数据挖掘 | 决策树ID3算法

153 阅读8分钟

ID3算法原理

ID3算法是一种用于构建决策树的经典算法。它的核心逻辑是根据 “信息增益” 来选择划分特征,通过递归的方式一步步构建决策树。简而言之,就是每次选择对分类结果最有帮助的特征来分割数据,不断重复这个过程,直到生成一棵能对数据进行分类的决策树。 1. 特征选择
特征选择指的是从数据的多个特征中,挑选出最适合作为当前节点划分标准的那个特征。

2. 
是信息理论中用来衡量系统不确定性的概念。在决策树等机器学习算法中,熵常常被用来作为划分数据集的指标,以便选择最优的划分方式。在这种情况下,熵可以用来衡量数据集的不确定性,以便选择能够降低不确定性的划分方式。

熵表示事物的混乱程度,熵越大表示混乱程度越大,越小表示混乱程度越小。对于随机事件S,如果我们知道它有N种取值情况,每种情况发生的概论为,那么这件事的熵就定义为:

image.png 其中是分类出现的概率,是分类的数目。熵的大小只和变量的概率分布有关。

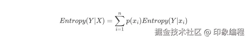
3. 条件熵

条件熵用于描述在已知一个随机变量X的条件下,另一个随机变量Y的不确定性(信息量)大小。
在给定X的每个可能取值 (Xi) 的条件下,Y的熵的加权平均,权重为X取 (Xi) 的概率 (P(Xi))。公式表示为

image.pngEntropy最大为1的时候,是分类效果最差的状态,当它最小为0的时候,是完全分类的状态。因为熵等于零是理想状态,一般实际情况下,熵介于01之间

4. 信息增益
信息增益是决策树算法中用来选择最佳划分属性的一个重要指标。在ID3算法中,期望通过选择最佳划分属性来构建决策树,对数据集进行最优的划分。

信息增益是定义是数据集的原始信息熵给定特征条件下的条件熵之差。计算每个特征值划分数据集获得的信息增益,获得信息增益最高的特征就是最好的选择。

信息增益计算的公式是:

cb0231b9e0517573dce5df4299f64fed.png

算法流程

数据挖掘-决策树-ID3.drawio

实验实现

1.实验目的
掌握ID3算法的原理,使用Python实现决策树ID3算法.

2.数据准备
数据要求:
下表显示了各种天气、温度、湿度和风速的场合下,是否进行打垒球的情况。

天气温度湿度风速活动
炎热取消
炎热取消
炎热进行
适中进行
寒冷正常进行
寒冷正常取消
寒冷正常进行
适中取消
寒冷正常进行
适中正常进行
适中正常进行
适中进行
炎热正常进行
适中取消

转换为数据集:保存为weather.csv,保存路径在与实验代码同路径即可。

天气,温度,湿度,风速,活动
晴,炎热,高,弱,取消
晴,炎热,高,强,取消
阴,炎热,高,弱,进行
雨,适中,高,弱,进行
雨,寒冷,正常,弱,进行
雨,寒冷,正常,强,取消
阴,寒冷,正常,强,进行
晴,适中,高,弱,取消
晴,寒冷,正常,弱,进行
雨,适中,正常,弱,进行
晴,适中,正常,强,进行
阴,适中,高,强,进行
阴,炎热,正常,弱,进行
雨,适中,高,强,取消

3.算法实现

读入文件数据

# 读入数据
def createDataSet(csv_path='weather.csv'):
    dataSet = []
    with open(csv_path, 'r', encoding='utf-8') as file:
        reader = csv.reader(file)
        headers = next(reader)
        for row in reader:
            if not any(row): continue
            dataSet.append(row)
    labels = headers[:-1]
    return dataSet, labels

计算信息熵
计算的是当前节点的**信息熵 **,用于后续计算信息增益。
实现逻辑:统计数据集的总样本数,统计每个类别(目标变量)的出现次数,根据熵的公式计算数据集的不确定性。

def calEnt(dataSet):
    sampleCounts = len(dataSet)
    labelCounts = {}
    for sample in dataSet:
        label = sample[-1]
        labelCounts[label] = labelCounts.get(label, 0) + 1
    Ent = 0.0
    for k in labelCounts:
        p = float(labelCounts[k]) / sampleCounts
        Ent -= p * log(p, 2)
    return Ent

划分数据集

实现逻辑:根据指定特征索引(index)和特征值(value),筛选出符合条件的样本;移除已用于划分的特征列,生成子数据集;返回子数据集(ret)。

def splitDataSet(dataSet, index, value):
    ret = []
    for sample in dataSet:
        if sample[index] == value:
            reduced = sample[:index] + sample[index + 1:]
            ret.append(reduced)
    return ret

选择最优划分特征
ID3算法的核心,通过信息增益最大化选择当前节点的最优划分特征。

实现逻辑:计算数据集的原始信息熵;遍历所有特征,统计该特征的所有唯一取值,对每个取值,划分数据集并计算条件熵;计算信息增益,选择信息增益最大的特征索引并返回。

def chooseBestFeatureToSplit(dataSet):
    featureCounts = len(dataSet[0]) - 1
    baseEnt = calEnt(dataSet)
    bestGain = 0.0
    bestIndex = -1
    for i in range(featureCounts):
        vals = [s[i] for s in dataSet]
        unique = set(vals)
        newEnt = 0.0
        for v in unique:
            sub = splitDataSet(dataSet, i, v)
            prob = len(sub) / float(len(dataSet))
            newEnt += prob * calEnt(sub)
        gain = baseEnt - newEnt
        if gain > bestGain:
            bestGain = gain
            bestIndex = i
    return bestIndex

处理叶节点
当数据集无法再划分(无特征可用或所有样本类别相同)时,通过多数投票确定叶节点的类别。
实现逻辑:统计标签列表中每个类别出现的次数;按次数降序排序,返回出现次数最多的类别。

def majorLabel(labels):
    counts = {}
    for l in labels:
        counts[l] = counts.get(l, 0) + 1
    sorted_counts = sorted(counts.items(), key=lambda x: x[1], reverse=True)
    return sorted_counts[0][0]

递归构建决策树
实现决策树的递归生长,从根节点到叶节点逐步构建完整的树结构。

def createTree(dataSet, labels):
    labelList = [s[-1] for s in dataSet]
    if labelList.count(labelList[0]) == len(labelList):
        return labelList[0]
    if len(dataSet[0]) == 1:
        return majorLabel(labelList)
    best = chooseBestFeatureToSplit(dataSet)
    bestFeat = labels[best]
    tree = {bestFeat: {}}
    subLabels = labels[:]
    del subLabels[best]
    featVals = [s[best] for s in dataSet]
    uniqueVals = set(featVals)
    for val in uniqueVals:
        tree[bestFeat][val] = createTree(splitDataSet(dataSet, best, val), subLabels[:])
    return tree

可视化
将构建好的决策树字典转换为直观的图形,便于可视化分析。

def tree_to_graphviz(tree, graph_name='DecisionTree'):
    dot = graphviz.Digraph(graph_name, format='png')

    # 设置字体为支持中文的字体
    dot.attr('node', fontsize='12', fontname='Microsoft YaHei', shape='box', style='filled', fillcolor='lightyellow')

    # 使用自增 id(保证唯一,即使相同标签多次出现)
    node_id_counter = {'n'0}

    def gen_id():
        node_id_counter['n'] += 1
        return f"n{node_id_counter['n']}"

    def recurse(node, parent_id=None, edge_label=None):
        if isinstance(node, dict):
            feat = list(node.keys())[0]
            node_id = gen_id()
            # 节点的颜色、字体、边框设置
            dot.node(node_id, label=str(feat), fillcolor='lightblue', style='filled', shape='ellipse',
                     fontname='Microsoft YaHei', fontsize='10', fontcolor='black')
            if parent_id is not None:
                dot.edge(parent_id, node_id, label=str(edge_label), fontname='Microsoft YaHei', fontsize='10',
                         fontcolor='black', color='gray')
            # 遍历分支
            for val, subtree in node[feat].items():
                recurse(subtree, parent_id=node_id, edge_label=val)
        else:
            # 叶子节点设置
            leaf_id = gen_id()
            dot.node(leaf_id, label=str(node), shape='ellipse', style='filled', fillcolor='lightgray',
                     fontname='Microsoft YaHei', fontsize='10', fontcolor='black')
            if parent_id is not None:
                dot.edge(parent_id, leaf_id, label=str(edge_label), fontname='Microsoft YaHei', fontsize='10',
                         fontcolor='black', color='gray')

    recurse(tree)
    return dot

4.实验结果

fa3c65ef-4f57-46a4-9879-f3c658badc51

image-20251108013406006

完整代码

import csv
from math import log
import os

os.environ["PATH"] += os.pathsep + "D:\Graphviz\bin"
import graphviz


# 读入数据
def createDataSet(csv_path='weather.csv'):
    dataSet = []
    with open(csv_path, 'r', encoding='utf-8') as file:
        reader = csv.reader(file)
        headers = next(reader)
        for row in reader:
            if not any(row): continue
            dataSet.append(row)
    labels = headers[:-1]
    return dataSet, labels

# 计算信息熵
def calEnt(dataSet):
    sampleCounts = len(dataSet)
    labelCounts = {}
    for sample in dataSet:
        label = sample[-1]
        labelCounts[label] = labelCounts.get(label, 0) + 1
    Ent = 0.0
    for k in labelCounts:
        p = float(labelCounts[k]) / sampleCounts
        Ent -= p * log(p, 2)
    return Ent


# 划分数据集
def splitDataSet(dataSet, index, value):
    ret = []
    for sample in dataSet:
        if sample[index] == value:
            reduced = sample[:index] + sample[index + 1:]
            ret.append(reduced)
    return ret


# 选择最优划分特征
def chooseBestFeatureToSplit(dataSet):
    featureCounts = len(dataSet[0]) - 1
    baseEnt = calEnt(dataSet)
    bestGain = 0.0
    bestIndex = -1
    for i in range(featureCounts):
        vals = [s[i] for s in dataSet]
        unique = set(vals)
        newEnt = 0.0
        for v in unique:
            sub = splitDataSet(dataSet, i, v)
            prob = len(sub) / float(len(dataSet))
            newEnt += prob * calEnt(sub)
        gain = baseEnt - newEnt
        if gain > bestGain:
            bestGain = gain
            bestIndex = i
    return bestIndex


# 处理叶节点
def majorLabel(labels):
    counts = {}
    for l in labels:
        counts[l] = counts.get(l, 0) + 1
    sorted_counts = sorted(counts.items(), key=lambda x: x[1], reverse=True)
    return sorted_counts[0][0]

# 递归构建决策树
def createTree(dataSet, labels):
    labelList = [s[-1] for s in dataSet]
    if labelList.count(labelList[0]) == len(labelList):
        return labelList[0]
    if len(dataSet[0]) == 1:
        return majorLabel(labelList)
    best = chooseBestFeatureToSplit(dataSet)
    bestFeat = labels[best]
    tree = {bestFeat: {}}
    subLabels = labels[:]
    del subLabels[best]
    featVals = [s[best] for s in dataSet]
    uniqueVals = set(featVals)
    for val in uniqueVals:
        tree[bestFeat][val] = createTree(splitDataSet(dataSet, best, val), subLabels[:])
    return tree


# ---------------- 可视化部分 ----------------
def tree_to_graphviz(tree, graph_name='DecisionTree'):
    dot = graphviz.Digraph(graph_name, format='png')

    # 设置字体为支持中文的字体
    dot.attr('node', fontsize='12', fontname='Microsoft YaHei', shape='box', style='filled', fillcolor='lightyellow')

    # 使用自增 id(保证唯一,即使相同标签多次出现)
    node_id_counter = {'n'0}

    def gen_id():
        node_id_counter['n'] += 1
        return f"n{node_id_counter['n']}"

    def recurse(node, parent_id=None, edge_label=None):
        if isinstance(node, dict):
            feat = list(node.keys())[0]
            node_id = gen_id()
            # 节点的颜色、字体、边框设置
            dot.node(node_id, label=str(feat), fillcolor='lightblue', style='filled', shape='ellipse',
                     fontname='Microsoft YaHei', fontsize='10', fontcolor='black')
            if parent_id is not None:
                dot.edge(parent_id, node_id, label=str(edge_label), fontname='Microsoft YaHei', fontsize='10',
                         fontcolor='black', color='gray')
            # 遍历分支
            for val, subtree in node[feat].items():
                recurse(subtree, parent_id=node_id, edge_label=val)
        else:
            # 叶子节点设置
            leaf_id = gen_id()
            dot.node(leaf_id, label=str(node), shape='ellipse', style='filled', fillcolor='lightgray',
                     fontname='Microsoft YaHei', fontsize='10', fontcolor='black')
            if parent_id is not None:
                dot.edge(parent_id, leaf_id, label=str(edge_label), fontname='Microsoft YaHei', fontsize='10',
                         fontcolor='black', color='gray')

    recurse(tree)
    return dot


# ---------------- 主流程 ----------------
if __name__ == '__main__':
    dataSet, labels = createDataSet('weather.csv')  # 请确保同目录下有 weather.csv
    labels_copy = labels[:]
    tree = createTree(dataSet, labels_copy)
    print("生成的决策树:\n", tree)

    dot = tree_to_graphviz(tree, graph_name='WeatherDecisionTree')

    # 保存 dot 文件
    dot_filepath = 'decision_tree.gv'
    dot.save(dot_filepath)
    print(f"dot 文件已保存为: {dot_filepath}")

    # 渲染为 png
    out = dot.render(filename='decision_tree', cleanup=True)  # 生成 decision_tree.png