────────────────────────────────────────┐
              │                     API Server                               │
              │                   (立即返回成功)                              │
              └──────────────────────────────────────────────────────────────┘
                                    │
                                    │ 发送消息(异步)
                                    ▼
              ┌──────────────────────────────────────────────────────────────┐
              │                    Kafka / RocketMQ                          │
              │                    like_topic                                │
              │               (多分区,并行消费)                               │
              └──────────────────────────────────────────────────────────────┘
                    │              │              │              │
                    ▼              ▼              ▼              ▼
           ┌──────────────┐┌──────────────┐┌──────────────┐┌──────────────┐
           │ Consumer-1   ││ Consumer-2   ││ Consumer-3   ││ Consumer-4   │
           │ Partition-0  ││ Partition-1  ││ Partition-2  ││ Partition-3  │
           └──────┬───────┘└──────┬───────┘└──────┬───────┘└──────┬───────┘
                  │               │               │               │
                  │         批量合并写入(每100条/每1秒)              │
                  │               │               │               │
                  └───────────────┴───────┬───────┴───────────────┘
                                          │
                                          ▼
                                   ┌──────────────┐
                                   │    Redis     │
                                   │   Database   │
                                   └──────────────┘

优点:
- 削峰填谷,平滑写入压力
- 支持批量合并,减少写入次数
- API快速响应,用户体验好

缺点:
- 数据有延迟(秒级)
- 需要处理消息积压
  1. 合并写入
┌─────────────────────────────────────────────────────────────────────────────────────────────────────────────────┐
│  合并写入                                                                                                        │
└─────────────────────────────────────────────────────────────────────────────────────────────────────────────────┘

原理:将多个写请求合并为一个,减少写入次数

    T0: INCR like:msg_001  →  累积 +1
    T1: INCR like:msg_001  →  累积 +2
    T2: INCR like:msg_001  →  累积 +3
    ...
    T99: INCR like:msg_001 →  累积 +100
    
    T100: 合并写入 → INCRBY like:msg_001 100  (一次写入代替100次)

┌─────────────────────────────────────────────────────────────────────────────────────────────────────────────────┐
│                                                                                                                 │
│   请求队列                             合并器                              Redis                                 │
│   ┌─────────────┐                 ┌─────────────┐                    ┌─────────────┐                            │
│   │ +1 (user_A) │                 │             │                    │             │                            │
│   │ +1 (user_B) │   ─────────>    │  累积: +100 │   ─── 每100ms ───> │ INCRBY 100  │                            │
│   │ +1 (user_C) │                 │             │                    │             │                            │
│   │ ...         │                 │             │                    │             │                            │
│   │ +1 (user_N) │                 │             │                    │             │                            │
│   └─────────────┘                 └─────────────┘                    └─────────────┘                            │
│                                                                                                                 │
└─────────────────────────────────────────────────────────────────────────────────────────────────────────────────┘
大key的读写解决方案
读大key解决方案
  1. 水平拆分
┌─────────────────────────────────────────────────────────────────────────────────────────────────────────────────┐
│  拆分大Key - 将一个大Key拆分为多个小Key                                                                           │
└─────────────────────────────────────────────────────────────────────────────────────────────────────────────────┘

原始:
┌─────────────────────────────────────────────────────────────────────────────────────────────────────────────────┐
│  Key: followers:bigV_001                                                                                        │
│  Type: Set                                                                                                      │
│  元素: [fan_001, fan_002, fan_003, ... fan_5000000]  (500万)                                                    │
│  大小: ~50MB                                                                                                    │
└─────────────────────────────────────────────────────────────────────────────────────────────────────────────────┘
                                          │
                                          ▼ 拆分
┌─────────────────────────────────────────────────────────────────────────────────────────────────────────────────┐
│  Key: followers:bigV_001:0     →  [fan_000001 ~ fan_050000]  (5万)  ~500KB                                      │
│  Key: followers:bigV_001:1     →  [fan_050001 ~ fan_100000]  (5万)  ~500KB                                      │
│  Key: followers:bigV_001:2     →  [fan_100001 ~ fan_150000]  (5万)  ~500KB                                      │
│  ...                                                                                                            │
│  Key: followers:bigV_001:99    →  [fan_4950001 ~ fan_5000000] (5万)  ~500KB                                     │
│                                                                                                                 │
│  拆分数量: 100个分片                                                                                             │
│  每个分片: 5万元素,约500KB                                                                                       │
└─────────────────────────────────────────────────────────────────────────────────────────────────────────────────┘
  1. 垂直拆分
┌─────────────────────────────────────────────────────────────────────────────────────────────────────────────────┐
│  垂直拆分 - 将大对象拆分为多个小对象,按需加载                                                                      │
└─────────────────────────────────────────────────────────────────────────────────────────────────────────────────┘

原始(大对象):
┌─────────────────────────────────────────────────────────────────────────────────────────────────────────────────┐
│  Key: feed_detail:msg_001                                                                                       │
│  Value: {                                                                                                       │
│    "feed": { "id": "msg_001", "content": "...", "user": {...} },         // 基础信息 ~1KB                        │
│    "comments": [{...}, {...}, ...],                                       // 评论列表 ~2MB                       │
│    "likeUsers": [{...}, {...}, ...],                                      // 点赞用户 ~1MB                       │
│    "shareUsers": [{...}, {...}, ...]                                      // 转发用户 ~1MB                       │
│  }                                                                                                              │
│  总大小: ~5MB                                                                                                    │
└─────────────────────────────────────────────────────────────────────────────────────────────────────────────────┘
                                          │
                                          ▼ 垂直拆分
┌─────────────────────────────────────────────────────────────────────────────────────────────────────────────────┐
│  Key: feed:msg_001:basic                →  基础信息     ~1KB   (首屏加载)                                       │
│  Key: feed:msg_001:comments             →  评论列表     ~2MB   (展开时加载)                                     │
│  Key: feed:msg_001:comments:page:1      →  评论第1页    ~20KB  (分页加载)                                       │
│  Key: feed:msg_001:comments:page:2      →  评论第2页    ~20KB                                                    │
│  Key: feed:msg_001:like_users           →  点赞用户     ~1MB   (点击时加载)                                     │
│  Key: feed:msg_001:share_users          →  转发用户     ~1MB   (点击时加载)                                     │
└─────────────────────────────────────────────────────────────────────────────────────────────────────────────────┘
  1. scan分批读取 只需检查 SCAN 返回的游标值是否为0,为0表示迭代完成。
┌─────────────────────────────────────────────────────────────────────────────────────────────────────────────────┐
│  分批读取 - 使用游标分批获取数据,避免一次性加载                                                                    │
└─────────────────────────────────────────────────────────────────────────────────────────────────────────────────┘

错误方式:
┌─────────────────────────────────────────────────────────────────────────────────────────────────────────────────┐
│  HGETALL big_hash    →  一次性返回10万个字段  →  阻塞Redis  →  网络传输慢                                         │
│  SMEMBERS big_set    →  一次性返回100万元素   →  OOM风险    →  客户端内存溢出                                      │
│  LRANGE big_list 0 -1 → 一次性返回全部元素   →  超时        →  请求失败                                           │
└─────────────────────────────────────────────────────────────────────────────────────────────────────────────────┘

正确方式:
┌─────────────────────────────────────────────────────────────────────────────────────────────────────────────────┐
│  HSCAN big_hash 0 COUNT 1000  →  每次返回约1000个字段  →  多次迭代  →  不阻塞                                      │
│  SSCAN big_set 0 COUNT 1000   →  每次返回约1000个元素  →  多次迭代  →  内存可控                                    │
│  LRANGE big_list 0 999        →  分页读取            →  多次请求  →  响应快                                       │
└─────────────────────────────────────────────────────────────────────────────────────────────────────────────────┘
  1. 压缩存储
┌─────────────────────────────────────────────────────────────────────────────────────────────────────────────────┐
│  压缩存储 - 减少Value大小                                                                                        │
└─────────────────────────────────────────────────────────────────────────────────────────────────────────────────┘

原始:5MB JSON字符串
压缩后:~500KB(压缩率约90%)

┌─────────────────────────────────────────────────────────────────────────────────────────────────────────────────┐
│                                                                                                                 │
│   原始数据 (5MB)                                                                                                 │
│   {                                                                                                             │
│     "feed": {...},                                                                                              │
│     "comments": [{...}, {...}, ...],  // 1000条评论                                                              │
│     "likeUsers": [{...}, {...}, ...], // 1000个点赞用户                                                          │
│     ...                                                                                                         │
│   }                                                                                                             │
│                                                                                                                 │
│         │                                                                                                       │
│         ▼  GZIP压缩                                                                                             │
│                                                                                                                 │
│   压缩数据 (~500KB)                                                                                              │
│   H4sIAAAAAAAAA6tWKkktLlGyUlAqS8wpTgUA8KxLFwwAAAA=                                                              │
│                                                                                                                 │
└─────────────────────────────────────────────────────────────────────────────────────────────────────────────────┘
写大key解决方案
  1. 分批写入
┌─────────────────────────────────────────────────────────────────────────────────────────────────────────────────┐
│  分批写入 - 将大量数据分批写入,避免一次性大量写入                                                                  │
└─────────────────────────────────────────────────────────────────────────────────────────────────────────────────┘

错误方式:
┌─────────────────────────────────────────────────────────────────────────────────────────────────────────────────┐
│  SADD followers:bigV_001 fan_001 fan_002 ... fan_100000   (一次性添加10万元素)                                   │
│  →  耗时长,阻塞Redis                                                                                           │
└─────────────────────────────────────────────────────────────────────────────────────────────────────────────────┘

正确方式:
┌─────────────────────────────────────────────────────────────────────────────────────────────────────────────────┐
│  第1批: SADD followers:bigV_001 fan_001 ... fan_1000      (1000个)                                              │
│  第2批: SADD followers:bigV_001 fan_1001 ... fan_2000     (1000个)                                              │
│  ...                                                                                                            │
│  第100批: SADD followers:bigV_001 fan_99001 ... fan_100000 (1000个)                                              │
│  →  每批耗时短,不阻塞Redis                                                                                      │
└─────────────────────────────────────────────────────────────────────────────────────────────────────────────────┘