第一章行列式第四课:行列式的性质

67 阅读1分钟

学了忘,忘了学,学了还得忘!

忘了学,学了忘,忘了还得学!

行列式性质

转置行列式

在这里插入图片描述 把行列式的第一行转置成第一列,使用在这里插入图片描述表示 在这里插入图片描述 如果在转置一下: 在这里插入图片描述

性质一

在这里插入图片描述行列地位相同,对行性质,对列性质

性质二

交换D的两行(列),D值变符号

在这里插入图片描述

性质三

用k乘以D的某一行所有元素,等于用k乘以D 在这里插入图片描述 例: 在这里插入图片描述 推论: D的某一行(列)元素都有公因子k,k外提一次 推论: D的所有行的所有元素均有公因子k,k外提n次 推论: D的两行(列)对应成比例,D=0

性质四

D的某一行均为两数之和,则可表示成两个行列式的和(其余行保持不动,照抄)

行列式性质(用的最频繁的)

将行列式的某一行(列),乘以一个数k加到另一行上去,行列式的值不变

例: 在这里插入图片描述 解析: 在这里插入图片描述

对称行列式

在这里插入图片描述 (1)在这里插入图片描述

(2)对称行列式主对角线元素可以为任意数

反对称行列式

在这里插入图片描述 (1)在这里插入图片描述

(2)主对角线元素全为0

奇数阶反对称行列式的值为0

问题: 行列式D = 0,那么①②③必有一个成立?这句话是错误的) 在这里插入图片描述

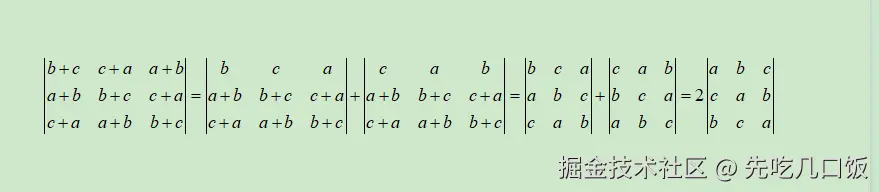
习题: 求证: 在这里插入图片描述 解析: 在这里插入图片描述

如果对你有用,请观看下集呦,会了没?没会继续看!!! 来源: 《线性代数》教学视频 宋浩老师