94. 二叉树的中序遍历

40 阅读1分钟

94. 二叉树的中序遍历

相关企业

给定一个二叉树的根节点 root ,返回 它的 中序 遍历 。

 

示例 1:

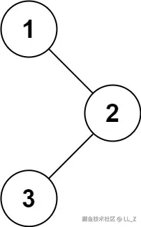
输入: root = [1,null,2,3]
输出: [1,3,2]

示例 2:

输入: root = []
输出: []

示例 3:

输入: root = [1]
输出: [1]

 

提示:

  • 树中节点数目在范围 [0, 100] 内
  • -100 <= Node.val <= 100

 

进阶: 递归算法很简单,你可以通过迭代算法完成吗?

解题答案

/**
 * Definition for a binary tree node.
 * public class TreeNode {
 * int val;
 * TreeNode left;
 * TreeNode right;
 * TreeNode() {}
 * TreeNode(int val) { this.val = val; }
 * TreeNode(int val, TreeNode left, TreeNode right) {
 * this.val = val;
 * this.left = left;
 * this.right = right;
 * }
 * }
 */
// 栈 
class Solution {
    public List<Integer> inorderTraversal(TreeNode root) {
        List<Integer> res = new ArrayList<>();
        TreeNode node = root;
        Stack<TreeNode> stack = new Stack<>();
        while (!stack.isEmpty() || node != null) {
            if (node != null) {
                stack.push(node);
                node = node.left;
            } else {
                TreeNode top = stack.pop();
                res.add(top.val);
                node = top.right;
            }
        }
        return res;
    }
}
/**
 * Definition for a binary tree node.
 * public class TreeNode {
 * int val;
 * TreeNode left;
 * TreeNode right;
 * TreeNode() {}
 * TreeNode(int val) { this.val = val; }
 * TreeNode(int val, TreeNode left, TreeNode right) {
 * this.val = val;
 * this.left = left;
 * this.right = right;
 * }
 * }
 */
// 递归
class Solution {
    public List<Integer> inorderTraversal(TreeNode root) {
        List<Integer> res = new ArrayList<>();
        inorder(root, res);
        return res;
    }

    private void inorder(TreeNode node, List<Integer> list) {
        if (node == null) return;
        inorder(node.left, list);
        list.add(node.val);
        inorder(node.right, list);
    }
}