145. 二叉树的后序遍历

39 阅读1分钟

145. 二叉树的后序遍历

相关企业

给你一棵二叉树的根节点 root ,返回其节点值的 后序遍历

 

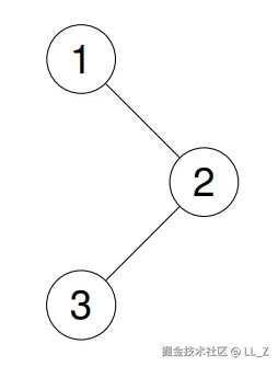
示例 1:

输入: root = [1,null,2,3]

输出: [3,2,1]

解释:

示例 2:

输入: root = [1,2,3,4,5,null,8,null,null,6,7,9]

输出: [4,6,7,5,2,9,8,3,1]

解释:

示例 3:

输入: root = []

输出: []

示例 4:

输入: root = [1]

输出: [1]

 

提示:

  • 树中节点的数目在范围 [0, 100] 内
  • -100 <= Node.val <= 100

 

进阶: 递归算法很简单,你可以通过迭代算法完成吗?

解题答案

/**
 * Definition for a binary tree node.
 * public class TreeNode {
 * int val;
 * TreeNode left;
 * TreeNode right;
 * TreeNode() {}
 * TreeNode(int val) { this.val = val; }
 * TreeNode(int val, TreeNode left, TreeNode right) {
 * this.val = val;
 * this.left = left;
 * this.right = right;
 * }
 * }
 */
class Solution {
    public List<Integer> postorderTraversal(TreeNode root) {
        List<Integer> res = new ArrayList<>();
        if (root == null) return res;
        Stack<TreeNode> stack = new Stack<>();
        stack.push(root);
        TreeNode lastPopNode = root;
        while (!stack.isEmpty()) {
            TreeNode topNode = stack.peek();
            if ((topNode.left == null && topNode.right == null) ||
                    (topNode.left == lastPopNode || topNode.right == lastPopNode)) {
                lastPopNode = stack.pop();
                res.add(lastPopNode.val);
            } else {
                if (topNode.right != null) {
                    stack.push(topNode.right);
                }
                if (topNode.left != null) {
                    stack.push(topNode.left);
                }
            }
        }
        return res;
    }
}
/**
 * Definition for a binary tree node.
 * public class TreeNode {
 *     int val;
 *     TreeNode left;
 *     TreeNode right;
 *     TreeNode() {}
 *     TreeNode(int val) { this.val = val; }
 *     TreeNode(int val, TreeNode left, TreeNode right) {
 *         this.val = val;
 *         this.left = left;
 *         this.right = right;
 *     }
 * }
 */
class Solution {
    public List<Integer> postorderTraversal(TreeNode root) {
        List<Integer> res = new ArrayList<>();
        postorder(root, res);
        return res;
    }

    private void postorder(TreeNode node, List<Integer> res) {
        if (node == null) return;
        postorder(node.left, res);
        postorder(node.right, res);
        res.add(node.val);
    }
}