206. 反转链表

48 阅读1分钟

206. 反转链表

相关企业

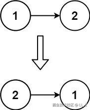
给你单链表的头节点 head ,请你反转链表,并返回反转后的链表。

 

示例 1:

输入: head = [1,2,3,4,5]
输出: [5,4,3,2,1]

示例 2:

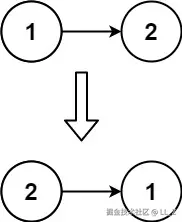
输入: head = [1,2]
输出: [2,1]

示例 3:

输入: head = []
输出: []

 

提示:

  • 链表中节点的数目范围是 [0, 5000]
  • -5000 <= Node.val <= 5000

 

进阶: 链表可以选用迭代或递归方式完成反转。你能否用两种方法解决这道题?

解题答案

/**
 * Definition for singly-linked list.
 * public class ListNode {
 *     int val;
 *     ListNode next;
 *     ListNode() {}
 *     ListNode(int val) { this.val = val; }
 *     ListNode(int val, ListNode next) { this.val = val; this.next = next; }
 * }
 */
// 迭代
class Solution {
    public ListNode reverseList(ListNode head) {
        ListNode preNode = null;
        while (head != null) {
            ListNode next = head.next;
            head.next = preNode;
            preNode = head;
            head = next;
        }
        return preNode;
    }
}


// 递归
class Solution {
    public ListNode reverseList(ListNode head) {
        if (head == null || head.next == null) return head;
        ListNode newHead = reverseList(head.next);
        head.next.next = head;
        head.next = null;
        return newHead;
    }
}