144. 二叉树的前序遍历

34 阅读1分钟

144. 二叉树的前序遍历

相关企业

给你二叉树的根节点 root ,返回它节点值的 前序 **遍历。

 

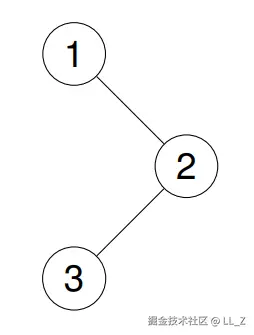
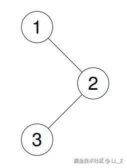
示例 1:

输入: root = [1,null,2,3]

输出: [1,2,3]

解释:

示例 2:

输入: root = [1,2,3,4,5,null,8,null,null,6,7,9]

输出: [1,2,4,5,6,7,3,8,9]

解释:

示例 3:

输入: root = []

输出: []

示例 4:

输入: root = [1]

输出: [1]

 

提示:

  • 树中节点数目在范围 [0, 100] 内
  • -100 <= Node.val <= 100

 

进阶: 递归算法很简单,你可以通过迭代算法完成吗?

解题答案

/**
 * Definition for a binary tree node.
 * public class TreeNode {
 * int val;
 * TreeNode left;
 * TreeNode right;
 * TreeNode() {}
 * TreeNode(int val) { this.val = val; }
 * TreeNode(int val, TreeNode left, TreeNode right) {
 * this.val = val;
 * this.left = left;
 * this.right = right;
 * }
 * }
 */
// 栈
class Solution {
    public List<Integer> preorderTraversal(TreeNode root) {
        List<Integer> res = new ArrayList<>();
        if (root == null) return res;
        Stack<TreeNode> stack = new Stack<>();
        stack.push(root);
        while (!stack.isEmpty()) {
            TreeNode top = stack.pop();
            res.add(top.val);
            if (top.right != null) {
                stack.push(top.right);
            }
            if (top.left != null) {
                stack.push(top.left);
            }
        }
        return res;
    }
}
// 递归
class Solution {
    public List<Integer> preorderTraversal(TreeNode root) {
        List<Integer> res = new ArrayList<>();
        preorder(root, res);
        return res;
    }

    public void preorder(TreeNode node, List<Integer> list) {
        if (node == null) {
            return;
        }
        list.add(node.val);
        preorder(node.left, list);
        preorder(node.right, list);

    }
}