Chapter 5 Ripple-Based Control Technique Part II-1

97 阅读5分钟

Chapter 5 Ripple-Based Control Technique Part II-1

5.1 Design Techniques for Enhancing Voltage Regulation Performance

这一节介绍提高Vout regulation的方法.

5.1.1 Accuracy in DC Voltage Regulation

相比电压模和电流模, COT结构简单, load transient响应快, 但Vout regulation较差, 有额外的vout ripple偏差

Vout, ripple由多方面因素决定, 包括Cout, Resr, Lesl, 而且和Vin, Vout有关. 因此可采用V2架构提升vout regulation.

5.1.2 V2 Structure for Ripple-Based Control

5.1.2.1 V2 On-Time Control

V2控制如下图所示, Vout有两条通路送到PWM比较器, 一条慢通路是vfb经过EA补偿, 保障Vout的精度. 一条快通路Vfb直接送到PWM比较器. 因此响应及时, load transient好.

V2控制是快通路Fm1和慢通路Fm2叠加到一起.

Fm1为单极点, 低DC gain传函, 慢通路Fm2如Eq 4.12, 可用type I或者type II进行补偿.

下图展示了Fm2, Fm1, ESR零点和功率级的传输函数. 通过ESR和Cout的零点补偿相位裕度.

5.1.2.2 V2 Constant-Frequency Valley-Voltage Control

Fig 5.4展示了固定频率的V2控制. Vfb和Vref产生Vea, 和Vsum进行比较. Vsum由Vramp和Vout组成. Vcmp和Vclk形成PWM, PWM在每个clock上升沿时翻高, 当Vsum>Vea时翻低, 因此PWM为固定频率, 由CLK决定.

这是电压模, 因此功率级有共轭极点. Fm1 = Fm2 = Fm, 系统传输函数为

5.1.3 V2 On-Time Control with an Additional Ramp or Current Feedback Path

通过采用额外的ramp信息和电流反馈信息可提高系统稳定性, 配合快环+慢环, 在保证Vout精度下, 增加load transient速度. ramp和电流模的V2控制如下图 Fig 5.6和Fig 5.7所示.

5.1.4 Compensator for V2 Structure with Small RESR

5.1.4.1 Type-III Compensator for Realizing V2 Control with Small RESR

对于小ESR情况, ESR和Cout提供的零点在很高频, 因此需要Type III补偿来提供两个零点. 带Type III补偿的COT和固定频率结构如下.

Type III补偿电路如下图所示, Type III产生了DC极点+两低频零点+两高频极点. wp2高频极点常放在fsw的一半, 或者GBW的十倍频处.

V2 Type III包括三个通路, 快通路1经过Type III的电容, 为High-Pass Filter, 包含了电感电流信息 (确保稳定性). 慢通路1 经过EA, 确保Vout的精度. 快通路2通过R3,R4反应Vout的变化, 提高瞬态响应速度.

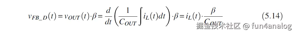
5.1.4.3 Differentiator for V2 Structure with Small RESR

对于小ESR的Cout, 可通过取Vout的微分, 获得电感电流iL信息, 如下图所示

Vfb_D为

beta= R2/(R1+R2)

5.1.4.4 Equivalent Type-III Compensator for V2 Control with Small RESR

结合微分器+Type I,II补偿的V2控制如下图所示. 微分器为high-pass filter, 实际中可视为带通滤波器, 即B(s). 需要确保零点能提供phase lead. A(s)为补偿器, 分为Type I和II. 微分器能提高系统稳定性, 但高频极点限制了带宽.

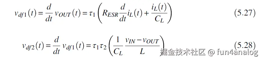
5.1.5 Ripple-Based Control with Quadratic Differential and Integration Technique if Small RESR is Used

quadratic differential and integration (QDI) 先微分两次, 再积分用于V2控制如下图所示

传统V2, 微分器, QDI结构如下图所示

送到CMP的信号Vfa_a,b,c对比如下图所示. 对于大ESR, Vout信号和iL信号相同, 因此Vfa_a的信号和iL相同.

微分器可用下面电路实现

Fig 5.20 微分功能如下

Fig 5.21 微分功能如下, 其中RD是VCVS的输出阻抗.

5.1.5.1 Stability Analysis

带二次微分积分QDI的V2控制小信号图如下

Loop Gain为

5.1.5.2 Circuit Implementation of QDI

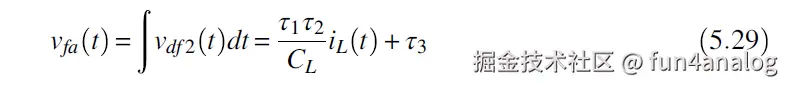
quadratic differential and integration (QDI) 二次微分积分的电路实现如下图所示.

包括两个VCCS微分器. Vdf1为Vout的一次微分, Vdf2为Vout的两次微分. 因此vdf2只有电感电流斜率信息了

Vfa对Vdf2进行积分, 获得电感电流信息.

Vdri=1, 导通周期内电流经过M7. Vdri=0, 关断周期内电流经过M8. Vfa的传输函数均正比于电感电流iL.

iL, Vout, Vdf1, Vdf2, Vfa的波形如下图所示

5.1.6 Robust Ripple Regulator (R3)

基于纹波控制的优点是瞬态响应速度快. COT根据负载调节off-time, 从而调解频率. 在轻载跳重载, off-time减少, 增加频率, 提高响应速度. 重载跳轻载, off-time增加, 进入DCM, 进一步降低频率, 从而提高轻载效率. 但是当在on-time期间进行了负载跳变, COT的on-time是由Vin和Vout决定了, 没办法根据负载动态调整on-time. 一些基于纹波的控制能提高performance.

Hysteresis control迟滞控制能灵活调节on-time和off-time. 缺点是Vout 纹波大, 迟滞窗口越小, noise margin越小, 在小ESR下, 系统可能不稳定. 迟滞控制频率不固定, 多相工作时很难分频.

可以考虑采样电感电流, 对iL进行迟滞控制, 即current-ripple-based (CRB). 缺点是Vout floating, regulation差. 因此需要额外的Vout电压环路. 如下图所示. Rsen采样电感电流, 生成Vsen. 和Vout与Vref产生的Vea,L和Vea,H进行比较产生PWM波形, Vea,H=Vea,L+Vhys. Vea,L可用三型补偿. CRB频率仍然不确定, 因此多相interleaving难. 另外在芯片内全周期采样电流较为困难.

轻载-重载跳变波形如下图所示. Vea,L由Vout即负载决定, 灵活可变. on-time, off-time和开关周期A~E都可以随着负载跳变发生变化, 因此load transient性能更好.

为了去除开关噪声, 采样LX和Vout, 通过gm和Cripple, 得到伪电感电流波形Vsen. 在frequency dmian, Cripple产生低频零点来补偿LC双极点系统, 因此系统称为单极点系统. 响应速度能达到COT.