GPT-1论文阅读笔记_Improving Language Understanding by Generative Pre-Training

41 阅读2分钟

诸神缄默不语-个人CSDN博文目录 诸神缄默不语的论文阅读笔记和分类

论文全名:Improving Language Understanding by Generative Pre-Training 论文下载地址:www.mikecaptain.com/resources/p…

官方博文:Improving language understanding with unsupervised learning

本文是2018年OpenAI的工作,是初代GPT的原始论文。

先用无监督数据预训练语言模型(Transformer decoder),再在有监督数据上微调(加一层prediction head,同时优化语言模型和有监督任务的损失函数) 在这里插入图片描述

1. 简介

NLU任务包括textual entailment, question answering, semantic similarity assessment, and document classification等子任务,本文测试了NLI、QA、语义相似度和文本分类4个任务。
有监督数据稀少,本文的解决方案是在语言模型上用海量无标签数据上进行generative pre-training,然后再在特定子任务上discriminative fine-tuning。
(算半监督学习)

普遍的使用无监督方法来学习语言学知识的方法,是构建预训练词嵌入来提升NLP任务的效果,这种做法有两个问题:1. 在学习文本表征中使用什么优化目标对迁移最有效,不知道。至今没有绝对优秀的方法。2. 如何利用文本表征最有效,不知道。

2. GPT-1

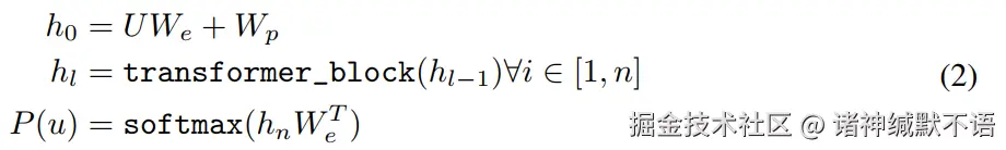
1. 无监督预训练语言模型

标准语言模型目标,最大化文本的似然: 在这里插入图片描述

kk是上下文窗口尺寸,条件概率PP,神经网络的参数Θ\Theta

本文用多层Transofmer decoder1(多头自注意力机制+position-wise前馈神经网络生成target token上的输出分布): 在这里插入图片描述 UU是token,nn是层数,WeW_e是token嵌入矩阵,WpW_p是position embedding矩阵

Transformer相比LSTM的优势体验在对长文本的处理上

2. 微调

通过输入(每个任务被转变成不同形式的输入,见figure 1)得到表征,喂进线性输出层来预测yy在这里插入图片描述

新的优化目标: 在这里插入图片描述

事实上是将两个优化目标加起来: 在这里插入图片描述

3. 实验

1. 数据集

  1. 上游预训练数据:BooksCorpus和1B Word Benchmark
  2. 下游微调数据 在这里插入图片描述

2. 下游任务指标

  1. NLI任务的实验结果在这里插入图片描述
  2. QA和常识推理的实验结果在这里插入图片描述
  3. 语义相似度和文本分类的实验结果在这里插入图片描述

3. 模型分析

  1. 层数对微调结果的影响(答案是越多越好)和预训练更新次数对zero-shot表现的影响在这里插入图片描述 (数值是经规范化后得到的)
  2. ablation study 在这里插入图片描述

Footnotes

  1. Generating Wikipedia by Summarizing Long Sequences