面试题 02.04. 分割链表

25 阅读1分钟

面试题 02.04. 分割链表

相关企业

提示

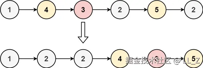
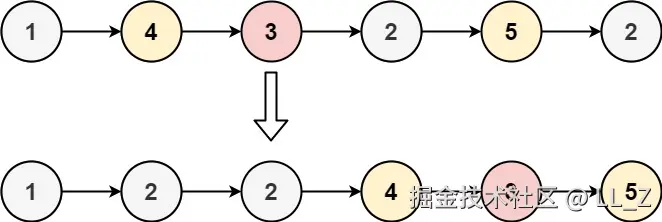
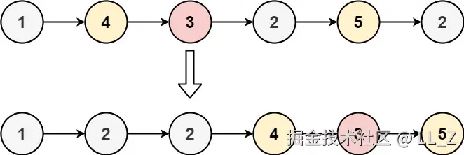
给你一个链表的头节点 head 和一个特定值 **x ,请你对链表进行分隔,使得所有 小于 x 的节点都出现在 大于或等于 x 的节点之前。

你不需要 保留 每个分区中各节点的初始相对位置。

 

示例 1:

输入: head = [1,4,3,2,5,2], x = 3
输出:[1,2,2,4,3,5]

示例 2:

输入: head = [2,1], x = 2
输出:[1,2]

 

提示:

  • 链表中节点的数目在范围 [0, 200] 内
  • -100 <= Node.val <= 100
  • -200 <= x <= 200

解题答案


/**
 * Definition for singly-linked list.
 * public class ListNode {
 *     int val;
 *     ListNode next;
 *     ListNode() {}
 *     ListNode(int val) { this.val = val; }
 *     ListNode(int val, ListNode next) { this.val = val; this.next = next; }
 * }
 */
class Solution {
    public ListNode partition(ListNode head, int x) {
        ListNode newHead = new ListNode();
        ListNode left = newHead;

        ListNode rightHead = new ListNode();
        ListNode right = rightHead;
        while (head != null) {
            if (head.val < x) {
                left.next = head;
                left = left.next;
            } else {
                right.next = head;
                right = right.next;
            }
            head = head.next;
        }

        left.next = rightHead.next;
        right.next = null;
        return newHead.next;
    }
}