LCR 171. 训练计划 V

33 阅读2分钟

LCR 171. 训练计划 V

相关企业

某教练同时带教两位学员,分别以链表 l1l2 记录了两套核心肌群训练计划,节点值为训练项目编号。两套计划仅有前半部分热身项目不同,后续正式训练项目相同。请设计一个程序找出并返回第一个正式训练项目编号。如果两个链表不存在相交节点,返回 null 。

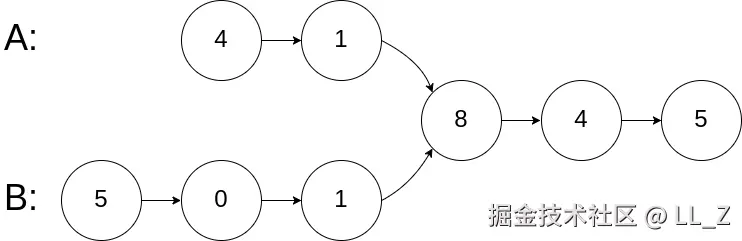
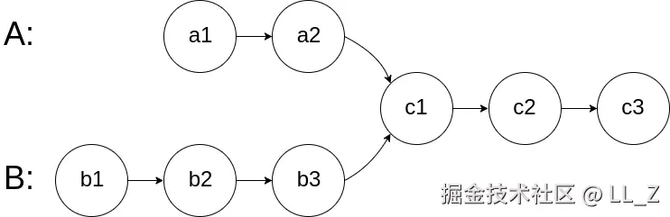
如下面的两个链表

在节点 c1 开始相交。

输入说明:

intersectVal - 相交的起始节点的值。如果不存在相交节点,这一值为 0

l1 - 第一个训练计划链表

l2 - 第二个训练计划链表

skip1 - 在 l1 中(从头节点开始)跳到交叉节点的节点数

skip2 - 在 l2 中(从头节点开始)跳到交叉节点的节点数

程序将根据这些输入创建链式数据结构,并将两个头节点 head1 和 head2 传递给你的程序。如果程序能够正确返回相交节点,那么你的解决方案将被视作正确答案 。

 

示例 1:

输入: intersectVal = 8, listA = [4,1,8,4,5], listB = [5,0,1,8,4,5], skipA = 2, skipB = 3
输出: Reference of the node with value = 8
解释: 第一个正式训练项目编号为 8 (注意,如果两个列表相交则不能为 0)。从各自的表头开始算起,链表 A[4,1,8,4,5],链表 B[5,0,1,8,4,5]。在 A 中,相交节点前有 2 个节点;在 B 中,相交节点前有 3 个节点。

 

示例 2:

输入: intersectVal = 2, listA = [0,9,1,2,4], listB = [3,2,4], skipA = 3, skipB = 1
输出: Reference of the node with value = 2
解释: 第一个正式训练项目编号为 2 (注意,如果两个列表相交则不能为 0)。从各自的表头开始算起,链表 A[0,9,1,2,4],链表 B[3,2,4]。在 A 中,相交节点前有 3 个节点;在 B 中,相交节点前有 1 个节点。

 

示例 3:

输入: intersectVal = 0, listA = [2,6,4], listB = [1,5], skipA = 3, skipB = 2
输出: null
解释: 两套计划完全不同,返回 null。从各自的表头开始算起,链表 A[2,6,4],链表 B[1,5]。由于这两个链表不相交,所以 intersectVal 必须为 0,而 skipA 和 skipB 可以是任意值。

 

注意:

  • 如果两个链表没有交点,返回 null.
  • 在返回结果后,两个链表仍须保持原有的结构。
  • 可假定整个链表结构中没有循环。
  • 程序尽量满足 O(n) 时间复杂度,且仅用 O(1) 内存。
  • 本题与主站 160 题相同:leetcode.cn/problems/in…

解题答案

/**
 * Definition for singly-linked list.
 * public class ListNode {
 *     int val;
 *     ListNode next;
 *     ListNode(int x) {
 *         val = x;
 *         next = null;
 *     }
 * }
 */
class Solution {
    ListNode getIntersectionNode(ListNode headA, ListNode headB) {
        ListNode curA = headA, curB = headB;
        while (curA != curB) {
            curA = curA == null ? headB : curA.next;
            curB = curB == null ? headA : curB.next;
        }
        return curA;
    }
}