一文理解 PPO 的核心机制与大模型中的应用

446 阅读4分钟

📚 微调系列文章

一文了解微调技术的发展与演进
一文搞懂 LoRA 如何高效微调大模型
LoRA详细步骤解析 一文搞懂如何用 QLoRA 高效微调大语言模型
一文理解 AdaLoRA 动态低秩适配技术
一文理解提示微调(Prefix Tuning/Prompt Tuning/P Tuning)

随着大模型能力不断提升,单纯依赖监督微调难以满足复杂的人类偏好需求。强化学习,尤其是 PPO(Proximal Policy Optimization),成为调优模型生成行为提升输出质量对齐性的关键技术。

阅读本文时,请带着这三个问题思考:

  1. PPO 为什么成为强化学习中的主流算法?
  2. PPO 的核心原理和算法流程是什么?
  3. 在大模型微调中如何有效应用 PPO?

所有相关源码示例、流程图、模型配置与知识库构建技巧,我也将持续更新在Github:LLMHub,欢迎关注收藏!


一、PPO 背景与意义

强化学习通过奖励信号优化策略,适合训练生成模型以符合复杂目标。然而传统强化学习算法如 TRPO 复杂难调,训练不稳定。

PPO是OpenAI 2017年提出的一种强化学习算法,简化了约束策略更新的方式,保证训练稳定且高效,广泛应用于大模型的 RLHF 微调阶段。


二、PPO 的核心原理与流程

我们在上学的时候,如果老师采取非常极端的教学方式,有时候极度表扬,有时候又极度训斥,是不是容易让我们产生厌学的情绪,一个好的老师是会使用温和的教学方式,每次指导学生进步一点点。PPO的核心思想也就类似温和的老师,它认为在更新模型的生成策略时,更新的步伐不应该过大。

1. 代理策略与旧策略

PPO 维护两个策略:当前策略(agent)和旧策略


训练时用采集的数据估计策略改变量,限制新旧策略的差异,防止训练“跳变”过大导致性能崩溃。

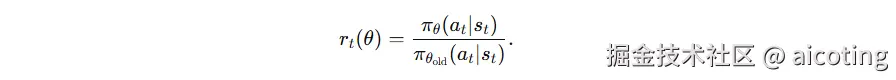
为了在不重复交互的前提下评估新策略表现,引入概率比率

这个比率告诉我们:在新策略下,样本中这些动作“应不应该被更鼓励”。

2. 剪切目标函数(Clipped Objective)

PPO 引入剪切函数限制策略概率比率(ratio)在 [1-ε, 1+ε] 之间波动,平衡探索与稳定。


目标函数为 clipped surrogate objective,避免更新幅度过大。

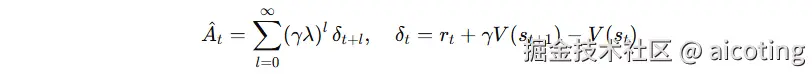
3.优势函数

优势 At 衡量“该动作比平均策略好多少”。PPO 通常用 GAE(λ)

  • γ:折扣因子(长期回报权重)
  • λ:偏差-方差折中(0 更“短视”、1 更“长视”)
  • 实操里对 A^ 做均值方差归一化,提升数值稳定。

4. 算法步骤

  • 采集行为数据(模型生成文本及奖励)
  • 计算优势函数(Advantage Estimate)
  • 优化 clipped 目标函数更新策略参数
  • 多次迭代,确保策略逐步提升

三、PPO 的示例代码

# 初始化 policy πθ 和 value function Vϕ
for iteration in training_steps:
    trajectories = collect_data(policy=πθ, env=environment)
    
    # 计算优势函数 A(s, a)
    advantages = compute_advantages(trajectories, Vϕ)

    # PPO 目标函数
    ratio = πθ(a|s) / πθ_old(a|s)
    clipped = clip(ratio, 1 - ε, 1 + ε) * advantages
    loss_policy = -min(ratio * advantages, clipped)

    # 更新策略和价值函数
    θ = θ - lr * ∇loss_policy
    ϕ = update_value_function(trajectories, Vϕ)

四、PPO 的优势与挑战

优势

  • 训练稳定,收敛快,易于实现。
  • 适应性强,能处理复杂的连续动作空间。
  • 成为强化学习领域标配,社区支持丰富。

挑战

  • 超参数较多,需要精细调优。
  • 计算资源消耗较大,训练成本高。
  • 训练过程对奖励模型质量依赖强。

五、PPO使用建议

  • 合理选择剪切阈值 ε 和 KL 惩罚系数,保证训练平滑。
  • 结合监督预训练模型进行初始化,提升训练效率。
  • 监控训练指标,防止奖励过拟合和模式坍缩。
  • 配合高质量人类偏好数据,确保训练信号有效。

最后我们回答一下文章开头提出的三个问题:

  1. PPO 为什么成为强化学习中的主流算法?
    因为它设计了简单而有效的策略更新约束,平衡了训练稳定性和性能提升,解决了传统算法难调的难题。
  2. PPO 的核心原理和算法流程是什么?
    通过剪切目标函数限制策略更新步幅,采用优势函数估计,多轮迭代优化策略,稳健提升性能。
  3. 在大模型微调中如何有效应用 PPO?
    利用奖励模型作为反馈,结合 KL 散度约束,细致调参和监控,确保模型生成更符合人类期望。

关于深度学习和大模型相关的知识和前沿技术更新,请关注公众号coting!

以上内容部分参考了相关开源文档与社区资料。非常感谢,如有侵权请联系删除!