Chapter 4 Ripple-Based Control Technique Part I-2

116 阅读10分钟

Chapter 4 Ripple-Based Control Technique Part I

4.2 Stability Criterion of On-Time Controlled Buck Converter

在上述控制中, constant on-time是最受欢迎的, 因为其快瞬态响应和高效率. 我们会讨论constant on-time的稳定性. 和PWM控制类似, constant frequency control可能产生次斜坡震荡, 可加入slope compensation解决.

4.2.1 Derivation of the Stability Criterion

输出电容Cout由ESL, ESR和Cout组成, 电感电流产生不同纹波, 如下图所示

固定Cout保持不变, Fig 4.16(a), ESR和ESL小, Cout大, 减小了Vout纹波. 通过微分Vout, 更难得到电感电流信息, noise immunity差. 即用大Cout减小Vout纹波, 和得到电感电流信息相矛盾. (b)中小ESR, 大ESL, Vout纹波由ESL决定, 受ESL影响, 通过微分Vout方法来得到电感电流信息更困难. (c)中大ESR, 小ESL, Vout纹波由ESR*iL决定. (d)大ESR,大ESL, 电感电流信息也可得到. 总结: 基于Vout纹波控制通常采用大ESR来直接获得电感电流信息. 或者在大ESL下通过微分Vout. 可以通过手段抑制ESL的影响.

4.2.1.1 S-Domain Derivation (RHP Pole Consideration)

constant on-time的AC传输函数结构图如下所示

完整COT传输函数是4阶系统, 当ton足够小, ω1 =π/ton在高频, COT传输函数可简化为两阶系统

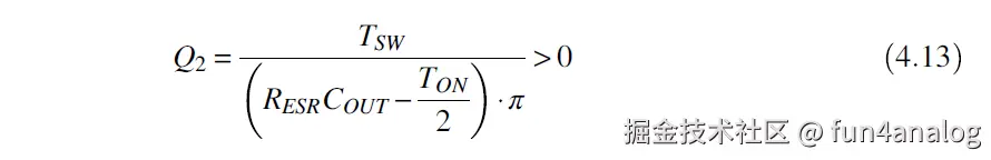
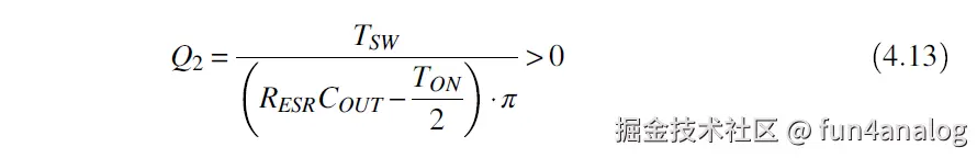
Q2需要大于零, 可以消除不想要的右极点RHP:

因此稳定性判断标准为. Resr和Cout需要满足

4.2.1.2 Time Domain Derivation (Convergence Consideration)

考虑稳态下, 输出电容周期初始和结束时电压相同.

考虑电感电流I1和I2的扰动需要趋近于零.

因此Resr, Cout的频率需要小于开关频率fs/2i, 即

Resr和Cout在电感电流和输出Cout纹波引入最大90°的 phase delay, 需要确保switching frequency足够高, 来确保iL和Cout纹波同相位.

由于loss和PWM比较器延迟等实际限制, 不可能无限增加开关频率. 增加Cout的ESR会导致load transient时undershoot和overshoot变大, 同时ESR受到不同温度, 负载电压的影响. 因此COT的稳定性需要选取合适的开关频率和Cout与ESR.

对于下图buck

采用COT控制, 在不同ESR (a) 100 mΩ, (b) 28 mΩ, and (c) 10 mΩ下, Vout的纹波不同. ESR=100 mΩ, Vpp=16mV. ESR=28 mΩ, Vpp=6mV. 当ESR=10 mΩ, 输出Vout有大小波, 导致iL和Vout不稳定.

SP-CAP 在100uF时ESR为10moh, 开光频率需要高于240KHz. 对于现在常用的多层陶瓷电容MLCC, 其ESR只有几m ohm, 为了保证稳定性, 开关频率一定要高, 到达3MHz以上.

4.2.2 Selection of Output Capacitor

常见电容有铝电容: 容值470uF10,000uF, 耐压4400V. 耐压高, 寿命长, 但体积大, 在高温下会失去电解质, 导致寿命缩短. 固体聚合物或者固态铝电容是较好的铝电容替代品.

钽电容: 容值0.47uF1,000uF, 耐压2.550V. 寿命长.

薄膜电容: 容值0.01uF10uF, 耐压501600V. 耐压高, 电容值变化小5%以内.

MLCC多层陶瓷电容: 容值0.001uF100uF, 耐压6250V. 体积小, 但容值会发生变化. 常用于目前消费电子领域. 其ESR小, 对COT设计带来挑战.

4.3 Design Techniques When Using MLCC with a Small Value of RESR 采用小ESR设计COT控制

近年来, 工业界趋势是用小ESR的MLCC电容, 对COT设计带来挑战. 解决办法如下.

4.3.1 Use of Additional Ramp Signal

可通过在Vref或者Vfb上加入ramp电路, 解决小ESR的稳定性问题. 即通过增加noise margin来提高稳定性. 如下图所示

加入ramp后传输函数为4阶函数, 当ton很小时, 可简化为二阶函数

其中mslope,r为斜坡信号的斜率. mesr,f为toff时的斜率. 下式所示.

因此稳定性准则为

即ESR的值需要满足

没有斜坡补偿的ESR需要满足 Eq 4.15

斜坡补偿引入mslope,r 因子, 减小了ESR的电阻值要求. 因此对于MLCC电容, 即使小ESR也可以采用constant on-time控制了, 而且小esr会减小过冲和欠冲.

4.3.2 Use of Additional Current Feedback Path

对于小ESR应用, 采用额外电流反馈(current feedback)环路也能实现COT控制. 如图所示, 采样电感电流 isen, 生成vsen加入到vfb形成vsum, 决定on-time和off-time.

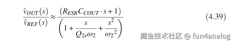
传输函数为4阶系统, 当ton足够小时, 简化为二阶系统

为了消除右极点RHP, Q2s需要大于零

可得COT稳定判断条件

考虑4.2.1节的Time Domain Derivation, COT稳定性判断条件需满足

电流反馈增加了 (RSEN/RESR + 1) 这个因子, 让Resr的值可以取的更小了, 提高了小ESR的稳定性.

4.3.2.1 CF-type1 (Extra Sensing Resistor)

方案1, 采样电阻Rs直接和电感串联, 如图Fig 4.30所示,

因此反馈点Vout0包含了电感电流信息:

根据Eq 4.14稳定性判断标准, 相当于Resr增加了Rs.

但是, 真正负载端Vout和Vout0是有差异的

这种串联电阻Rs方法电路容易实现, 但是串联Rs会导致系统在不同负载下产生额外的loss和drop.

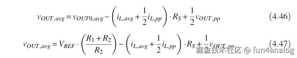
Eg 4.3 添加Rs增加电感电流信息, Resr=0ohm, Rs=(a) 60 mΩ and (b) 20 mΩ. Eq 4.43所示 Vout0包含了电感电流信息, 因此Vout稳定. 同时Vout0和Vout之间相差-12mV (Rs= 60 mΩ), -4mV (Rs= 20 mΩ)

Fig 4.32展示了iload从280mA跳到560mA, 可以看到Vout的regulation较差, 如Eq 4.47所示, Vout取决于iL,avg. 因此对于高精度Vout需求, 上述串联Rs结构并不适用.

4.3.2.2 CF-type2 (Integral RC-Filter)

在LX上加入RC的low pass filter (LPF), 也可以检测到电感电流信息.

LPF的时间常数τLPF为

当τLPF > on time和off time时, Vsen的上升, 下降斜率msen为

在steady state, 流过RLPF即电容电流的平均值为零. VLX的平均值, vLX,avg = vIN*D

Vsen平均值等于VLX平均值, iL,avg为电感电流平均值即iLoad.

Eq 4.49, 4.50, 4.52显示Vsen(t)包含了电感电流信息, 包括DC和AC量. 为了提高稳定性, 把Vsen(t)加入到反馈环路时, 需有个high-pass filter(HPF), 来传递vsen的AC信号, 确保vsen的DC量不会恶化Vout的regulation精度.

一种简单的办法是把vsen和vfb直接加到一起, 但是vsen和vfb的phase delay会降低瞬态响应, 同时vout的regulation精度也会恶化.

在Fig4.36中,CLFP和RLPF造成vsen和iL之间有phase delay, 因此输出电压Vout不能及时反馈到controller, 造成load transient性能较差.

4.3.2.3 CF-type3 (Parallel RC-Filter)

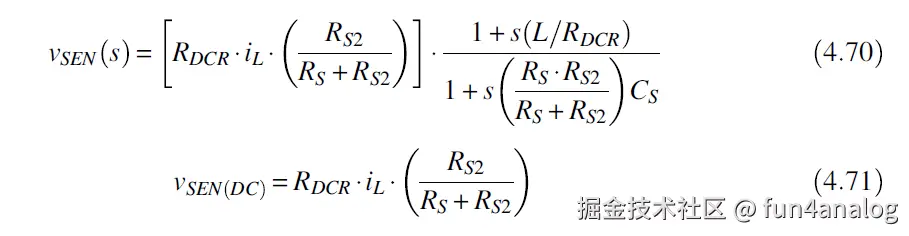
Fig 4.37采用Rs和Cs并联L和Rdcr, 利用DRC通过vsen采样电感电流.

Vsen的表达式为

DC表明Vsen=iL*Rdcr. 当满足L/Rdcr=RsCs时, 零点和极点相互抵消. Vsen可采样电感电流 *Vsen=iL Rdcr

这种方法的缺点时受限于Rdcr值不够灵活, 可通过调整Rs的值保证设计灵活性.

在on-time和off-time时, Vsen的斜率分别为

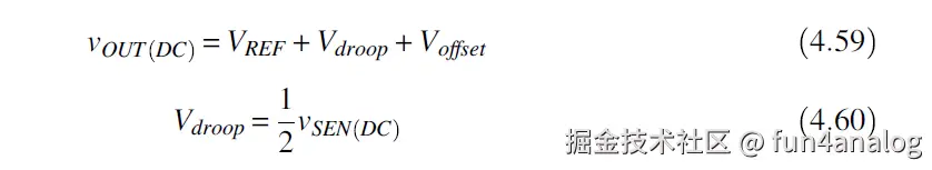
Vsum为Vout+Vsen. 电感电流纹波信息有效提高了系统稳定性.

Fig 4.38所示, 环路控制Vsum的谷值和Vref相同. 因此Vout_dc由Vref, Vdroop和Voffset决定, 造成轻载和重载下Vout的regulation较差.

根据COT稳定判断条件, Rsen的取值要足够大, 因此Vsen_dc不会太小. 另外Vsen_ac,pp也会影响Vout_dc.

因为Vsen和Vout变化趋势相反, Vsen_ac越大, ΔvSUM越小, 同时on-time时间变小. 通过添加电流反馈通路来稳定系统, 但是load regulation和transient响应都变差了.

考虑不同Cs电容值, 会导致τSEN = RS*CS 不同, 决定vsen(ac), pp=

Vout = Vref − vSEN(AC),pp − vSEN(DC). 因此Vsen(ac),pp会影响Vout的值. vSEN(AC),pp 越大, noise margin越大, 系统越稳定.

换句话说, 稳定性由τSEN决定, Rsen越大, 系统越稳定, 等效Rsen为

稳定性条件为

Eg 4.5 因为vsen和vout呈现相反的瞬态响应, 因此瞬态响应受到τSEN影响.

取合理Cs, 让零极点cancel, 能让Vout ripple最小.

Eg 4.6, 相同τSEN, 不同Rs和Cs下, 对Vout ripple和power loss影响不同.

除了iL, ics也会流过Resr和Cout, 造成ripple.

因此推荐采用大阻值 Rs, 小Cs, 这样会减小功耗和Vout ripple.

4.3.2.4 CF-type4 (Parallel RC-Filter with adaptive voltage positioning Function, 带adaptive电压定位功能)

采用Fig 4.48的结构, 在Cs之间并联Rs2, 可通过改变Rs2来调整Vsen的DC值, 在不同DCR和PCB layout走线下, 增加adaptive voltage positioning的灵活性, 实现快速瞬态响应.

4.3.2.5 CF-type5 (Parallel RC-Filter with Voltage Droop Cancellation 消除掉Vout drop)

为了提高Vout的regulation, 需要消除Vsen的直流分量 (Vsen与iL成正比). 可加入decoupling电容CF, 来block vsen的DC分量, 如图Fig 4.49所示.

当发生负载跳变 iLoad增加时, Vout即Vfb下降, Vsen增加, 变化趋势相反, 导致Vsum下降不明显, 瞬态响应速度变差, 解决办法是在Vsum和Vout之间加电容, 让Vout的下降去couple Vsum下降, 这样打拍PWM更快.

仅用CF作为High-Pass Filter高通滤波器效果有限, Rs, R1, R2, Cs都会影响CF的滤波和驱动效果. 传输函数很复杂. 决定iL的AC分量和Vout的DC分量的加权很困难, 同时稳定性也不好调.

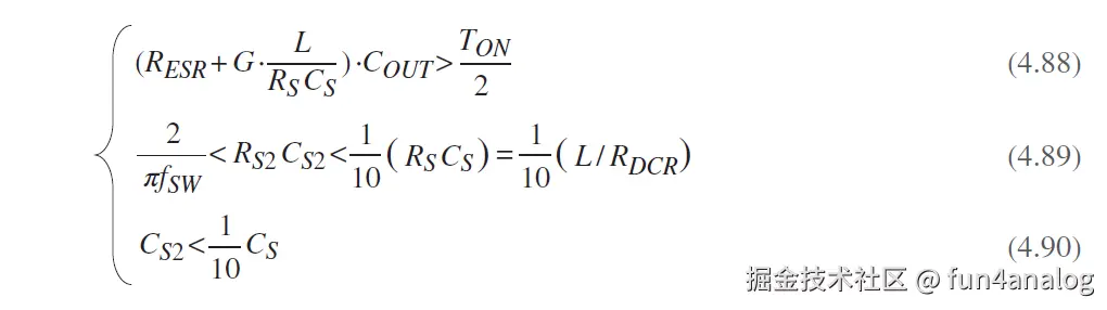
考虑下图Fig 4.52的RC结构, 实现相同的传输函数. Rs和Cs与电感并联. Rs2和Cs2与Cs并联.

Vs1的电压近似为

Rs2和Cs2作为低通lü'bo'qi滤掉Vs1的高频信号, Vs2为Vs1的DC量. 因此Vs1和Vs2的压差Vs,diff代表iL的AC分量, 送入PWM比较器

因此Vsum为 iL的AC分量+Vout DC分量.

因此在不同负载iLoad下, Vs,diff作为iL_ac分量保持相同, Vout不会产生drop.

因为是Vsum的valley值和Vref相同, Vsum的纹波, 给Vout带来offset.

考虑在Vs, diff即iL的AC分量上加入ratio G, 再和Vfb进行叠加

Vsum和稳定性条件如下式所示

Rs2和Cs2会影响Rs/Cs的零极点消除, 降低load transient响应速度, 一般要求, Rs2Cs2<<RsCs, Cs2<<Cs

同时Rs2, Cs2作为低通滤波器, 其带宽要小于fsw/4. 即1/(2pi Rs2 Cs2)<fsw/4, 总结可得Cs2和Rs2的取值范围

Eg 4.8 考虑Rs2和Cs2不同值的组合. 没有Rs2和Cs2, 会产生voltage drop. 不满足Eq 4.89, 会发生震荡.

4.3.2.6 CF-type6 (Parallel RC-Filter with Accurate Regulation)

Fig 4.68所示, vs1和Cs产生vs1, 包含Vout和iL信息. 加入Rs2, Cs2和 valley sample-and-holder, 滤掉iL和Vout的DC信息, 产生Vs2, 包含Vs1的valley信息. 送到电压源差分输入G. 相比Figure 4.53中5, CF 6优势在于去除了Vsum 1/2Vpp电压带来的offset, Vout的regulation更好.

4.3.3 Comparison of On-Time Control with an Additional Current Feedback Path

6种电流反馈的环路设计总结如下. 1型串联Rs, 增加功耗. 2型在LX处添加低通滤波RC, 瞬态响应变差. 3型采用DCR方式, 采样电感电流iL信息. 4型基于3型并联Rs2, 在不同负载下调节Rs2的值来自适应电压值. 5型加入Rs2和Cs2的RC滤波, 去除iL中DC信息, 提高Vout regulation. 6型加入额外的波谷采样, 去除Vsum的失调电压, 进一步提高Vout regulation.

1型

2型

3型

4型

5型

6型