链表(linked list)是一种线性数据结构,其中的每个元素都是一个节点对象,各个节点通过“引用”相连接。引用记录了下一个节点的内存地址,通过它可以从当前节点访问到下一个节点。
链表的组成单位是节点(node)对象。每个节点都包含两项数据:节点的“值”和指向下一节点的“引用”。
- 链表的首个节点被称为“头节点”,最后一个节点被称为“尾节点”。
- 尾节点指向的是“空”
相同数据量下,链表比数组占用更多的内存空间。
学习链表最重要的是 多画图多练习 :
- 确定解题的数据结构:单链表、双链表或循环链表等
- 确定解题思路:如何解决问题
- 画图实现:画图可以帮助我们发现思维中的漏洞(一些思路不周的情况)
- 确定边界条件:思考解题中是否有边界问题以及如何解决
/* 链表节点类 */
class ListNode {
constructor(val, next) {
this.val = (val === undefined ? 0 : val); // 节点值
this.next = (next === undefined ? null : next); // 指向下一节点的引用
}
}
链表常用操作
初始化链表、插入节点、删除节点、访问节点、查找节点
- 建立链表分为两步,第一步是初始化各个节点对象,第二步是构建节点之间的引用关系。
- 只需改变两个节点引用(指针)即可,时间复杂度为
- 在链表中删除节点也非常方便,只需改变一个节点的引用(指针)即可
- 在链表中访问节点的效率较低。时间复杂度为
/* 初始化链表 1 -> 3 -> 2 -> 5 -> 4 */
// 初始化各个节点
const n0 = new ListNode(1);
const n1 = new ListNode(3);
const n2 = new ListNode(2);
const n3 = new ListNode(5);
const n4 = new ListNode(4);
// 构建节点之间的引用
n0.next = n1;
n1.next = n2;
n2.next = n3;
n3.next = n4;
/* 在链表的节点 n0 之后插入节点 P */
function insert(n0, P) {
const n1 = n0.next;
P.next = n1;
n0.next = P;
}
/* 删除链表的节点 n0 之后的首个节点 */
function remove(n0) {
if (!n0.next) return;
// n0 -> P -> n1
const P = n0.next;
const n1 = P.next;
n0.next = n1;
}
/* 访问链表中索引为 index 的节点 */
function access(head, index) {
for (let i = 0; i < index; i++) {
if (!head) {
return null;
}
head = head.next;
}
return head;
}
/* 在链表中查找值为 target 的首个节点 */
function find(head, target) {
let index = 0;
while (head !== null) {
if (head.val === target) {
return index;
}
head = head.next;
index += 1;
}
return -1;
}
数组 vs 链表
常见链表类型
常见的链表类型包括三种。
- 单向链表:单向链表的节点包含值和指向下一节点的引用两项数据。我们将首个节点称为头节点,将最后一个节点称为尾节点,尾节点指向空
None。 - 环形链表:如果我们令单向链表的尾节点指向头节点(首尾相接),则得到一个环形链表。在环形链表中,任意节点都可以视作头节点。
- 双向链表:与单向链表相比,双向链表记录了两个方向的引用。双向链表的节点定义同时包含指向后继节点(下一个节点)和前驱节点(上一个节点)的引用(指针)。相较于单向链表,双向链表更具灵活性,可以朝两个方向遍历链表,但相应地也需要占用更多的内存空间。
单链表

单链表结构:
function List () {
// 节点
let Node = function (element) {
this.element = element
this.next = null
}
// 初始头节点为 null
let head = null
// 链表长度
let length = 0
// 操作
this.getList = function() {return head}
this.search = function(list, element) {}
this.append = function(element) {}
this.insert = function(position, element) {}
this.remove = function(element){}
this.isEmpty = function(){}
this.size = function(){}
}
添加节点
初始化一个节点(待追加节点),遍历到链尾,在尾节点后插入该节点
画图实现:

确定边界条件: 当链表为 null ,直接将 head 指向待插入节点,不需要遍历
function append (element) {
let node = new Node(element),
p = head
if (!head){
head = node
} else {
while (p.next) {
p = p.next
}
p.next = node
}
length += 1
}
// 测试
let list = new List()
for(let i = 0; i < 5; i+=1) {
list.append(i)
}
查找节点
确定解题思路: 遍历单链表,判断节点值是否等于待查找值,相等则返回 true ,否则继续遍历下一个节点,直到遍历完整个链表还未找到,则返回 false
确定边界条件: 当链表为 null ,可直接返回 false
// 判断链表中是否存在某节点
function search(element) {
let p = head
if (!p) return false
while(p) {
if (p.element === element) return true
p = p.next
}
return false
}
// 测试
list.search(4) // true
list.search(11) // false
插入节点
初始化一个节点(待插入节点 node ),遍历到 position 前一个位置节点,在该节点后插入 node

确定边界条件:
- 当
position为0时,直接将插入节点node.next指向head,head指向node即可,不需要遍历 - 当待插入位置
position < 0或超出链表长度position > length,都是有问题的,不可插入,此时直接返回null,插入失败
// 插入 position 的后继节点
function insert (position, element) {
// 创建插入节点
let node = new createNode(element)
if (position >= 0 && position <= length) {
let prev = head,
curr = head,
index = 0
if(position === 0) {
node.next = head
head = node
} else {
while(index < position) {
prev = curr
curr = curr.next
index ++
}
prev.next = node
node.next = curr
}
length += 1
} else {
return null
}
}
// 测试
list.insert(10)
删除节点
遍历单链表,找到待删除节点,删除

当链表为 null ,直接返回
// 删除值为 element 节点
function remove (element) {
let p = head, prev = head
if(!head) return
while(p) {
if(p.element === element) {
p = p.next
prev.next = p
} else {
prev = p
p = p.next
}
}
}
复杂度分析
查找:从头节点开始查找,时间复杂度为 O(n)
插入或删除:在某一节点后插入或删除一个节点(后继节点)的时间复杂度为 O(1)
双链表
顾名思义,单链表只有一个方向,从头节点到尾节点,那么双链表就有两个方向,从尾节点到头节点:

function DoublyLinkedList() {
let Node = function(element) {
this.element = element
// 前驱指针
this.prev = null
// 后继指针
this.next = null
}
// 初始头节点为 null
let head = null
// 新增尾节点
let tail = null
// 链表长度
let length = 0
// 操作
this.search = function(element) {}
this.insert = function(position, element) {}
this.removeAt = function(position){}
this.isEmpty = function(){ return length === 0 }
this.size = function(){ return length }
}
插入节点
初始化一个节点(待插入节点 node ),遍历链表到 position 前一个位置节点,在该节点位置后插入 node

当待插入位置 position < 0 或超出链表长度 position > length ,都是有问题的,不可插入,此时直接返回 null ,插入失败
// 插入 position 的后继节点
function insert (position, element) {
// 创建插入节点
let node = new Node(element)
if (position >= 0 && position < length) {
let prev = head,
curr = head,
index = 0
if(position === 0) {
// 在第一个位置添加
if(!head) { // 注意这里与单链表不同
head = node
tail = node
} else {
// 双向
node.next = head
head.prev = node
// head 指向新的头节点
head = node
}
} else if(position === length) {
// 插入到尾节点
curr = tial
curr.next = node
node.prev = curr
// tail 指向新的尾节点
tail = node
} else {
while(index < position) {
prev = curr
curr = curr.next
index ++
}
// 插入到 prev 后,curr 前
prev.next = node
node.next = curr
curr.prev = node
node.prev = prev
}
length += 1
return true
} else {
return false
}
}
// 测试
list.insert(10)
删除节点
遍历双链表,找到待删除节点,删除

当链表为 null ,直接返回
// 删除 position 位置的节点
function removeAt (position) {
if (position >= 0 && position < length && length > 0) {
let prev = head,
curr = head,
index = 0
if(position === 0) {
// 移除头节点
if(length === 1) { // 仅有一个节点
head = null
tail = null
} else {
head = head.next
head.prev = null
}
} else if(position === length-1) {
// 移除尾节点
curr = tial
tail = curr.prev
tail.next = null
} else {
while(index < position) {
prev = curr
curr = curr.next
index ++
}
// 移除curr
prev.next = curr.next
curr.next.prev = prev
}
length -= 1
return curr.element
} else {
return null
}
}
查找节点
双链表的查找和单链表类似,都是遍历链表,找到返回 true,找不到返回 false 。
复杂度分析
查找:查找前驱节点或后继节点时间复杂度为 O(1),其它节点仍为 O(n)
插入或删除:插入或删除前驱节点或后继节点的时间复杂度都为 O(1)
循环单链表
循环单链表是一种特殊的单链表,它和单链表的唯一区别是:单链表的尾节点指向的是 NULL,而循环单链表的尾节点指向的是头节点,这就形成了一个首尾相连的环:

既然有循环单链表,当然也有循环双链表,循环双链表和双链表不同的是:
- 循环双链表的
tail.next(tail的后继指针) 为null,循环双链表的tail.next为head - 循环双链表的
head.prev(head的前驱指针) 为null,循环双链表的head.prev为tail
这里以循环单列表为例
function CircularLinkedList() {
let Node = function(element) {
this.element = element
// 后继指针
this.next = null
}
// 初始头节点为 null
let head = null
// 链表长度
let length = 0
// 操作
this.search = function(element) {}
this.insert = function(positon, element) {}
this.removeAt = function(position){}
this.isEmpty = function(){ return length === 0 }
this.size = function(){ return length }
}
插入节点
初始化一个节点(待插入节点 node ),遍历到 position 前一个位置节点,在该节点后插入 node

- 当
position为0时,需要遍历到尾节点,然后在尾节点后插入节点 , 并将head指向 - 当待插入位置
position < 0或超出链表长度position > length,都是有问题的,不可插入,此时直接返回null,插入失败
// 插入 position 的后继节点
function insert (position, element) {
// 创建插入节点
let node = new createNode(element)
if (position >= 0 && position <= length) {
let prev = head,
curr = head,
index = 0
if(position === 0) {
// 与单链表插入不同的
while(index < length) {
prev = curr
curr = curr.next
index ++
}
prev.next = node
node.next = curr
head = node
} else {
while(index < position) {
prev = curr
curr = curr.next
index ++
}
prev.next = node
node.next = curr
}
length += 1
} else {
return null
}
}
// 测试
list.insert(10)
查找节点
和单链表类似,唯一不同的是:循环单链表的循环结束条件为 index++ < length
// 判断链表中是否存在某节点
function search(element) {
if (!head) return false
let p = head, index = 0
// 和单链表的不同所在
while(index++ < length) {
if (p.element === element) return true
p = p.next
}
return false
}
// 测试
list.search(4) // true
list.search(11) // false
删除节点
和单链表类似,唯一不同的是:循环单链表的循环结束条件为 index++ < length
// 删除值为 element 节点
function remove (element) {
let p = head, prev = head, index = 0
// 空链表
if(!head || ) return
// 仅有一个节点且element一致
if(length === 1 && head.element === element){
head = null
length--
return
}
while(index++ < length) {
if(p.element === element) {
p = p.next
prev.next = p
length --
} else {
prev = p
p = p.next
}
}
}
复杂度分析
查找:循环链表从任一节点开始查找目标节点,时间复杂度为 O(n)
插入或删除:它和单链表一样,后继节点插入及删除的时间复杂度为 O(1)
链表典型应用
单向链表通常用于实现栈、队列、哈希表和图等数据结构。
- 栈与队列:当插入和删除操作都在链表的一端进行时,它表现的特性为先进后出,对应栈;当插入操作在链表的一端进行,删除操作在链表的另一端进行,它表现的特性为先进先出,对应队列。
- 哈希表:链式地址是解决哈希冲突的主流方案之一,在该方案中,所有冲突的元素都会被放到一个链表中。
- 图:邻接表是表示图的一种常用方式,其中图的每个顶点都与一个链表相关联,链表中的每个元素都代表与该顶点相连的其他顶点。
双向链表常用于需要快速查找前一个和后一个元素的场景。
- 高级数据结构:比如在红黑树、B 树中,我们需要访问节点的父节点,这可以通过在节点中保存一个指向父节点的引用来实现,类似于双向链表。
- 浏览器历史:在网页浏览器中,当用户点击前进或后退按钮时,浏览器需要知道用户访问过的前一个和后一个网页。双向链表的特性使得这种操作变得简单。
- LRU 算法:在缓存淘汰(LRU)算法中,我们需要快速找到最近最少使用的数据,以及支持快速添加和删除节点。这时候使用双向链表就非常合适。
环形链表常用于需要周期性操作的场景,比如操作系统的资源调度。
- 时间片轮转调度算法:在操作系统中,时间片轮转调度算法是一种常见的 CPU 调度算法,它需要对一组进程进行循环。每个进程被赋予一个时间片,当时间片用完时,CPU 将切换到下一个进程。这种循环操作可以通过环形链表来实现。
- 数据缓冲区:在某些数据缓冲区的实现中,也可能会使用环形链表。比如在音频、视频播放器中,数据流可能会被分成多个缓冲块并放入一个环形链表,以便实现无缝播放。
链表面试题
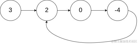
给定一个链表,判断链表中是否有环。
为了表示给定链表中的环,我们使用整数 pos 来表示链表尾连接到链表中的位置(索引从 0 开始)。 如果 pos 是 -1,则在该链表中没有环。
示例 1:
输入:head = [3,2,0,-4], pos = 1输出:true解释:链表中有一个环,其尾部连接到第二个节点。

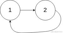
示例 2:
输入:head = [1,2], pos = 0输出:true解释:链表中有一个环,其尾部连接到第一个节点。

示例 3:
输入:head = [1], pos = -1输出:false解释:链表中没有环。

表记法
给每个已遍历过的节点加标志位,遍历链表,当出现下一个节点已被标志时,则证明单链表有环
let hasCycle = function(head) {
while(head) {
if(head.flag) return true
head.flag = true
head = head.next
}
return false
};
时间复杂度:O(n)
空间复杂度:O(n)
利用 JSON.stringify() 不能 序列化 含有循环引用的结构
let hasCycle = function(head) {
try{
JSON.stringify(head);
return false;
}
catch(err){
return true;
}
};
时间复杂度:O(n)
空间复杂度:O(n)
快慢指针(双指针法)
设置快慢两个指针,遍历单链表,快指针一次走两步,慢指针一次走一步,如果单链表中存在环,则快慢指针终会指向同一个节点,否则直到快指针指向 null 时,快慢指针都不可能相遇
let hasCycle = function(head) {
if(!head || !head.next) {
return false
}
let fast = head.next.next, slow = head.next
while(fast !== slow) {
if(!fast || !fast.next) return false
fast = fast.next.next
slow = slow.next
}
return true
};