删除链表的倒数第N个节点

52 阅读1分钟

19.删除链表的倒数第N个节点

力扣题目链接(opens new window)

给你一个链表,删除链表的倒数第 n 个结点,并且返回链表的头结点。

进阶:你能尝试使用一趟扫描实现吗?

示例 1:

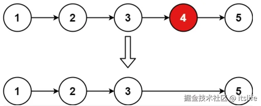
19.删除链表的倒数第N个节点

输入:head = [1,2,3,4,5], n = 2 输出:[1,2,3,5]

示例 2:

输入:head = [1], n = 1 输出:[]

示例 3:

输入:head = [1,2], n = 1 输出:[1]

解法

这道题运用双指针,将一个指针先走 n 步,然后两个指针同时走,当先走的指针走到最后一个节点时,后走的指针则刚好停在需要删除的节点的前一个节点上,最后执行删除操作即可。

截屏2025-09-02 16.16.29.png

代码

function removeNthFromEnd(head: ListNode | null, n: number): ListNode | null {
    if(head === null) {
        return null
    }
    let dummyHead = new ListNode(0, head)
    let pre = dummyHead
    let cur = dummyHead
    for(let i = 0; i < n; i++) {
        cur = cur.next
    }

    while(cur.next) {
        pre = pre.next
        cur = cur.next
    }

    pre.next = pre.next.next

    return dummyHead.next
};