【机器学习与实战】分类与聚类算法:K-Means聚类分析-03模型评估

122 阅读4分钟

配套视频课程:www.bilibili.com/video/BV1iS…

【机器学习与实战】分类与聚类算法:K-Means聚类分析-03模型评估

一、模型评估

知道模型评估中的SSE、“肘”部法、SC系数和CH系数的实现原理

1、误差平方和

误差平方和(SSE \The sum of squares due to error)具体概念通过如下举例介绍:

举例:

(下图中数据-0.2, 0.4, -0.8, 1.3, -0.7, 均为真实值和预测值的差)

1.jpeg

在k-means中的应用:

2.jpeg 公式各部分内容:

3.jpeg

上图中: k=2

  • SSE图最终的结果,对图松散度的衡量. (eg: SSE(左图)<SSE(右图) )
  • SSE随着聚类迭代,其值会越来越小,直到最后趋于稳定:

4.gif

如果质心的初始值选择不好,SSE只会达到一个不怎么好的局部最优解。

5.gif

2、“肘”方法

“肘”方法 (Elbow method) 主要是用于确定聚类算法中的K值,具体流程如下:

6.jpeg

(1)对于n个点的数据集,迭代计算k from 1 to n,每次聚类完成后计算每个点到其所属的簇中心的距离的平方和;

(2)在这个平方和变化过程中,会出现一个拐点也即“肘”点,下降率突然变缓时即认为是最佳的k值

在决定什么时候停止训练时,肘形判据同样有效,数据通常有更多的噪音,在增加分类无法带来更多回报时,我们停止增加类别

3、轮廓系数法

轮廓系数法(Silhouette Coefficient)结合了聚类的凝聚度(Cohesion)和分离度(Separation),用于评估聚类的效果:

7.jpeg

目的:

内部距离最小化,外部距离最大化

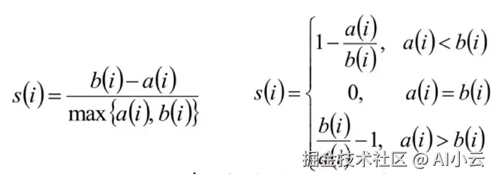
8.jpeg

计算样本i到同簇其他样本的平均距离ai,ai 越小样本i的簇内不相似度越小,说明样本i越应该被聚类到该簇。

计算样本i到最近簇Cj 的所有样本的平均距离bij,称样本i与最近簇Cj 的不相似度,定义为样本i的簇间不相似度:bi =min{bi1, bi2, …, bik},bi越大,说明样本i越不属于其他簇。

求出所有样本的轮廓系数后再求平均值就得到了平均轮廓系数

平均轮廓系数的取值范围为[-1,1],系数越大,聚类效果越好。

簇内样本的距离越近,簇间样本距离越远

案例:

下图是500个样本含有2个feature的数据分布情况,我们对它进行SC系数效果衡量:

9.jpeg

n_clusters = 2 The average silhouette_score is : 0.7049787496083262

n_clusters = 3 The average silhouette_score is : 0.5882004012129721

n_clusters = 4 The average silhouette_score is : 0.6505186632729437

n_clusters = 5 The average silhouette_score is : 0.56376469026194

n_clusters = 6 The average silhouette_score is : 0.4504666294372765

n_clusters 分别为 2,3,4,5,6时,SC系数如下,是介于[-1,1]之间的度量指标:

每次聚类后,每个样本都会得到一个轮廓系数,当它为1时,说明这个点与周围簇距离较远,结果非常好,当它为0,说明这个点可能处在两个簇的边界上,当值为负时,暗含该点可能被误分了。

从平均SC系数结果来看,K取3,5,6是不好的,那么2和4呢?

k=2的情况:

10.jpeg

k=4 的情况:

11.jpeg

n_clusters = 2 时,第0簇的宽度远宽于第1簇;

n_clusters = 4 时,所聚的簇宽度相差不大,因此选择K=4,作为最终聚类个数。

4、CH系数

CH系数(Calinski-Harabasz Index)追求的是:类别内部数据的协方差越小越好,类别之间的协方差越大越好(换句话说:类别内部数据的距离平方和越小越好,类别之间的距离平方和越大越好)。

这样的Calinski-Harabasz分数s会高,分数s高则聚类效果越好。

12.jpeg

tr为矩阵的迹, Bk为类别之间的协方差矩阵,Wk为类别内部数据的协方差矩阵;

m为训练集样本数,k为类别数。

13.jpeg

使用矩阵的迹进行求解的理解:

矩阵的对角线可以表示一个物体的相似性

在机器学习里,主要为了获取数据的特征值,那么就是说,在任何一个矩阵计算出来之后,都可以简单化,只要获取矩阵的迹,就可以表示这一块数据的最重要的特征了,这样就可以把很多无关紧要的数据删除掉,达到简化数据,提高处理速度。

CH需要达到的目的:

用尽量少的类别聚类尽量多的样本,同时获得较好的聚类效果。